Los vectores son herramientas fundamentales en matemáticas que te ayudan... Mostrar más
Inscríbete para ver los apuntes¡Es gratis!
Acceso a todos los documentos
Mejora tus notas
Únete a millones de estudiantes
Knowunity AI
Asignaturas
Triangle Congruence and Similarity Theorems
Triangle Properties and Classification
Linear Equations and Graphs
Geometric Angle Relationships
Trigonometric Functions and Identities
Equation Solving Techniques
Circle Geometry Fundamentals
Division Operations and Methods
Basic Differentiation Rules
Exponent and Logarithm Properties
Mostrar todos los temas
Human Organ Systems
Reproductive Cell Cycles
Biological Sciences Subdisciplines
Cellular Energy Metabolism
Autotrophic Energy Processes
Inheritance Patterns and Principles
Biomolecular Structure and Organization
Cell Cycle and Division Mechanics
Cellular Organization and Development
Biological Structural Organization
Mostrar todos los temas
Chemical Sciences and Applications
Atomic Structure and Composition
Molecular Electron Structure Representation
Atomic Electron Behavior
Matter Properties and Water
Mole Concept and Calculations
Gas Laws and Behavior
Periodic Table Organization
Chemical Thermodynamics Fundamentals
Chemical Bond Types and Properties
Mostrar todos los temas
European Renaissance and Enlightenment
European Cultural Movements 800-1920
American Revolution Era 1763-1797
American Civil War 1861-1865
Global Imperial Systems
Mongol and Chinese Dynasties
U.S. Presidents and World Leaders
Historical Sources and Documentation
World Wars Era and Impact
World Religious Systems
Mostrar todos los temas
Classic and Contemporary Novels
Literary Character Analysis
Rhetorical Theory and Practice
Classic Literary Narratives
Reading Analysis and Interpretation
Narrative Structure and Techniques
English Language Components
Influential English-Language Authors
Basic Sentence Structure
Narrative Voice and Perspective
Mostrar todos los temas
41
•
Actualizado Mar 31, 2026
•
Yeferson Gallego Mosquera
@efersonallegoosquera_5dyk
Los vectores son herramientas fundamentales en matemáticas que te ayudan... Mostrar más












¿Alguna vez te has preguntado cómo medir el "tamaño" de un vector? La norma es exactamente eso: una forma de calcular la longitud de cualquier vector.
Para un vector en ℝ³, la fórmula es: |||| = √. Esta idea se extiende a cualquier dimensión sumando los cuadrados de todas las componentes. Los vectores unitarios son especiales porque su norma es exactamente 1, lo que los hace súper útiles como direcciones puras.
Las operaciones básicas son intuitivas: sumas vectores componente por componente, y cuando multiplicas por un escalar, cada componente se multiplica por ese número. Si el escalar es mayor que 1, el vector se alarga; si está entre 0 y 1, se acorta; y si es negativo, cambia de sentido.
💡 Tip clave: Para verificar si un vector es unitario, solo calcula su norma. Si da exactamente 1, ¡bingo!

Los gráficos te muestran cómo los vectores se comportan visualmente en el espacio. Cuando multiplicas un vector por un escalar, su dirección se mantiene pero su magnitud cambia proporcionalmente.
Para encontrar un vector unitario con la misma dirección que otro vector, usas la fórmula: û = v⃗/||v⃗||. Esto significa que divides cada componente del vector original por su norma. Es como "normalizar" el vector para que tenga longitud 1 pero conserve su dirección.
El ejemplo muestra que para v⃗ = (2, 4, -3), primero calculas ||v⃗|| = √29, y luego el vector unitario es (2/√29, 4/√29, -3/√29). Este proceso es fundamental en física y ingeniería.
💡 Dato útil: Los vectores unitarios son como las "direcciones puras" - te dicen hacia dónde apuntar sin importar qué tan lejos vayas.

Los ángulos directores te dicen exactamente cómo está orientado un vector en el espacio 3D. Son los ángulos que forma el vector con cada uno de los ejes coordenados positivos (x, y, z).
Para cualquier vector, puedes calcular estos ángulos usando las fórmulas: cos α = x₀/||r⃗||, cos β = y₀/||r⃗||, cos γ = z₀/||r⃗||. Los valores cos α, cos β, cos γ se llaman cosenos directores.
Una propiedad super importante es que cos²α + cos²β + cos²γ = 1. Esto significa que los cosenos directores están relacionados entre sí y no pueden tomar valores arbitrarios. Esta ecuación es como una "verificación" de que tus cálculos están correctos.
💡 Conexión práctica: Los ángulos directores son esenciales en ingeniería para describir la orientación de fuerzas, velocidades o cualquier magnitud vectorial en 3D.

