¿Sabías que los medicamentos que tomas tienen fórmulas químicas precisas... Mostrar más
Inscríbete para ver los apuntes¡Es gratis!
Acceso a todos los documentos
Mejora tus notas
Únete a millones de estudiantes
Knowunity AI
Asignaturas
Triangle Congruence and Similarity Theorems
Triangle Properties and Classification
Linear Equations and Graphs
Geometric Angle Relationships
Trigonometric Functions and Identities
Equation Solving Techniques
Circle Geometry Fundamentals
Division Operations and Methods
Basic Differentiation Rules
Exponent and Logarithm Properties
Mostrar todos los temas
Human Organ Systems
Reproductive Cell Cycles
Biological Sciences Subdisciplines
Cellular Energy Metabolism
Autotrophic Energy Processes
Inheritance Patterns and Principles
Biomolecular Structure and Organization
Cell Cycle and Division Mechanics
Cellular Organization and Development
Biological Structural Organization
Mostrar todos los temas
Chemical Sciences and Applications
Atomic Structure and Composition
Molecular Electron Structure Representation
Atomic Electron Behavior
Matter Properties and Water
Mole Concept and Calculations
Gas Laws and Behavior
Periodic Table Organization
Chemical Thermodynamics Fundamentals
Chemical Bond Types and Properties
Mostrar todos los temas
European Renaissance and Enlightenment
European Cultural Movements 800-1920
American Revolution Era 1763-1797
American Civil War 1861-1865
Global Imperial Systems
Mongol and Chinese Dynasties
U.S. Presidents and World Leaders
Historical Sources and Documentation
World Wars Era and Impact
World Religious Systems
Mostrar todos los temas
Classic and Contemporary Novels
Literary Character Analysis
Rhetorical Theory and Practice
Classic Literary Narratives
Reading Analysis and Interpretation
Narrative Structure and Techniques
English Language Components
Influential English-Language Authors
Basic Sentence Structure
Narrative Voice and Perspective
Mostrar todos los temas
21
•
Actualizado May 16, 2026
•
Wendy González
@endysharithonzlezballesteros_uy9h
¿Sabías que los medicamentos que tomas tienen fórmulas químicas precisas... Mostrar más






Imaginate que eres un químico forense analizando un sedante. El hidrato de cloral es tu muestra perfecta para dominar este proceso.
Primero, conviertes cada porcentaje en moles dividiendo por la masa atómica. Con 74,52% de carbono obtienes 1,21 mol, con 7,83% de hidrógeno son 7,83 mol, y así sucesivamente. El truco está en dividir todos los valores entre el menor para obtener números enteros.
La fórmula empírica que obtienes es C₂H₃Cl₃O₂. Pero necesitas la fórmula molecular real, así que calculas la masa de tu fórmula empírica (165,35 g) y la comparas con la masa molar dada (165,42 g). Como son prácticamente iguales, ¡tu fórmula molecular es la misma que la empírica!
Tip clave: Siempre verifica que la masa de tu fórmula empírica coincida con la masa molar dada del compuesto.

Ahora vas en reversa: desde la fórmula molecular hasta cómo se ve realmente la molécula. Es como armar un rompecabezas químico.
Para C₄H₈, divides todos los subíndices entre su máximo común divisor. La fórmula empírica se convierte en CH₂. Luego dibujas la estructura: puede ser una cadena lineal o ramificada.
Con C₄H₁₀O₄ el proceso es similar, pero ahora tienes oxígenos que pueden formar grupos hidroxilo o enlaces tipo éter. La fórmula estructural te muestra exactamente dónde va cada átomo y cómo se conectan.
Recuerda: Una misma fórmula molecular puede tener diferentes estructuras (isómeros), cada una con propiedades distintas.

Supón que tienes un compuesto misterioso con 55,3% de potasio, 14,6% de fósforo y 30,1% de oxígeno. ¿Cómo descubres qué es?
El método es súper directo: conviertes cada porcentaje a gramos (como si tuvieras 100g del compuesto), luego divides entre las masas atómicas respectivas. Para el potasio: 55,3g ÷ 39g/mol = 1,42 mol.
Divides todos los valores entre el menor (0,47 mol del fósforo) y obtienes la proporción 3:1:4. Tu fórmula empírica es K₃PO₄, que reconoces como fosfato de potasio.
