¡Hola! En este material vamos a repasar conceptos clave del... Mostrar más
Inscríbete para ver los apuntes¡Es gratis!
Acceso a todos los documentos
Mejora tus notas
Únete a millones de estudiantes
Knowunity AI
Asignaturas
Triangle Congruence and Similarity Theorems
Triangle Properties and Classification
Linear Equations and Graphs
Geometric Angle Relationships
Trigonometric Functions and Identities
Equation Solving Techniques
Circle Geometry Fundamentals
Division Operations and Methods
Basic Differentiation Rules
Exponent and Logarithm Properties
Mostrar todos los temas
Human Organ Systems
Reproductive Cell Cycles
Biological Sciences Subdisciplines
Cellular Energy Metabolism
Autotrophic Energy Processes
Inheritance Patterns and Principles
Biomolecular Structure and Organization
Cell Cycle and Division Mechanics
Cellular Organization and Development
Biological Structural Organization
Mostrar todos los temas
Chemical Sciences and Applications
Atomic Structure and Composition
Molecular Electron Structure Representation
Atomic Electron Behavior
Matter Properties and Water
Mole Concept and Calculations
Gas Laws and Behavior
Periodic Table Organization
Chemical Thermodynamics Fundamentals
Chemical Bond Types and Properties
Mostrar todos los temas
European Renaissance and Enlightenment
European Cultural Movements 800-1920
American Revolution Era 1763-1797
American Civil War 1861-1865
Global Imperial Systems
Mongol and Chinese Dynasties
U.S. Presidents and World Leaders
Historical Sources and Documentation
World Wars Era and Impact
World Religious Systems
Mostrar todos los temas
Classic and Contemporary Novels
Literary Character Analysis
Rhetorical Theory and Practice
Classic Literary Narratives
Reading Analysis and Interpretation
Narrative Structure and Techniques
English Language Components
Influential English-Language Authors
Basic Sentence Structure
Narrative Voice and Perspective
Mostrar todos los temas
39
•
Actualizado Apr 10, 2026
•
Silvanna Guerra londoño
@silvannaguerral
¡Hola! En este material vamos a repasar conceptos clave del... Mostrar más










El cálculo diferencial es una rama de las matemáticas que estudia cómo cambian las funciones y nos permite analizar fenómenos que varían. Este material preparatorio nos ayudará a comprender conceptos esenciales para resolver problemas más complejos.
¡Dato importante! El cálculo diferencial es la base para entender fenómenos físicos, económicos y de ingeniería. ¡Los conceptos que aprenderás aquí te abrirán puertas a muchas áreas del conocimiento!
En las siguientes páginas, trabajaremos con límites infinitos, asíntotas y derivadas, que son herramientas fundamentales para analizar el comportamiento de funciones.