Vamos a aplicar la teoría con ejemplos concretos. Para el vector v⃗ = (2, 1, -3), primero calculas su norma: ||v⃗|| = √14.
Los cosenos directores son: cos α = 2/√14 ≈ 0.53, cos β = 1/√14 ≈ 0.27, cos γ = -3/√14 ≈ -0.8. Para obtener los ángulos, usas la función arcocoseno: α ≈ 57.7°, β ≈ 74.5°, γ ≈ 143.3°.
El segundo ejemplo muestra el proceso inverso: si conoces algunos ángulos directores, puedes encontrar el tercero usando la relación cos²α + cos²β + cos²γ = 1. Esto es útil cuando tienes información parcial sobre la orientación de un vector.
💡 Estrategia de estudio: Practica tanto el cálculo directo (vector → ángulos) como el inverso (ángulos → componentes del vector).

A veces necesitas encontrar vectores que cumplan múltiples condiciones simultáneamente. Este ejemplo combina norma específica, ángulo director dado y condición de ángulo agudo con otro vector.
Para ||V⃗|| = 4 y ángulo director φ₂ = 3π/4, usas y = ||V⃗|| cos φ₂ para encontrar y = -2√2. Luego, con la condición de norma, encuentras que x = ±2√2, dando dos vectores candidatos.
La condición adicional (formar ángulo agudo con w⃗) te ayuda a elegir el vector correcto. Un ángulo es agudo cuando su coseno es positivo, lo que se verifica usando el producto punto entre los vectores.
💡 Método eficaz: Cuando tengas múltiples restricciones, resuélvelas paso a paso: primero las más directas, luego usa las condiciones adicionales para discriminar entre soluciones.

Esta tabla es tu mejor amiga para resolver problemas con vectores y ángulos. Contiene los valores exactos de seno y coseno para los ángulos más comunes: 0°, 30°, 45°, 60°, 90°.
El patrón de los valores es elegante: tanto seno como coseno se expresan como √n/2 donde n va de 0 a 4. Para 45°, ambos valen √2/2, lo que refleja la simetría de este ángulo especial.
La información sobre cuadrantes es crucial: te dice cómo calcular ángulos en cualquier cuadrante usando el ángulo de referencia. En el cuadrante II usas 180° - θref, en el III usas 180° + θref, y en el IV usas 360° - θref.
💡 Consejo de memorización: Recuerda el patrón √n/2 donde n = 0,1,2,3,4 para los valores de seno de 0° a 90°. Para coseno, simplemente invierte el orden.

Dos vectores son iguales cuando tienen el mismo tamaño y dirección, lo que matemáticamente significa que todas sus componentes correspondientes son iguales. Esta definición te permite resolver sistemas de ecuaciones para encontrar parámetros desconocidos.
Las combinaciones lineales son formas de "mezclar" vectores usando escalares: v⃗ = λ₁v₁ + λ₂v₂ + ... + λₖvₖ. Es como una "receta" donde cada vector es un ingrediente y cada λᵢ es la cantidad que usas.
Para determinar si un vector es combinación lineal de otros, planteas el sistema de ecuaciones igualando componente por componente. Si el sistema tiene solución, entonces sí es combinación lineal; si no tiene solución, entonces no lo es.
💡 Enfoque práctico: Las combinaciones lineales te permiten expresar vectores complejos en términos de vectores más simples, algo fundamental en álgebra lineal.

La resolución mediante eliminación gaussiana es tu herramienta más poderosa para sistemas lineales complejos. El proceso sistemático te garantiza encontrar la solución correcta sin perderte en los cálculos.
En el primer ejemplo, el sistema tiene solución única: λ₁ = 3, λ₂ = 2, confirmando que el vector dado sí es combinación lineal. En el segundo ejemplo, buscas valores de k que hagan posible la combinación lineal.
La clave está en organizar correctamente la matriz aumentada y aplicar operaciones elementales paso a paso. Cada operación debe acercarte a la forma escalonada reducida, donde las soluciones se leen directamente.
💡 Estrategia de éxito: Mantén orden en tus operaciones matriciales. Anota cada paso claramente para evitar errores de cálculo que pueden arruinar todo el proceso.

Un conjunto de vectores es linealmente independiente (L.I.) cuando la única forma de obtener el vector cero como combinación lineal es usando todos los coeficientes iguales a cero. Si existe otra forma (coeficientes no todos cero), entonces son linealmente dependientes (L.D.).
Para verificar independencia lineal, planteas λ₁v₁ + λ₂v₂ + ... + λₖvₖ = 0⃗ y resuelves el sistema homogéneo. Si solo tiene la solución trivial , son L.I.; si tiene infinitas soluciones, son L.D.
El primer ejemplo muestra vectores L.I. porque el sistema solo tiene la solución trivial. El segundo ejemplo será L.D. si encontramos coeficientes no todos cero que satisfagan la ecuación.
💡 Concepto clave: La independencia lineal significa que ningún vector del conjunto se puede expresar como combinación de los demás. Es fundamental para entender bases y dimensión.