Dato curioso: El fosfato de potasio se usa en fertilizantes y como aditivo alimentario.

Los hidrocarburos son perfectos para practicar porque solo tienen carbono e hidrógeno. Con masa molar 30g, 80% C y 20% H, tienes todos los datos necesarios.
Calculas: 80g C ÷ 12g/mol = 6,66 mol C y 20g H ÷ 1g/mol = 20 mol H. Divides entre 6,66 y obtienes la relación 1:3, dándote la fórmula empírica CH₃.
La masa de CH₃ es 15g, pero tu masa molar real es 30g. Esto significa que necesitas multiplicar por 2: la fórmula molecular es C₂H₆ (etano). ¡Es el gas que usas para cocinar!
Aplicación práctica: Este mismo proceso se usa para identificar contaminantes en el aire o combustibles.

La nicotina es un ejemplo más complejo porque tiene tres elementos diferentes. Con 74,0% C, 8,7% H y 17,3% N, necesitas ser más cuidadoso con los cálculos.
Sigues el mismo procedimiento: conviertes a moles y divides entre el menor. Obtienes C₅H₇N como fórmula empírica, con una masa de 81g. Como la masa molar real es 162g, divides: 162 ÷ 81 = 2.
Por tanto, multiplicas toda la fórmula empírica por 2, obteniendo C₁₀H₁₄N₂. Esta es la fórmula molecular exacta de la nicotina que se encuentra en el tabaco.
Conexión real: Entender estas fórmulas te ayuda a comprender cómo las drogas y medicamentos interactúan con tu cuerpo.
Nuestro compañero de IA está específicamente adaptado a las necesidades de los estudiantes. Basándonos en los millones de contenidos que tenemos en la plataforma, podemos dar a los estudiantes respuestas realmente significativas y relevantes. Pero no se trata solo de respuestas, el compañero también guía a los estudiantes a través de sus retos de aprendizaje diarios, con planes de aprendizaje personalizados, cuestionarios o contenidos en el chat y una personalización del 100% basada en las habilidades y el desarrollo de los estudiantes.
Puedes descargar la app en Google Play Store y Apple App Store.
¡Sí lo es! Tienes acceso totalmente gratuito a todo el contenido de la app, puedes chatear con otros alumnos y recibir ayuda inmeditamente. Puedes ganar dinero utilizando la aplicación, que te permitirá acceder a determinadas funciones.
App Store
Google Play
La app es muy fácil de usar y está muy bien diseñada. Hasta ahora he encontrado todo lo que estaba buscando y he podido aprender mucho de las presentaciones. Definitivamente utilizaré la aplicación para un examen de clase. Y, por supuesto, también me sirve mucho de inspiración.
Pablo
usuario de iOS
Esta app es realmente genial. Hay tantos apuntes de clase y ayuda [...]. Tengo problemas con matemáticas, por ejemplo, y la aplicación tiene muchas opciones de ayuda. Gracias a Knowunity, he mejorado en mates. Se la recomiendo a todo el mundo.
Elena
usuaria de Android
Vaya, estoy realmente sorprendida. Acabo de probar la app porque la he visto anunciada muchas veces y me he quedado absolutamente alucinada. Esta app es LA AYUDA que quieres para el insti y, sobre todo, ofrece muchísimas cosas, como ejercicios y hojas informativas, que a mí personalmente me han sido MUY útiles.
Ana
usuaria de iOS
Solía tener problemas para completar mis tareas a tiempo hasta que descubrí Knowunity, que no solo facilita subir mi propio contenido sino que también proporciona excelentes resúmenes que hacen mi trabajo más rápido y eficiente.
Thomas R
usuario de iOS
Siempre era un desafío encontrar toda la información importante para mis tareas – desde que comencé a usar Knowunity, puedo simplemente subir mi contenido y beneficiarme de los resúmenes de otros, lo que me ayuda mucho con la organización.
Lisa M
usuaria de Android
A menudo sentía que no tenía suficiente visión general al estudiar, pero desde que comencé a usar Knowunity, eso ya no es un problema – subo mi contenido y siempre encuentro resúmenes útiles en la plataforma, lo que hace mi aprendizaje mucho más fácil.