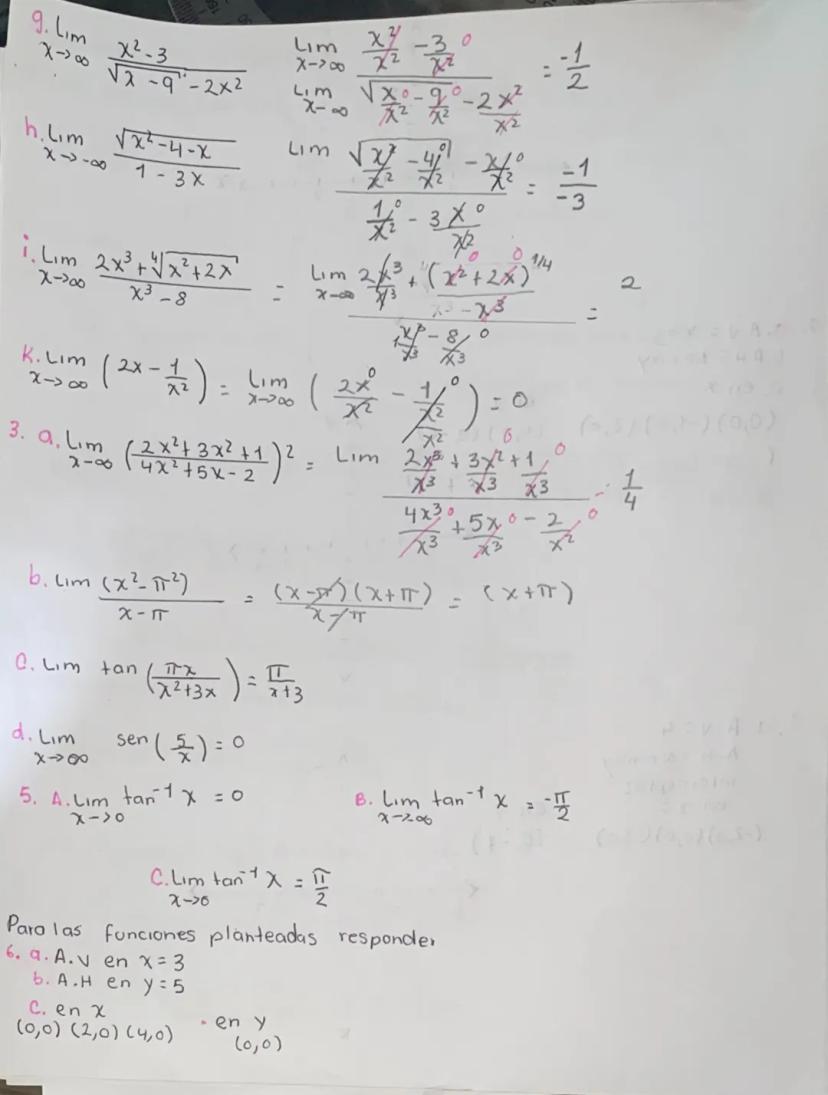
Los límites infinitos son aquellos donde una función se acerca a valores extremadamente grandes (positivos o negativos). Estos límites son fundamentales para entender las asíntotas verticales de una función.
Para calcular límites infinitos, debemos analizar qué ocurre cuando nos acercamos a un punto crítico desde ambos lados (límites laterales). Por ejemplo, en , cuando x se acerca a 4 por la derecha, el resultado tiende a , pero por la izquierda tiende a .
Otros casos interesantes son cuando tenemos expresiones como al acercarnos a x = 1. Para resolver estos límites, sustituimos valores muy cercanos al punto crítico y observamos hacia dónde se dirige la función.
Consejo práctico: Cuando veas un denominador que se acerca a cero mientras el numerador no, estás ante un límite infinito. ¡Analiza siempre los límites laterales para determinar el comportamiento completo!

Los límites al infinito describen el comportamiento de una función cuando x crece o decrece indefinidamente. Son útiles para encontrar asíntotas horizontales y entender cómo se comporta una función "a la larga".
Para calcular estos límites, debemos dividir el numerador y denominador por la variable con el mayor exponente. Por ejemplo:
Cuando trabajamos con raíces cuadradas, como en , aplicamos la misma técnica considerando las propiedades de las raíces. En este caso, obtendremos .
¡Atención! El truco clave para resolver límites al infinito es dividir todo por la variable con mayor exponente. Cuando , los términos con exponentes menores se vuelven despreciables.

Algunos límites requieren técnicas especiales, como los que involucran funciones trigonométricas o expresiones con raíces. Estos límites nos ayudan a entender el comportamiento de funciones más complejas.
Las asíntotas verticales (A.V.) ocurren en valores donde el denominador de una función racional se hace cero. Por ejemplo, x = 3 en la función analizada anteriormente. Las asíntotas horizontales (A.H.) representan el valor al que tiende una función cuando x se acerca al infinito.
También es importante identificar los interceptos con los ejes x e y. Los interceptos con el eje x ocurren cuando f(x) = 0, mientras que los interceptos con el eje y ocurren cuando x = 0.
Recordatorio útil: Las asíntotas nos indican límites que la gráfica nunca cruza o solo cruza una vez. Son fundamentales para dibujar correctamente una función y entender su comportamiento global.

Al analizar una función, debemos identificar sus características principales: asíntotas, interceptos y comportamiento general. Esto nos permite visualizar la función sin necesidad de graficar cada punto.
Para la función del ejercicio 7, tenemos una asíntota vertical en x = 3 pero no hay asíntotas horizontales. Sus interceptos con el eje x están en los puntos (0,0), (-1,0) y (2,0), mientras que en el eje y tenemos (0,0) y (0,-6).
En el ejercicio 8, identificamos una asíntota vertical en x = 4 y no hay asíntotas horizontales. Los interceptos con el eje x ocurren en (-2,0), (0,0) y (3,0), mientras que con el eje y en (0,-7).
Consejo para graficar: Identifica primero las asíntotas, luego los interceptos y finalmente analiza el comportamiento en los intervalos clave. Esto te dará una imagen mental clara de cómo se ve la función.