Cuando el sistema homogéneo tiene infinitas soluciones, los vectores son linealmente dependientes. Esto se evidencia cuando aparecen filas de ceros en la matriz escalonada o cuando hay más variables que ecuaciones independientes.
En este ejemplo, el sistema se reduce a solo dos ecuaciones independientes para tres incógnitas, lo que garantiza infinitas soluciones. Expresas las soluciones en términos de un parámetro libre t.
La solución general (λ₁, λ₂, λ₃) = muestra que hay infinitos conjuntos de coeficientes que hacen cero la combinación lineal. Cualquier valor no cero de t da una relación de dependencia específica entre los vectores.
💡 Interpretación geométrica: Cuando los vectores son L.D., significa que uno se puede expresar como combinación de los otros, o que todos están en el mismo plano (o recta).

Nuestro compañero de IA está específicamente adaptado a las necesidades de los estudiantes. Basándonos en los millones de contenidos que tenemos en la plataforma, podemos dar a los estudiantes respuestas realmente significativas y relevantes. Pero no se trata solo de respuestas, el compañero también guía a los estudiantes a través de sus retos de aprendizaje diarios, con planes de aprendizaje personalizados, cuestionarios o contenidos en el chat y una personalización del 100% basada en las habilidades y el desarrollo de los estudiantes.
Puedes descargar la app en Google Play Store y Apple App Store.
¡Sí lo es! Tienes acceso totalmente gratuito a todo el contenido de la app, puedes chatear con otros alumnos y recibir ayuda inmeditamente. Puedes ganar dinero utilizando la aplicación, que te permitirá acceder a determinadas funciones.
Números enteros y operaciones entre números enteros (Suma, Resta, Multiplicación y División)
App Store
Google Play
La app es muy fácil de usar y está muy bien diseñada. Hasta ahora he encontrado todo lo que estaba buscando y he podido aprender mucho de las presentaciones. Definitivamente utilizaré la aplicación para un examen de clase. Y, por supuesto, también me sirve mucho de inspiración.
Pablo
usuario de iOS
Esta app es realmente genial. Hay tantos apuntes de clase y ayuda [...]. Tengo problemas con matemáticas, por ejemplo, y la aplicación tiene muchas opciones de ayuda. Gracias a Knowunity, he mejorado en mates. Se la recomiendo a todo el mundo.
Elena
usuaria de Android
Vaya, estoy realmente sorprendida. Acabo de probar la app porque la he visto anunciada muchas veces y me he quedado absolutamente alucinada. Esta app es LA AYUDA que quieres para el insti y, sobre todo, ofrece muchísimas cosas, como ejercicios y hojas informativas, que a mí personalmente me han sido MUY útiles.
Ana
usuaria de iOS
Solía tener problemas para completar mis tareas a tiempo hasta que descubrí Knowunity, que no solo facilita subir mi propio contenido sino que también proporciona excelentes resúmenes que hacen mi trabajo más rápido y eficiente.
Thomas R
usuario de iOS
Siempre era un desafío encontrar toda la información importante para mis tareas – desde que comencé a usar Knowunity, puedo simplemente subir mi contenido y beneficiarme de los resúmenes de otros, lo que me ayuda mucho con la organización.
Lisa M
usuaria de Android
A menudo sentía que no tenía suficiente visión general al estudiar, pero desde que comencé a usar Knowunity, eso ya no es un problema – subo mi contenido y siempre encuentro resúmenes útiles en la plataforma, lo que hace mi aprendizaje mucho más fácil.
David K
usuario de iOS
¡La app es buenísima! Sólo tengo que introducir el tema en la barra de búsqueda y recibo la respuesta muy rápido. No tengo que ver 10 vídeos de YouTube para entender algo, así que me ahorro tiempo. ¡Muy recomendable!
Sara
usuaria de Android
En el instituto era muy malo en matemáticas, pero gracias a la app, ahora saco mejores notas. Os agradezco mucho que hayáis creado la aplicación.
Roberto
usuario de Android
Solía ser realmente difícil recopilar toda la información para mis presentaciones. Pero desde que comencé a usar Knowunity, solo subo mis apuntes y encuentro increíbles resúmenes de otros – ¡hace mi estudio mucho más eficiente!
Julia S