David K
usuario de iOS
¡La app es buenísima! Sólo tengo que introducir el tema en la barra de búsqueda y recibo la respuesta muy rápido. No tengo que ver 10 vídeos de YouTube para entender algo, así que me ahorro tiempo. ¡Muy recomendable!
Sara
usuaria de Android
En el instituto era muy malo en matemáticas, pero gracias a la app, ahora saco mejores notas. Os agradezco mucho que hayáis creado la aplicación.
Roberto
usuario de Android
Solía ser realmente difícil recopilar toda la información para mis presentaciones. Pero desde que comencé a usar Knowunity, solo subo mis apuntes y encuentro increíbles resúmenes de otros – ¡hace mi estudio mucho más eficiente!
Julia S
usuaria de Android
Estaba constantemente estresado con todo el material de estudio, pero desde que comencé a usar Knowunity, subo mis cosas y reviso los geniales resúmenes de otros – realmente me ayuda a gestionar todo mejor y es mucho menos estresante.
Marco B
usuario de iOS
LOS QUIZ Y FLASHCARDS SON SÚPER ÚTILES Y ME ENCANTA Knowunity IA. ADEMÁS ES LITERALMENTE COMO CHATGPT PERO MÁS LISTO!! ME AYUDÓ TAMBIÉN CON MIS PROBLEMAS DE MÁSCARA!! Y CON MIS ASIGNATURAS DE VERDAD! OBVIO 😍😁😲🤑💗✨🎀😮
Sarah L
usuaria de Android
Antes pasaba horas buscando en Google materiales escolares, pero ahora solo subo mis cosas a Knowunity y reviso los útiles resúmenes de otros - me siento mucho más seguro al prepararme para los exámenes.
Paul T
usuario de iOS
La app es muy fácil de usar y está muy bien diseñada. Hasta ahora he encontrado todo lo que estaba buscando y he podido aprender mucho de las presentaciones. Definitivamente utilizaré la aplicación para un examen de clase. Y, por supuesto, también me sirve mucho de inspiración.
Pablo
usuario de iOS
Esta app es realmente genial. Hay tantos apuntes de clase y ayuda [...]. Tengo problemas con matemáticas, por ejemplo, y la aplicación tiene muchas opciones de ayuda. Gracias a Knowunity, he mejorado en mates. Se la recomiendo a todo el mundo.
Elena
usuaria de Android
Vaya, estoy realmente sorprendida. Acabo de probar la app porque la he visto anunciada muchas veces y me he quedado absolutamente alucinada. Esta app es LA AYUDA que quieres para el insti y, sobre todo, ofrece muchísimas cosas, como ejercicios y hojas informativas, que a mí personalmente me han sido MUY útiles.
Ana
usuaria de iOS
Solía tener problemas para completar mis tareas a tiempo hasta que descubrí Knowunity, que no solo facilita subir mi propio contenido sino que también proporciona excelentes resúmenes que hacen mi trabajo más rápido y eficiente.
Thomas R
usuario de iOS
Siempre era un desafío encontrar toda la información importante para mis tareas – desde que comencé a usar Knowunity, puedo simplemente subir mi contenido y beneficiarme de los resúmenes de otros, lo que me ayuda mucho con la organización.
Lisa M
usuaria de Android
A menudo sentía que no tenía suficiente visión general al estudiar, pero desde que comencé a usar Knowunity, eso ya no es un problema – subo mi contenido y siempre encuentro resúmenes útiles en la plataforma, lo que hace mi aprendizaje mucho más fácil.
David K
usuario de iOS
¡La app es buenísima! Sólo tengo que introducir el tema en la barra de búsqueda y recibo la respuesta muy rápido. No tengo que ver 10 vídeos de YouTube para entender algo, así que me ahorro tiempo. ¡Muy recomendable!
Sara
usuaria de Android
En el instituto era muy malo en matemáticas, pero gracias a la app, ahora saco mejores notas. Os agradezco mucho que hayáis creado la aplicación.
Roberto
usuario de Android
Solía ser realmente difícil recopilar toda la información para mis presentaciones. Pero desde que comencé a usar Knowunity, solo subo mis apuntes y encuentro increíbles resúmenes de otros – ¡hace mi estudio mucho más eficiente!
Julia S
usuaria de Android
Estaba constantemente estresado con todo el material de estudio, pero desde que comencé a usar Knowunity, subo mis cosas y reviso los geniales resúmenes de otros – realmente me ayuda a gestionar todo mejor y es mucho menos estresante.