La continuidad de una función se relaciona con la existencia de límites. Una función es continua en un punto si está definida en ese punto, existe el límite en ese punto, y el valor de la función coincide con su límite.
Por ejemplo, en el ejercicio 9, la función f(x) es continua en x = 0 porque está definida allí, sus límites laterales existen y son iguales, y f(0) coincide con el valor del límite.
Las derivadas representan la tasa de cambio instantánea de una función. Se pueden calcular usando la definición:
En aplicaciones prácticas, como el ejercicio 11, las derivadas nos permiten calcular velocidades. Cuando tenemos la posición de un objeto en función del tiempo, su derivada nos da la velocidad.
Aplicación real: Las derivadas no son solo conceptos abstractos. En física representan velocidades y aceleraciones, en economía tasas de crecimiento, y en biología tasas de cambio poblacional.

Las derivadas nos permiten encontrar la ecuación de la recta tangente a una curva en un punto específico. La pendiente de esta recta es el valor de la derivada en ese punto.
Para encontrar la ecuación de una recta tangente a una curva f(x) en un punto (a, f(a)), usamos la fórmula:
Por ejemplo, en el ejercicio 12, calculamos que f'(2) = -2/5 para la función f(x) = 5/ en el punto (2,1). Luego, la ecuación de la recta tangente es: , que simplificada queda
Es importante entender la relación entre continuidad y derivabilidad: si una función es derivable en un punto, entonces es continua en ese punto, pero lo contrario no siempre es cierto.
Dato clave: Una función puede ser continua pero no derivable en un punto. Esto ocurre cuando hay "esquinas" o "picos" en la gráfica, como en el valor absoluto |x| en x=0.

El cálculo de derivadas se facilita usando reglas específicas según el tipo de función. Algunas reglas fundamentales incluyen:
También aplicamos reglas para operaciones entre funciones como la suma, producto, cociente y composición. Por ejemplo, para la función , aplicamos la regla de la suma y las reglas específicas para cada término.
Es importante distinguir entre los conceptos de continuidad y derivabilidad. Recordemos que:
Para recordar: Una función puede ser continua pero no derivable , pero si es derivable, siempre será continua. ¡La derivabilidad es una condición más fuerte que la continuidad!