usuaria de Android
Estaba constantemente estresado con todo el material de estudio, pero desde que comencé a usar Knowunity, subo mis cosas y reviso los geniales resúmenes de otros – realmente me ayuda a gestionar todo mejor y es mucho menos estresante.
Marco B
usuario de iOS
LOS QUIZ Y FLASHCARDS SON SÚPER ÚTILES Y ME ENCANTA Knowunity IA. ADEMÁS ES LITERALMENTE COMO CHATGPT PERO MÁS LISTO!! ME AYUDÓ TAMBIÉN CON MIS PROBLEMAS DE MÁSCARA!! Y CON MIS ASIGNATURAS DE VERDAD! OBVIO 😍😁😲🤑💗✨🎀😮
Sarah L
usuaria de Android
Antes pasaba horas buscando en Google materiales escolares, pero ahora solo subo mis cosas a Knowunity y reviso los útiles resúmenes de otros - me siento mucho más seguro al prepararme para los exámenes.
Paul T
usuario de iOS
La app es muy fácil de usar y está muy bien diseñada. Hasta ahora he encontrado todo lo que estaba buscando y he podido aprender mucho de las presentaciones. Definitivamente utilizaré la aplicación para un examen de clase. Y, por supuesto, también me sirve mucho de inspiración.
Pablo
usuario de iOS
Esta app es realmente genial. Hay tantos apuntes de clase y ayuda [...]. Tengo problemas con matemáticas, por ejemplo, y la aplicación tiene muchas opciones de ayuda. Gracias a Knowunity, he mejorado en mates. Se la recomiendo a todo el mundo.
Elena
usuaria de Android
Vaya, estoy realmente sorprendida. Acabo de probar la app porque la he visto anunciada muchas veces y me he quedado absolutamente alucinada. Esta app es LA AYUDA que quieres para el insti y, sobre todo, ofrece muchísimas cosas, como ejercicios y hojas informativas, que a mí personalmente me han sido MUY útiles.
Ana
usuaria de iOS
Solía tener problemas para completar mis tareas a tiempo hasta que descubrí Knowunity, que no solo facilita subir mi propio contenido sino que también proporciona excelentes resúmenes que hacen mi trabajo más rápido y eficiente.
Thomas R
usuario de iOS
Siempre era un desafío encontrar toda la información importante para mis tareas – desde que comencé a usar Knowunity, puedo simplemente subir mi contenido y beneficiarme de los resúmenes de otros, lo que me ayuda mucho con la organización.
Lisa M
usuaria de Android
A menudo sentía que no tenía suficiente visión general al estudiar, pero desde que comencé a usar Knowunity, eso ya no es un problema – subo mi contenido y siempre encuentro resúmenes útiles en la plataforma, lo que hace mi aprendizaje mucho más fácil.
David K
usuario de iOS
¡La app es buenísima! Sólo tengo que introducir el tema en la barra de búsqueda y recibo la respuesta muy rápido. No tengo que ver 10 vídeos de YouTube para entender algo, así que me ahorro tiempo. ¡Muy recomendable!
Sara
usuaria de Android
En el instituto era muy malo en matemáticas, pero gracias a la app, ahora saco mejores notas. Os agradezco mucho que hayáis creado la aplicación.
Roberto
usuario de Android
Solía ser realmente difícil recopilar toda la información para mis presentaciones. Pero desde que comencé a usar Knowunity, solo subo mis apuntes y encuentro increíbles resúmenes de otros – ¡hace mi estudio mucho más eficiente!
Julia S
usuaria de Android
Estaba constantemente estresado con todo el material de estudio, pero desde que comencé a usar Knowunity, subo mis cosas y reviso los geniales resúmenes de otros – realmente me ayuda a gestionar todo mejor y es mucho menos estresante.
Marco B
usuario de iOS
LOS QUIZ Y FLASHCARDS SON SÚPER ÚTILES Y ME ENCANTA Knowunity IA. ADEMÁS ES LITERALMENTE COMO CHATGPT PERO MÁS LISTO!! ME AYUDÓ TAMBIÉN CON MIS PROBLEMAS DE MÁSCARA!! Y CON MIS ASIGNATURAS DE VERDAD! OBVIO 😍😁😲🤑💗✨🎀😮
Sarah L
usuaria de Android
Antes pasaba horas buscando en Google materiales escolares, pero ahora solo subo mis cosas a Knowunity y reviso los útiles resúmenes de otros - me siento mucho más seguro al prepararme para los exámenes.
Paul T
usuario de iOS
Yeferson Gallego Mosquera
@efersonallegoosquera_5dyk
Los vectores son herramientas fundamentales en matemáticas que te ayudan a representar magnitudes con dirección. En este tema vamos a explorar cómo calcular su tamaño, operar con ellos y determinar relaciones de independencia lineal.