Marco B
usuario de iOS
LOS QUIZ Y FLASHCARDS SON SÚPER ÚTILES Y ME ENCANTA Knowunity IA. ADEMÁS ES LITERALMENTE COMO CHATGPT PERO MÁS LISTO!! ME AYUDÓ TAMBIÉN CON MIS PROBLEMAS DE MÁSCARA!! Y CON MIS ASIGNATURAS DE VERDAD! OBVIO 😍😁😲🤑💗✨🎀😮
Sarah L
usuaria de Android
Antes pasaba horas buscando en Google materiales escolares, pero ahora solo subo mis cosas a Knowunity y reviso los útiles resúmenes de otros - me siento mucho más seguro al prepararme para los exámenes.
Paul T
usuario de iOS
Wendy González
@endysharithonzlezballesteros_uy9h
¿Sabías que los medicamentos que tomas tienen fórmulas químicas precisas que determinan cómo funcionan? Te voy a mostrar cómo calcular las fórmulas empíricas y moleculares de compuestos usando solo su composición porcentual y masa molar.

Acceso a todos los documentos
Mejora tus notas
Únete a millones de estudiantes
Imaginate que eres un químico forense analizando un sedante. El hidrato de cloral es tu muestra perfecta para dominar este proceso.
Primero, conviertes cada porcentaje en moles dividiendo por la masa atómica. Con 74,52% de carbono obtienes 1,21 mol, con 7,83% de hidrógeno son 7,83 mol, y así sucesivamente. El truco está en dividir todos los valores entre el menor para obtener números enteros.
La fórmula empírica que obtienes es C₂H₃Cl₃O₂. Pero necesitas la fórmula molecular real, así que calculas la masa de tu fórmula empírica (165,35 g) y la comparas con la masa molar dada (165,42 g). Como son prácticamente iguales, ¡tu fórmula molecular es la misma que la empírica!
Tip clave: Siempre verifica que la masa de tu fórmula empírica coincida con la masa molar dada del compuesto.

Acceso a todos los documentos
Mejora tus notas
Únete a millones de estudiantes
Ahora vas en reversa: desde la fórmula molecular hasta cómo se ve realmente la molécula. Es como armar un rompecabezas químico.
Para C₄H₈, divides todos los subíndices entre su máximo común divisor. La fórmula empírica se convierte en CH₂. Luego dibujas la estructura: puede ser una cadena lineal o ramificada.
Con C₄H₁₀O₄ el proceso es similar, pero ahora tienes oxígenos que pueden formar grupos hidroxilo o enlaces tipo éter. La fórmula estructural te muestra exactamente dónde va cada átomo y cómo se conectan.
Recuerda: Una misma fórmula molecular puede tener diferentes estructuras (isómeros), cada una con propiedades distintas.

Acceso a todos los documentos
Mejora tus notas
Únete a millones de estudiantes
Supón que tienes un compuesto misterioso con 55,3% de potasio, 14,6% de fósforo y 30,1% de oxígeno. ¿Cómo descubres qué es?
El método es súper directo: conviertes cada porcentaje a gramos (como si tuvieras 100g del compuesto), luego divides entre las masas atómicas respectivas. Para el potasio: 55,3g ÷ 39g/mol = 1,42 mol.
Divides todos los valores entre el menor (0,47 mol del fósforo) y obtienes la proporción 3:1:4. Tu fórmula empírica es K₃PO₄, que reconoces como fosfato de potasio.
Dato curioso: El fosfato de potasio se usa en fertilizantes y como aditivo alimentario.

Acceso a todos los documentos
Mejora tus notas
Únete a millones de estudiantes
Los hidrocarburos son perfectos para practicar porque solo tienen carbono e hidrógeno. Con masa molar 30g, 80% C y 20% H, tienes todos los datos necesarios.
Calculas: 80g C ÷ 12g/mol = 6,66 mol C y 20g H ÷ 1g/mol = 20 mol H. Divides entre 6,66 y obtienes la relación 1:3, dándote la fórmula empírica CH₃.
La masa de CH₃ es 15g, pero tu masa molar real es 30g. Esto significa que necesitas multiplicar por 2: la fórmula molecular es C₂H₆ (etano). ¡Es el gas que usas para cocinar!