El cálculo diferencial tiene numerosas aplicaciones en problemas del mundo real. Por ejemplo, podemos modelar el crecimiento de usuarios en una plataforma mediante funciones logísticas como la del ejercicio 29.9:
Para determinar cuándo la plataforma alcanzará 25,000 usuarios, igualamos la función a 25000 y resolvemos para t, obteniendo aproximadamente 3 meses.
El dominio de una función es otro concepto importante. Por ejemplo, en el ejercicio 28.1, el dominio es excepto 1, indicando dónde está definida la función.
Para funciones con periodicidad, como en el ejercicio 28.3, identificamos desplazamientos como " hacia la derecha", lo que nos ayuda a entender transformaciones de funciones.
Aplicación práctica: Las funciones logísticas como las del ejercicio 29.9 modelan fenómenos de crecimiento con límites, como poblaciones, difusión de tecnologías o propagación de enfermedades. ¡El cálculo te permite predecir cuándo ocurrirán eventos importantes!
Nuestro compañero de IA está específicamente adaptado a las necesidades de los estudiantes. Basándonos en los millones de contenidos que tenemos en la plataforma, podemos dar a los estudiantes respuestas realmente significativas y relevantes. Pero no se trata solo de respuestas, el compañero también guía a los estudiantes a través de sus retos de aprendizaje diarios, con planes de aprendizaje personalizados, cuestionarios o contenidos en el chat y una personalización del 100% basada en las habilidades y el desarrollo de los estudiantes.
Puedes descargar la app en Google Play Store y Apple App Store.
¡Sí lo es! Tienes acceso totalmente gratuito a todo el contenido de la app, puedes chatear con otros alumnos y recibir ayuda inmeditamente. Puedes ganar dinero utilizando la aplicación, que te permitirá acceder a determinadas funciones.
Números enteros y operaciones entre números enteros (Suma, Resta, Multiplicación y División)
App Store
Google Play
La app es muy fácil de usar y está muy bien diseñada. Hasta ahora he encontrado todo lo que estaba buscando y he podido aprender mucho de las presentaciones. Definitivamente utilizaré la aplicación para un examen de clase. Y, por supuesto, también me sirve mucho de inspiración.
Pablo
usuario de iOS
Esta app es realmente genial. Hay tantos apuntes de clase y ayuda [...]. Tengo problemas con matemáticas, por ejemplo, y la aplicación tiene muchas opciones de ayuda. Gracias a Knowunity, he mejorado en mates. Se la recomiendo a todo el mundo.
Elena
usuaria de Android
Vaya, estoy realmente sorprendida. Acabo de probar la app porque la he visto anunciada muchas veces y me he quedado absolutamente alucinada. Esta app es LA AYUDA que quieres para el insti y, sobre todo, ofrece muchísimas cosas, como ejercicios y hojas informativas, que a mí personalmente me han sido MUY útiles.
Ana
usuaria de iOS
Solía tener problemas para completar mis tareas a tiempo hasta que descubrí Knowunity, que no solo facilita subir mi propio contenido sino que también proporciona excelentes resúmenes que hacen mi trabajo más rápido y eficiente.
Thomas R
usuario de iOS
Siempre era un desafío encontrar toda la información importante para mis tareas – desde que comencé a usar Knowunity, puedo simplemente subir mi contenido y beneficiarme de los resúmenes de otros, lo que me ayuda mucho con la organización.
Lisa M
usuaria de Android
A menudo sentía que no tenía suficiente visión general al estudiar, pero desde que comencé a usar Knowunity, eso ya no es un problema – subo mi contenido y siempre encuentro resúmenes útiles en la plataforma, lo que hace mi aprendizaje mucho más fácil.
David K
usuario de iOS
¡La app es buenísima! Sólo tengo que introducir el tema en la barra de búsqueda y recibo la respuesta muy rápido. No tengo que ver 10 vídeos de YouTube para entender algo, así que me ahorro tiempo. ¡Muy recomendable!
Sara
usuaria de Android
En el instituto era muy malo en matemáticas, pero gracias a la app, ahora saco mejores notas. Os agradezco mucho que hayáis creado la aplicación.
Roberto
usuario de Android
Solía ser realmente difícil recopilar toda la información para mis presentaciones. Pero desde que comencé a usar Knowunity, solo subo mis apuntes y encuentro increíbles resúmenes de otros – ¡hace mi estudio mucho más eficiente!