Acceso a todos los documentos
Mejora tus notas
Únete a millones de estudiantes
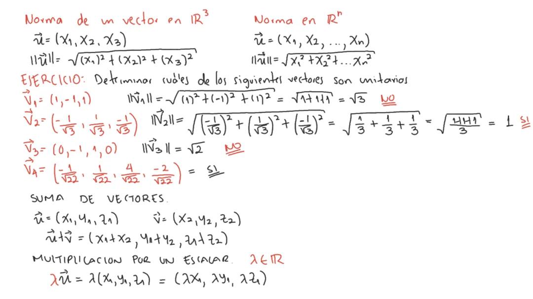
¿Alguna vez te has preguntado cómo medir el "tamaño" de un vector? La norma es exactamente eso: una forma de calcular la longitud de cualquier vector.
Para un vector en ℝ³, la fórmula es: |||| = √. Esta idea se extiende a cualquier dimensión sumando los cuadrados de todas las componentes. Los vectores unitarios son especiales porque su norma es exactamente 1, lo que los hace súper útiles como direcciones puras.
Las operaciones básicas son intuitivas: sumas vectores componente por componente, y cuando multiplicas por un escalar, cada componente se multiplica por ese número. Si el escalar es mayor que 1, el vector se alarga; si está entre 0 y 1, se acorta; y si es negativo, cambia de sentido.
💡 Tip clave: Para verificar si un vector es unitario, solo calcula su norma. Si da exactamente 1, ¡bingo!

Acceso a todos los documentos
Mejora tus notas
Únete a millones de estudiantes
Los gráficos te muestran cómo los vectores se comportan visualmente en el espacio. Cuando multiplicas un vector por un escalar, su dirección se mantiene pero su magnitud cambia proporcionalmente.
Para encontrar un vector unitario con la misma dirección que otro vector, usas la fórmula: û = v⃗/||v⃗||. Esto significa que divides cada componente del vector original por su norma. Es como "normalizar" el vector para que tenga longitud 1 pero conserve su dirección.
El ejemplo muestra que para v⃗ = (2, 4, -3), primero calculas ||v⃗|| = √29, y luego el vector unitario es (2/√29, 4/√29, -3/√29). Este proceso es fundamental en física y ingeniería.
💡 Dato útil: Los vectores unitarios son como las "direcciones puras" - te dicen hacia dónde apuntar sin importar qué tan lejos vayas.

Acceso a todos los documentos
Mejora tus notas
Únete a millones de estudiantes
Los ángulos directores te dicen exactamente cómo está orientado un vector en el espacio 3D. Son los ángulos que forma el vector con cada uno de los ejes coordenados positivos (x, y, z).
Para cualquier vector, puedes calcular estos ángulos usando las fórmulas: cos α = x₀/||r⃗||, cos β = y₀/||r⃗||, cos γ = z₀/||r⃗||. Los valores cos α, cos β, cos γ se llaman cosenos directores.
Una propiedad super importante es que cos²α + cos²β + cos²γ = 1. Esto significa que los cosenos directores están relacionados entre sí y no pueden tomar valores arbitrarios. Esta ecuación es como una "verificación" de que tus cálculos están correctos.
💡 Conexión práctica: Los ángulos directores son esenciales en ingeniería para describir la orientación de fuerzas, velocidades o cualquier magnitud vectorial en 3D.

Acceso a todos los documentos
Mejora tus notas
Únete a millones de estudiantes
Vamos a aplicar la teoría con ejemplos concretos. Para el vector v⃗ = (2, 1, -3), primero calculas su norma: ||v⃗|| = √14.
Los cosenos directores son: cos α = 2/√14 ≈ 0.53, cos β = 1/√14 ≈ 0.27, cos γ = -3/√14 ≈ -0.8. Para obtener los ángulos, usas la función arcocoseno: α ≈ 57.7°, β ≈ 74.5°, γ ≈ 143.3°.
El segundo ejemplo muestra el proceso inverso: si conoces algunos ángulos directores, puedes encontrar el tercero usando la relación cos²α + cos²β + cos²γ = 1. Esto es útil cuando tienes información parcial sobre la orientación de un vector.
💡 Estrategia de estudio: Practica tanto el cálculo directo (vector → ángulos) como el inverso (ángulos → componentes del vector).