Aplicación práctica: Este mismo proceso se usa para identificar contaminantes en el aire o combustibles.

Acceso a todos los documentos
Mejora tus notas
Únete a millones de estudiantes
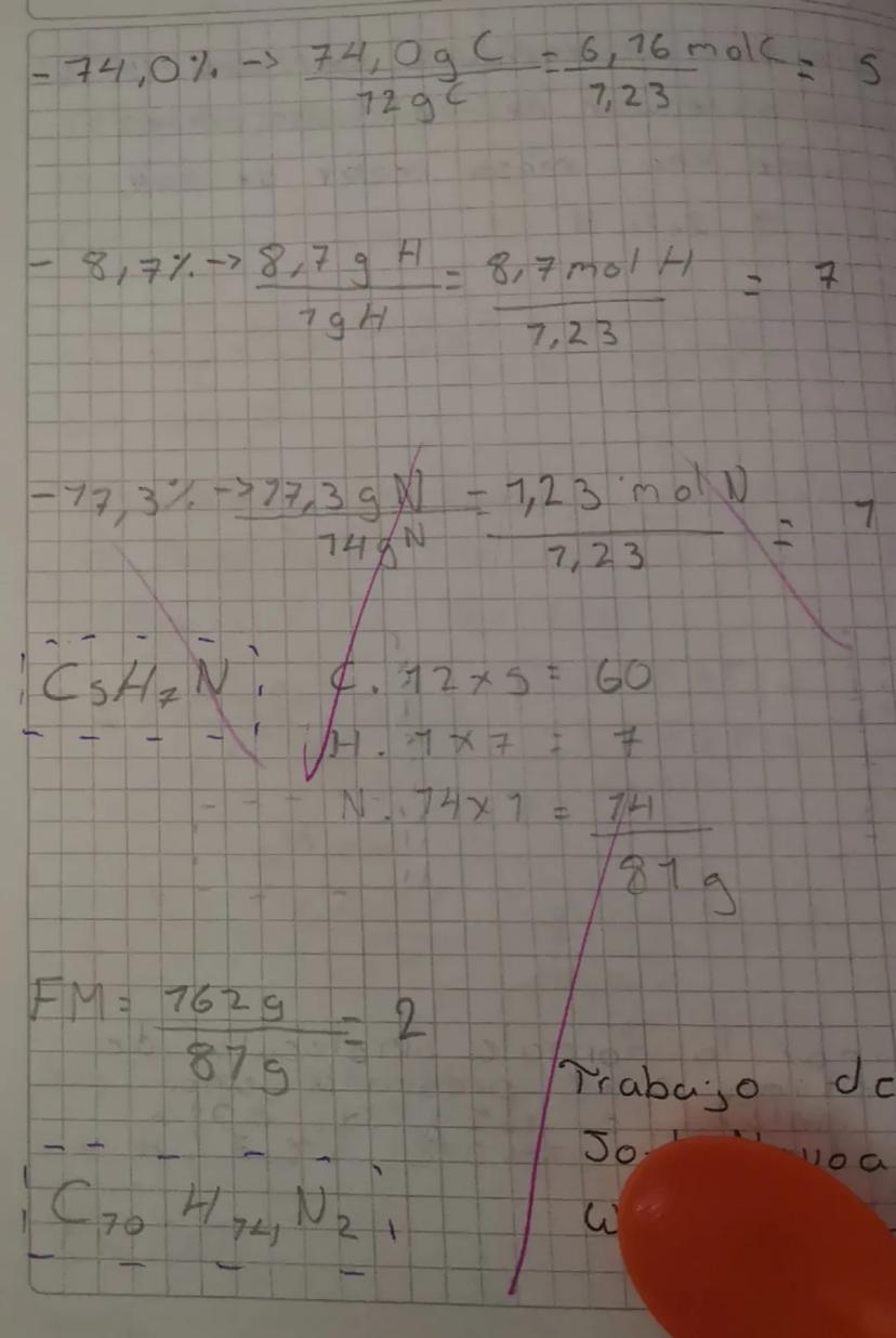
La nicotina es un ejemplo más complejo porque tiene tres elementos diferentes. Con 74,0% C, 8,7% H y 17,3% N, necesitas ser más cuidadoso con los cálculos.