Julia S
usuaria de Android
Estaba constantemente estresado con todo el material de estudio, pero desde que comencé a usar Knowunity, subo mis cosas y reviso los geniales resúmenes de otros – realmente me ayuda a gestionar todo mejor y es mucho menos estresante.
Marco B
usuario de iOS
LOS QUIZ Y FLASHCARDS SON SÚPER ÚTILES Y ME ENCANTA Knowunity IA. ADEMÁS ES LITERALMENTE COMO CHATGPT PERO MÁS LISTO!! ME AYUDÓ TAMBIÉN CON MIS PROBLEMAS DE MÁSCARA!! Y CON MIS ASIGNATURAS DE VERDAD! OBVIO 😍😁😲🤑💗✨🎀😮
Sarah L
usuaria de Android
Antes pasaba horas buscando en Google materiales escolares, pero ahora solo subo mis cosas a Knowunity y reviso los útiles resúmenes de otros - me siento mucho más seguro al prepararme para los exámenes.
Paul T
usuario de iOS
La app es muy fácil de usar y está muy bien diseñada. Hasta ahora he encontrado todo lo que estaba buscando y he podido aprender mucho de las presentaciones. Definitivamente utilizaré la aplicación para un examen de clase. Y, por supuesto, también me sirve mucho de inspiración.
Pablo
usuario de iOS
Esta app es realmente genial. Hay tantos apuntes de clase y ayuda [...]. Tengo problemas con matemáticas, por ejemplo, y la aplicación tiene muchas opciones de ayuda. Gracias a Knowunity, he mejorado en mates. Se la recomiendo a todo el mundo.
Elena
usuaria de Android
Vaya, estoy realmente sorprendida. Acabo de probar la app porque la he visto anunciada muchas veces y me he quedado absolutamente alucinada. Esta app es LA AYUDA que quieres para el insti y, sobre todo, ofrece muchísimas cosas, como ejercicios y hojas informativas, que a mí personalmente me han sido MUY útiles.
Ana
usuaria de iOS
Solía tener problemas para completar mis tareas a tiempo hasta que descubrí Knowunity, que no solo facilita subir mi propio contenido sino que también proporciona excelentes resúmenes que hacen mi trabajo más rápido y eficiente.
Thomas R
usuario de iOS
Siempre era un desafío encontrar toda la información importante para mis tareas – desde que comencé a usar Knowunity, puedo simplemente subir mi contenido y beneficiarme de los resúmenes de otros, lo que me ayuda mucho con la organización.
Lisa M
usuaria de Android
A menudo sentía que no tenía suficiente visión general al estudiar, pero desde que comencé a usar Knowunity, eso ya no es un problema – subo mi contenido y siempre encuentro resúmenes útiles en la plataforma, lo que hace mi aprendizaje mucho más fácil.
David K
usuario de iOS
¡La app es buenísima! Sólo tengo que introducir el tema en la barra de búsqueda y recibo la respuesta muy rápido. No tengo que ver 10 vídeos de YouTube para entender algo, así que me ahorro tiempo. ¡Muy recomendable!
Sara
usuaria de Android
En el instituto era muy malo en matemáticas, pero gracias a la app, ahora saco mejores notas. Os agradezco mucho que hayáis creado la aplicación.
Roberto
usuario de Android
Solía ser realmente difícil recopilar toda la información para mis presentaciones. Pero desde que comencé a usar Knowunity, solo subo mis apuntes y encuentro increíbles resúmenes de otros – ¡hace mi estudio mucho más eficiente!
Julia S
usuaria de Android
Estaba constantemente estresado con todo el material de estudio, pero desde que comencé a usar Knowunity, subo mis cosas y reviso los geniales resúmenes de otros – realmente me ayuda a gestionar todo mejor y es mucho menos estresante.
Marco B
usuario de iOS
LOS QUIZ Y FLASHCARDS SON SÚPER ÚTILES Y ME ENCANTA Knowunity IA. ADEMÁS ES LITERALMENTE COMO CHATGPT PERO MÁS LISTO!! ME AYUDÓ TAMBIÉN CON MIS PROBLEMAS DE MÁSCARA!! Y CON MIS ASIGNATURAS DE VERDAD! OBVIO 😍😁😲🤑💗✨🎀😮
Sarah L
usuaria de Android
Antes pasaba horas buscando en Google materiales escolares, pero ahora solo subo mis cosas a Knowunity y reviso los útiles resúmenes de otros - me siento mucho más seguro al prepararme para los exámenes.
Paul T
usuario de iOS
Silvanna Guerra londoño
@silvannaguerral
¡Hola! En este material vamos a repasar conceptos clave del cálculo diferencial, enfocándonos en límites, asíntotas y derivadas. Estos temas son fundamentales para entender cómo funcionan las funciones matemáticas y serán super útiles en tus estudios futuros.