Acceso a todos los documentos
Mejora tus notas
Únete a millones de estudiantes
A veces necesitas encontrar vectores que cumplan múltiples condiciones simultáneamente. Este ejemplo combina norma específica, ángulo director dado y condición de ángulo agudo con otro vector.
Para ||V⃗|| = 4 y ángulo director φ₂ = 3π/4, usas y = ||V⃗|| cos φ₂ para encontrar y = -2√2. Luego, con la condición de norma, encuentras que x = ±2√2, dando dos vectores candidatos.
La condición adicional (formar ángulo agudo con w⃗) te ayuda a elegir el vector correcto. Un ángulo es agudo cuando su coseno es positivo, lo que se verifica usando el producto punto entre los vectores.
💡 Método eficaz: Cuando tengas múltiples restricciones, resuélvelas paso a paso: primero las más directas, luego usa las condiciones adicionales para discriminar entre soluciones.

Acceso a todos los documentos
Mejora tus notas
Únete a millones de estudiantes
Esta tabla es tu mejor amiga para resolver problemas con vectores y ángulos. Contiene los valores exactos de seno y coseno para los ángulos más comunes: 0°, 30°, 45°, 60°, 90°.
El patrón de los valores es elegante: tanto seno como coseno se expresan como √n/2 donde n va de 0 a 4. Para 45°, ambos valen √2/2, lo que refleja la simetría de este ángulo especial.
La información sobre cuadrantes es crucial: te dice cómo calcular ángulos en cualquier cuadrante usando el ángulo de referencia. En el cuadrante II usas 180° - θref, en el III usas 180° + θref, y en el IV usas 360° - θref.
💡 Consejo de memorización: Recuerda el patrón √n/2 donde n = 0,1,2,3,4 para los valores de seno de 0° a 90°. Para coseno, simplemente invierte el orden.

Acceso a todos los documentos
Mejora tus notas
Únete a millones de estudiantes
Dos vectores son iguales cuando tienen el mismo tamaño y dirección, lo que matemáticamente significa que todas sus componentes correspondientes son iguales. Esta definición te permite resolver sistemas de ecuaciones para encontrar parámetros desconocidos.
Las combinaciones lineales son formas de "mezclar" vectores usando escalares: v⃗ = λ₁v₁ + λ₂v₂ + ... + λₖvₖ. Es como una "receta" donde cada vector es un ingrediente y cada λᵢ es la cantidad que usas.
Para determinar si un vector es combinación lineal de otros, planteas el sistema de ecuaciones igualando componente por componente. Si el sistema tiene solución, entonces sí es combinación lineal; si no tiene solución, entonces no lo es.
💡 Enfoque práctico: Las combinaciones lineales te permiten expresar vectores complejos en términos de vectores más simples, algo fundamental en álgebra lineal.

Acceso a todos los documentos
Mejora tus notas
Únete a millones de estudiantes
La resolución mediante eliminación gaussiana es tu herramienta más poderosa para sistemas lineales complejos. El proceso sistemático te garantiza encontrar la solución correcta sin perderte en los cálculos.
En el primer ejemplo, el sistema tiene solución única: λ₁ = 3, λ₂ = 2, confirmando que el vector dado sí es combinación lineal. En el segundo ejemplo, buscas valores de k que hagan posible la combinación lineal.
La clave está en organizar correctamente la matriz aumentada y aplicar operaciones elementales paso a paso. Cada operación debe acercarte a la forma escalonada reducida, donde las soluciones se leen directamente.
💡 Estrategia de éxito: Mantén orden en tus operaciones matriciales. Anota cada paso claramente para evitar errores de cálculo que pueden arruinar todo el proceso.

Acceso a todos los documentos
Mejora tus notas
Únete a millones de estudiantes
Un conjunto de vectores es linealmente independiente (L.I.) cuando la única forma de obtener el vector cero como combinación lineal es usando todos los coeficientes iguales a cero. Si existe otra forma (coeficientes no todos cero), entonces son linealmente dependientes (L.D.).
Para verificar independencia lineal, planteas λ₁v₁ + λ₂v₂ + ... + λₖvₖ = 0⃗ y resuelves el sistema homogéneo. Si solo tiene la solución trivial , son L.I.; si tiene infinitas soluciones, son L.D.
El primer ejemplo muestra vectores L.I. porque el sistema solo tiene la solución trivial. El segundo ejemplo será L.D. si encontramos coeficientes no todos cero que satisfagan la ecuación.
💡 Concepto clave: La independencia lineal significa que ningún vector del conjunto se puede expresar como combinación de los demás. Es fundamental para entender bases y dimensión.