Sigues el mismo procedimiento: conviertes a moles y divides entre el menor. Obtienes C₅H₇N como fórmula empírica, con una masa de 81g. Como la masa molar real es 162g, divides: 162 ÷ 81 = 2.
Por tanto, multiplicas toda la fórmula empírica por 2, obteniendo C₁₀H₁₄N₂. Esta es la fórmula molecular exacta de la nicotina que se encuentra en el tabaco.
Conexión real: Entender estas fórmulas te ayuda a comprender cómo las drogas y medicamentos interactúan con tu cuerpo.
Nuestro compañero de IA está específicamente adaptado a las necesidades de los estudiantes. Basándonos en los millones de contenidos que tenemos en la plataforma, podemos dar a los estudiantes respuestas realmente significativas y relevantes. Pero no se trata solo de respuestas, el compañero también guía a los estudiantes a través de sus retos de aprendizaje diarios, con planes de aprendizaje personalizados, cuestionarios o contenidos en el chat y una personalización del 100% basada en las habilidades y el desarrollo de los estudiantes.
Puedes descargar la app en Google Play Store y Apple App Store.
¡Sí lo es! Tienes acceso totalmente gratuito a todo el contenido de la app, puedes chatear con otros alumnos y recibir ayuda inmeditamente. Puedes ganar dinero utilizando la aplicación, que te permitirá acceder a determinadas funciones.
0
Herramientas Inteligentes NUEVO
Transforma estos apuntes en: ✓ 50+ Preguntas de Práctica ✓ Fichas Interactivas ✓ Examen Completo de Práctica ✓ Esquemas de Ensayo
App Store
Google Play
La app es muy fácil de usar y está muy bien diseñada. Hasta ahora he encontrado todo lo que estaba buscando y he podido aprender mucho de las presentaciones. Definitivamente utilizaré la aplicación para un examen de clase. Y, por supuesto, también me sirve mucho de inspiración.
Pablo
usuario de iOS
Esta app es realmente genial. Hay tantos apuntes de clase y ayuda [...]. Tengo problemas con matemáticas, por ejemplo, y la aplicación tiene muchas opciones de ayuda. Gracias a Knowunity, he mejorado en mates. Se la recomiendo a todo el mundo.
Elena
usuaria de Android
Vaya, estoy realmente sorprendida. Acabo de probar la app porque la he visto anunciada muchas veces y me he quedado absolutamente alucinada. Esta app es LA AYUDA que quieres para el insti y, sobre todo, ofrece muchísimas cosas, como ejercicios y hojas informativas, que a mí personalmente me han sido MUY útiles.
Ana
usuaria de iOS
Solía tener problemas para completar mis tareas a tiempo hasta que descubrí Knowunity, que no solo facilita subir mi propio contenido sino que también proporciona excelentes resúmenes que hacen mi trabajo más rápido y eficiente.
Thomas R
usuario de iOS
Siempre era un desafío encontrar toda la información importante para mis tareas – desde que comencé a usar Knowunity, puedo simplemente subir mi contenido y beneficiarme de los resúmenes de otros, lo que me ayuda mucho con la organización.
Lisa M
usuaria de Android
A menudo sentía que no tenía suficiente visión general al estudiar, pero desde que comencé a usar Knowunity, eso ya no es un problema – subo mi contenido y siempre encuentro resúmenes útiles en la plataforma, lo que hace mi aprendizaje mucho más fácil.
David K
usuario de iOS
¡La app es buenísima! Sólo tengo que introducir el tema en la barra de búsqueda y recibo la respuesta muy rápido. No tengo que ver 10 vídeos de YouTube para entender algo, así que me ahorro tiempo. ¡Muy recomendable!
Sara
usuaria de Android
En el instituto era muy malo en matemáticas, pero gracias a la app, ahora saco mejores notas. Os agradezco mucho que hayáis creado la aplicación.
Roberto
usuario de Android
Solía ser realmente difícil recopilar toda la información para mis presentaciones. Pero desde que comencé a usar Knowunity, solo subo mis apuntes y encuentro increíbles resúmenes de otros – ¡hace mi estudio mucho más eficiente!
Julia S
usuaria de Android
Estaba constantemente estresado con todo el material de estudio, pero desde que comencé a usar Knowunity, subo mis cosas y reviso los geniales resúmenes de otros – realmente me ayuda a gestionar todo mejor y es mucho menos estresante.