Acceso a todos los documentos
Mejora tus notas
Únete a millones de estudiantes
El cálculo diferencial es una rama de las matemáticas que estudia cómo cambian las funciones y nos permite analizar fenómenos que varían. Este material preparatorio nos ayudará a comprender conceptos esenciales para resolver problemas más complejos.
¡Dato importante! El cálculo diferencial es la base para entender fenómenos físicos, económicos y de ingeniería. ¡Los conceptos que aprenderás aquí te abrirán puertas a muchas áreas del conocimiento!
En las siguientes páginas, trabajaremos con límites infinitos, asíntotas y derivadas, que son herramientas fundamentales para analizar el comportamiento de funciones.

Acceso a todos los documentos
Mejora tus notas
Únete a millones de estudiantes
Los límites infinitos son aquellos donde una función se acerca a valores extremadamente grandes (positivos o negativos). Estos límites son fundamentales para entender las asíntotas verticales de una función.
Para calcular límites infinitos, debemos analizar qué ocurre cuando nos acercamos a un punto crítico desde ambos lados (límites laterales). Por ejemplo, en , cuando x se acerca a 4 por la derecha, el resultado tiende a , pero por la izquierda tiende a .
Otros casos interesantes son cuando tenemos expresiones como al acercarnos a x = 1. Para resolver estos límites, sustituimos valores muy cercanos al punto crítico y observamos hacia dónde se dirige la función.
Consejo práctico: Cuando veas un denominador que se acerca a cero mientras el numerador no, estás ante un límite infinito. ¡Analiza siempre los límites laterales para determinar el comportamiento completo!

Acceso a todos los documentos
Mejora tus notas
Únete a millones de estudiantes
Los límites al infinito describen el comportamiento de una función cuando x crece o decrece indefinidamente. Son útiles para encontrar asíntotas horizontales y entender cómo se comporta una función "a la larga".
Para calcular estos límites, debemos dividir el numerador y denominador por la variable con el mayor exponente. Por ejemplo:
Cuando trabajamos con raíces cuadradas, como en , aplicamos la misma técnica considerando las propiedades de las raíces. En este caso, obtendremos .
¡Atención! El truco clave para resolver límites al infinito es dividir todo por la variable con mayor exponente. Cuando , los términos con exponentes menores se vuelven despreciables.

Acceso a todos los documentos
Mejora tus notas
Únete a millones de estudiantes
Algunos límites requieren técnicas especiales, como los que involucran funciones trigonométricas o expresiones con raíces. Estos límites nos ayudan a entender el comportamiento de funciones más complejas.
Las asíntotas verticales (A.V.) ocurren en valores donde el denominador de una función racional se hace cero. Por ejemplo, x = 3 en la función analizada anteriormente. Las asíntotas horizontales (A.H.) representan el valor al que tiende una función cuando x se acerca al infinito.
También es importante identificar los interceptos con los ejes x e y. Los interceptos con el eje x ocurren cuando f(x) = 0, mientras que los interceptos con el eje y ocurren cuando x = 0.
Recordatorio útil: Las asíntotas nos indican límites que la gráfica nunca cruza o solo cruza una vez. Son fundamentales para dibujar correctamente una función y entender su comportamiento global.

Acceso a todos los documentos
Mejora tus notas
Únete a millones de estudiantes
Al analizar una función, debemos identificar sus características principales: asíntotas, interceptos y comportamiento general. Esto nos permite visualizar la función sin necesidad de graficar cada punto.
Para la función del ejercicio 7, tenemos una asíntota vertical en x = 3 pero no hay asíntotas horizontales. Sus interceptos con el eje x están en los puntos (0,0), (-1,0) y (2,0), mientras que en el eje y tenemos (0,0) y (0,-6).
En el ejercicio 8, identificamos una asíntota vertical en x = 4 y no hay asíntotas horizontales. Los interceptos con el eje x ocurren en (-2,0), (0,0) y (3,0), mientras que con el eje y en (0,-7).
Consejo para graficar: Identifica primero las asíntotas, luego los interceptos y finalmente analiza el comportamiento en los intervalos clave. Esto te dará una imagen mental clara de cómo se ve la función.

Acceso a todos los documentos
Mejora tus notas
Únete a millones de estudiantes
La continuidad de una función se relaciona con la existencia de límites. Una función es continua en un punto si está definida en ese punto, existe el límite en ese punto, y el valor de la función coincide con su límite.
Por ejemplo, en el ejercicio 9, la función f(x) es continua en x = 0 porque está definida allí, sus límites laterales existen y son iguales, y f(0) coincide con el valor del límite.
Las derivadas representan la tasa de cambio instantánea de una función. Se pueden calcular usando la definición:
En aplicaciones prácticas, como el ejercicio 11, las derivadas nos permiten calcular velocidades. Cuando tenemos la posición de un objeto en función del tiempo, su derivada nos da la velocidad.
Aplicación real: Las derivadas no son solo conceptos abstractos. En física representan velocidades y aceleraciones, en economía tasas de crecimiento, y en biología tasas de cambio poblacional.