Acceso a todos los documentos
Mejora tus notas
Únete a millones de estudiantes
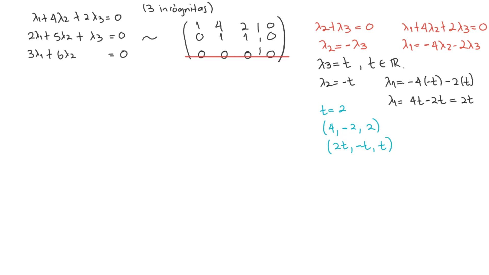
Cuando el sistema homogéneo tiene infinitas soluciones, los vectores son linealmente dependientes. Esto se evidencia cuando aparecen filas de ceros en la matriz escalonada o cuando hay más variables que ecuaciones independientes.
En este ejemplo, el sistema se reduce a solo dos ecuaciones independientes para tres incógnitas, lo que garantiza infinitas soluciones. Expresas las soluciones en términos de un parámetro libre t.
La solución general (λ₁, λ₂, λ₃) = muestra que hay infinitos conjuntos de coeficientes que hacen cero la combinación lineal. Cualquier valor no cero de t da una relación de dependencia específica entre los vectores.
💡 Interpretación geométrica: Cuando los vectores son L.D., significa que uno se puede expresar como combinación de los otros, o que todos están en el mismo plano (o recta).