Marco B
usuario de iOS
LOS QUIZ Y FLASHCARDS SON SÚPER ÚTILES Y ME ENCANTA Knowunity IA. ADEMÁS ES LITERALMENTE COMO CHATGPT PERO MÁS LISTO!! ME AYUDÓ TAMBIÉN CON MIS PROBLEMAS DE MÁSCARA!! Y CON MIS ASIGNATURAS DE VERDAD! OBVIO 😍😁😲🤑💗✨🎀😮
Sarah L
usuaria de Android
Antes pasaba horas buscando en Google materiales escolares, pero ahora solo subo mis cosas a Knowunity y reviso los útiles resúmenes de otros - me siento mucho más seguro al prepararme para los exámenes.
Paul T
usuario de iOS
La app es muy fácil de usar y está muy bien diseñada. Hasta ahora he encontrado todo lo que estaba buscando y he podido aprender mucho de las presentaciones. Definitivamente utilizaré la aplicación para un examen de clase. Y, por supuesto, también me sirve mucho de inspiración.
Pablo
usuario de iOS
Esta app es realmente genial. Hay tantos apuntes de clase y ayuda [...]. Tengo problemas con matemáticas, por ejemplo, y la aplicación tiene muchas opciones de ayuda. Gracias a Knowunity, he mejorado en mates. Se la recomiendo a todo el mundo.
Elena
usuaria de Android
Vaya, estoy realmente sorprendida. Acabo de probar la app porque la he visto anunciada muchas veces y me he quedado absolutamente alucinada. Esta app es LA AYUDA que quieres para el insti y, sobre todo, ofrece muchísimas cosas, como ejercicios y hojas informativas, que a mí personalmente me han sido MUY útiles.
Ana
usuaria de iOS
Solía tener problemas para completar mis tareas a tiempo hasta que descubrí Knowunity, que no solo facilita subir mi propio contenido sino que también proporciona excelentes resúmenes que hacen mi trabajo más rápido y eficiente.
Thomas R
usuario de iOS
Siempre era un desafío encontrar toda la información importante para mis tareas – desde que comencé a usar Knowunity, puedo simplemente subir mi contenido y beneficiarme de los resúmenes de otros, lo que me ayuda mucho con la organización.
Lisa M
usuaria de Android
A menudo sentía que no tenía suficiente visión general al estudiar, pero desde que comencé a usar Knowunity, eso ya no es un problema – subo mi contenido y siempre encuentro resúmenes útiles en la plataforma, lo que hace mi aprendizaje mucho más fácil.
David K
usuario de iOS
¡La app es buenísima! Sólo tengo que introducir el tema en la barra de búsqueda y recibo la respuesta muy rápido. No tengo que ver 10 vídeos de YouTube para entender algo, así que me ahorro tiempo. ¡Muy recomendable!
Sara
usuaria de Android
En el instituto era muy malo en matemáticas, pero gracias a la app, ahora saco mejores notas. Os agradezco mucho que hayáis creado la aplicación.
Roberto
usuario de Android
Solía ser realmente difícil recopilar toda la información para mis presentaciones. Pero desde que comencé a usar Knowunity, solo subo mis apuntes y encuentro increíbles resúmenes de otros – ¡hace mi estudio mucho más eficiente!
Julia S
usuaria de Android
Estaba constantemente estresado con todo el material de estudio, pero desde que comencé a usar Knowunity, subo mis cosas y reviso los geniales resúmenes de otros – realmente me ayuda a gestionar todo mejor y es mucho menos estresante.
Marco B
usuario de iOS
LOS QUIZ Y FLASHCARDS SON SÚPER ÚTILES Y ME ENCANTA Knowunity IA. ADEMÁS ES LITERALMENTE COMO CHATGPT PERO MÁS LISTO!! ME AYUDÓ TAMBIÉN CON MIS PROBLEMAS DE MÁSCARA!! Y CON MIS ASIGNATURAS DE VERDAD! OBVIO 😍😁😲🤑💗✨🎀😮
Sarah L
usuaria de Android
Antes pasaba horas buscando en Google materiales escolares, pero ahora solo subo mis cosas a Knowunity y reviso los útiles resúmenes de otros - me siento mucho más seguro al prepararme para los exámenes.
Paul T
usuario de iOS