Acceso a todos los documentos
Mejora tus notas
Únete a millones de estudiantes
Las derivadas nos permiten encontrar la ecuación de la recta tangente a una curva en un punto específico. La pendiente de esta recta es el valor de la derivada en ese punto.
Para encontrar la ecuación de una recta tangente a una curva f(x) en un punto (a, f(a)), usamos la fórmula:
Por ejemplo, en el ejercicio 12, calculamos que f'(2) = -2/5 para la función f(x) = 5/ en el punto (2,1). Luego, la ecuación de la recta tangente es: , que simplificada queda
Es importante entender la relación entre continuidad y derivabilidad: si una función es derivable en un punto, entonces es continua en ese punto, pero lo contrario no siempre es cierto.
Dato clave: Una función puede ser continua pero no derivable en un punto. Esto ocurre cuando hay "esquinas" o "picos" en la gráfica, como en el valor absoluto |x| en x=0.

Acceso a todos los documentos
Mejora tus notas
Únete a millones de estudiantes
El cálculo de derivadas se facilita usando reglas específicas según el tipo de función. Algunas reglas fundamentales incluyen:
También aplicamos reglas para operaciones entre funciones como la suma, producto, cociente y composición. Por ejemplo, para la función , aplicamos la regla de la suma y las reglas específicas para cada término.
Es importante distinguir entre los conceptos de continuidad y derivabilidad. Recordemos que:
Para recordar: Una función puede ser continua pero no derivable , pero si es derivable, siempre será continua. ¡La derivabilidad es una condición más fuerte que la continuidad!