Acceso a todos los documentos
Mejora tus notas
Únete a millones de estudiantes
Nuestro compañero de IA está específicamente adaptado a las necesidades de los estudiantes. Basándonos en los millones de contenidos que tenemos en la plataforma, podemos dar a los estudiantes respuestas realmente significativas y relevantes. Pero no se trata solo de respuestas, el compañero también guía a los estudiantes a través de sus retos de aprendizaje diarios, con planes de aprendizaje personalizados, cuestionarios o contenidos en el chat y una personalización del 100% basada en las habilidades y el desarrollo de los estudiantes.
Puedes descargar la app en Google Play Store y Apple App Store.
¡Sí lo es! Tienes acceso totalmente gratuito a todo el contenido de la app, puedes chatear con otros alumnos y recibir ayuda inmeditamente. Puedes ganar dinero utilizando la aplicación, que te permitirá acceder a determinadas funciones.
0
Herramientas Inteligentes NUEVO
Transforma estos apuntes en: ✓ 50+ Preguntas de Práctica ✓ Fichas Interactivas ✓ Examen Completo de Práctica ✓ Esquemas de Ensayo
Números enteros y operaciones entre números enteros (Suma, Resta, Multiplicación y División)
App Store
Google Play
La app es muy fácil de usar y está muy bien diseñada. Hasta ahora he encontrado todo lo que estaba buscando y he podido aprender mucho de las presentaciones. Definitivamente utilizaré la aplicación para un examen de clase. Y, por supuesto, también me sirve mucho de inspiración.
Pablo
usuario de iOS
Esta app es realmente genial. Hay tantos apuntes de clase y ayuda [...]. Tengo problemas con matemáticas, por ejemplo, y la aplicación tiene muchas opciones de ayuda. Gracias a Knowunity, he mejorado en mates. Se la recomiendo a todo el mundo.
Elena
usuaria de Android
Vaya, estoy realmente sorprendida. Acabo de probar la app porque la he visto anunciada muchas veces y me he quedado absolutamente alucinada. Esta app es LA AYUDA que quieres para el insti y, sobre todo, ofrece muchísimas cosas, como ejercicios y hojas informativas, que a mí personalmente me han sido MUY útiles.
Ana
usuaria de iOS
Solía tener problemas para completar mis tareas a tiempo hasta que descubrí Knowunity, que no solo facilita subir mi propio contenido sino que también proporciona excelentes resúmenes que hacen mi trabajo más rápido y eficiente.
Thomas R
usuario de iOS
Siempre era un desafío encontrar toda la información importante para mis tareas – desde que comencé a usar Knowunity, puedo simplemente subir mi contenido y beneficiarme de los resúmenes de otros, lo que me ayuda mucho con la organización.
Lisa M
usuaria de Android
A menudo sentía que no tenía suficiente visión general al estudiar, pero desde que comencé a usar Knowunity, eso ya no es un problema – subo mi contenido y siempre encuentro resúmenes útiles en la plataforma, lo que hace mi aprendizaje mucho más fácil.
David K
usuario de iOS
¡La app es buenísima! Sólo tengo que introducir el tema en la barra de búsqueda y recibo la respuesta muy rápido. No tengo que ver 10 vídeos de YouTube para entender algo, así que me ahorro tiempo. ¡Muy recomendable!
Sara
usuaria de Android
En el instituto era muy malo en matemáticas, pero gracias a la app, ahora saco mejores notas. Os agradezco mucho que hayáis creado la aplicación.
Roberto
usuario de Android
Solía ser realmente difícil recopilar toda la información para mis presentaciones. Pero desde que comencé a usar Knowunity, solo subo mis apuntes y encuentro increíbles resúmenes de otros – ¡hace mi estudio mucho más eficiente!
Julia S
usuaria de Android
Estaba constantemente estresado con todo el material de estudio, pero desde que comencé a usar Knowunity, subo mis cosas y reviso los geniales resúmenes de otros – realmente me ayuda a gestionar todo mejor y es mucho menos estresante.
Marco B
usuario de iOS
LOS QUIZ Y FLASHCARDS SON SÚPER ÚTILES Y ME ENCANTA Knowunity IA. ADEMÁS ES LITERALMENTE COMO CHATGPT PERO MÁS LISTO!! ME AYUDÓ TAMBIÉN CON MIS PROBLEMAS DE MÁSCARA!! Y CON MIS ASIGNATURAS DE VERDAD! OBVIO 😍😁😲🤑💗✨🎀😮
Sarah L
usuaria de Android
Antes pasaba horas buscando en Google materiales escolares, pero ahora solo subo mis cosas a Knowunity y reviso los útiles resúmenes de otros - me siento mucho más seguro al prepararme para los exámenes.
Paul T
usuario de iOS
La app es muy fácil de usar y está muy bien diseñada. Hasta ahora he encontrado todo lo que estaba buscando y he podido aprender mucho de las presentaciones. Definitivamente utilizaré la aplicación para un examen de clase. Y, por supuesto, también me sirve mucho de inspiración.
Pablo
usuario de iOS
Esta app es realmente genial. Hay tantos apuntes de clase y ayuda [...]. Tengo problemas con matemáticas, por ejemplo, y la aplicación tiene muchas opciones de ayuda. Gracias a Knowunity, he mejorado en mates. Se la recomiendo a todo el mundo.
Elena
usuaria de Android
Vaya, estoy realmente sorprendida. Acabo de probar la app porque la he visto anunciada muchas veces y me he quedado absolutamente alucinada. Esta app es LA AYUDA que quieres para el insti y, sobre todo, ofrece muchísimas cosas, como ejercicios y hojas informativas, que a mí personalmente me han sido MUY útiles.
Ana
usuaria de iOS
Solía tener problemas para completar mis tareas a tiempo hasta que descubrí Knowunity, que no solo facilita subir mi propio contenido sino que también proporciona excelentes resúmenes que hacen mi trabajo más rápido y eficiente.
Thomas R
usuario de iOS
Siempre era un desafío encontrar toda la información importante para mis tareas – desde que comencé a usar Knowunity, puedo simplemente subir mi contenido y beneficiarme de los resúmenes de otros, lo que me ayuda mucho con la organización.
Lisa M
usuaria de Android
A menudo sentía que no tenía suficiente visión general al estudiar, pero desde que comencé a usar Knowunity, eso ya no es un problema – subo mi contenido y siempre encuentro resúmenes útiles en la plataforma, lo que hace mi aprendizaje mucho más fácil.
David K
usuario de iOS
¡La app es buenísima! Sólo tengo que introducir el tema en la barra de búsqueda y recibo la respuesta muy rápido. No tengo que ver 10 vídeos de YouTube para entender algo, así que me ahorro tiempo. ¡Muy recomendable!
Sara
usuaria de Android
En el instituto era muy malo en matemáticas, pero gracias a la app, ahora saco mejores notas. Os agradezco mucho que hayáis creado la aplicación.
Roberto
usuario de Android
Solía ser realmente difícil recopilar toda la información para mis presentaciones. Pero desde que comencé a usar Knowunity, solo subo mis apuntes y encuentro increíbles resúmenes de otros – ¡hace mi estudio mucho más eficiente!
Julia S
usuaria de Android
Estaba constantemente estresado con todo el material de estudio, pero desde que comencé a usar Knowunity, subo mis cosas y reviso los geniales resúmenes de otros – realmente me ayuda a gestionar todo mejor y es mucho menos estresante.
Marco B
usuario de iOS
LOS QUIZ Y FLASHCARDS SON SÚPER ÚTILES Y ME ENCANTA Knowunity IA. ADEMÁS ES LITERALMENTE COMO CHATGPT PERO MÁS LISTO!! ME AYUDÓ TAMBIÉN CON MIS PROBLEMAS DE MÁSCARA!! Y CON MIS ASIGNATURAS DE VERDAD! OBVIO 😍😁😲🤑💗✨🎀😮
Sarah L
usuaria de Android
Antes pasaba horas buscando en Google materiales escolares, pero ahora solo subo mis cosas a Knowunity y reviso los útiles resúmenes de otros - me siento mucho más seguro al prepararme para los exámenes.
Paul T
usuario de iOS