Acceso a todos los documentos
Mejora tus notas
Únete a millones de estudiantes
El cálculo diferencial tiene numerosas aplicaciones en problemas del mundo real. Por ejemplo, podemos modelar el crecimiento de usuarios en una plataforma mediante funciones logísticas como la del ejercicio 29.9:
Para determinar cuándo la plataforma alcanzará 25,000 usuarios, igualamos la función a 25000 y resolvemos para t, obteniendo aproximadamente 3 meses.
El dominio de una función es otro concepto importante. Por ejemplo, en el ejercicio 28.1, el dominio es excepto 1, indicando dónde está definida la función.
Para funciones con periodicidad, como en el ejercicio 28.3, identificamos desplazamientos como " hacia la derecha", lo que nos ayuda a entender transformaciones de funciones.
Aplicación práctica: Las funciones logísticas como las del ejercicio 29.9 modelan fenómenos de crecimiento con límites, como poblaciones, difusión de tecnologías o propagación de enfermedades. ¡El cálculo te permite predecir cuándo ocurrirán eventos importantes!
Nuestro compañero de IA está específicamente adaptado a las necesidades de los estudiantes. Basándonos en los millones de contenidos que tenemos en la plataforma, podemos dar a los estudiantes respuestas realmente significativas y relevantes. Pero no se trata solo de respuestas, el compañero también guía a los estudiantes a través de sus retos de aprendizaje diarios, con planes de aprendizaje personalizados, cuestionarios o contenidos en el chat y una personalización del 100% basada en las habilidades y el desarrollo de los estudiantes.
Puedes descargar la app en Google Play Store y Apple App Store.
¡Sí lo es! Tienes acceso totalmente gratuito a todo el contenido de la app, puedes chatear con otros alumnos y recibir ayuda inmeditamente. Puedes ganar dinero utilizando la aplicación, que te permitirá acceder a determinadas funciones.
0
Herramientas Inteligentes NUEVO
Transforma estos apuntes en: ✓ 50+ Preguntas de Práctica ✓ Fichas Interactivas ✓ Examen Completo de Práctica ✓ Esquemas de Ensayo
Números enteros y operaciones entre números enteros (Suma, Resta, Multiplicación y División)
App Store
Google Play
La app es muy fácil de usar y está muy bien diseñada. Hasta ahora he encontrado todo lo que estaba buscando y he podido aprender mucho de las presentaciones. Definitivamente utilizaré la aplicación para un examen de clase. Y, por supuesto, también me sirve mucho de inspiración.
Pablo
usuario de iOS
Esta app es realmente genial. Hay tantos apuntes de clase y ayuda [...]. Tengo problemas con matemáticas, por ejemplo, y la aplicación tiene muchas opciones de ayuda. Gracias a Knowunity, he mejorado en mates. Se la recomiendo a todo el mundo.
Elena
usuaria de Android
Vaya, estoy realmente sorprendida. Acabo de probar la app porque la he visto anunciada muchas veces y me he quedado absolutamente alucinada. Esta app es LA AYUDA que quieres para el insti y, sobre todo, ofrece muchísimas cosas, como ejercicios y hojas informativas, que a mí personalmente me han sido MUY útiles.
Ana
usuaria de iOS
Solía tener problemas para completar mis tareas a tiempo hasta que descubrí Knowunity, que no solo facilita subir mi propio contenido sino que también proporciona excelentes resúmenes que hacen mi trabajo más rápido y eficiente.
Thomas R
usuario de iOS
Siempre era un desafío encontrar toda la información importante para mis tareas – desde que comencé a usar Knowunity, puedo simplemente subir mi contenido y beneficiarme de los resúmenes de otros, lo que me ayuda mucho con la organización.
Lisa M
usuaria de Android
A menudo sentía que no tenía suficiente visión general al estudiar, pero desde que comencé a usar Knowunity, eso ya no es un problema – subo mi contenido y siempre encuentro resúmenes útiles en la plataforma, lo que hace mi aprendizaje mucho más fácil.
David K
usuario de iOS
¡La app es buenísima! Sólo tengo que introducir el tema en la barra de búsqueda y recibo la respuesta muy rápido. No tengo que ver 10 vídeos de YouTube para entender algo, así que me ahorro tiempo. ¡Muy recomendable!
Sara
usuaria de Android
En el instituto era muy malo en matemáticas, pero gracias a la app, ahora saco mejores notas. Os agradezco mucho que hayáis creado la aplicación.
Roberto
usuario de Android
Solía ser realmente difícil recopilar toda la información para mis presentaciones. Pero desde que comencé a usar Knowunity, solo subo mis apuntes y encuentro increíbles resúmenes de otros – ¡hace mi estudio mucho más eficiente!
Julia S
usuaria de Android
Estaba constantemente estresado con todo el material de estudio, pero desde que comencé a usar Knowunity, subo mis cosas y reviso los geniales resúmenes de otros – realmente me ayuda a gestionar todo mejor y es mucho menos estresante.
Marco B
usuario de iOS
LOS QUIZ Y FLASHCARDS SON SÚPER ÚTILES Y ME ENCANTA Knowunity IA. ADEMÁS ES LITERALMENTE COMO CHATGPT PERO MÁS LISTO!! ME AYUDÓ TAMBIÉN CON MIS PROBLEMAS DE MÁSCARA!! Y CON MIS ASIGNATURAS DE VERDAD! OBVIO 😍😁😲🤑💗✨🎀😮
Sarah L
usuaria de Android
Antes pasaba horas buscando en Google materiales escolares, pero ahora solo subo mis cosas a Knowunity y reviso los útiles resúmenes de otros - me siento mucho más seguro al prepararme para los exámenes.
Paul T
usuario de iOS
La app es muy fácil de usar y está muy bien diseñada. Hasta ahora he encontrado todo lo que estaba buscando y he podido aprender mucho de las presentaciones. Definitivamente utilizaré la aplicación para un examen de clase. Y, por supuesto, también me sirve mucho de inspiración.
Pablo
usuario de iOS
Esta app es realmente genial. Hay tantos apuntes de clase y ayuda [...]. Tengo problemas con matemáticas, por ejemplo, y la aplicación tiene muchas opciones de ayuda. Gracias a Knowunity, he mejorado en mates. Se la recomiendo a todo el mundo.
Elena
usuaria de Android
Vaya, estoy realmente sorprendida. Acabo de probar la app porque la he visto anunciada muchas veces y me he quedado absolutamente alucinada. Esta app es LA AYUDA que quieres para el insti y, sobre todo, ofrece muchísimas cosas, como ejercicios y hojas informativas, que a mí personalmente me han sido MUY útiles.
Ana
usuaria de iOS
Solía tener problemas para completar mis tareas a tiempo hasta que descubrí Knowunity, que no solo facilita subir mi propio contenido sino que también proporciona excelentes resúmenes que hacen mi trabajo más rápido y eficiente.
Thomas R
usuario de iOS
Siempre era un desafío encontrar toda la información importante para mis tareas – desde que comencé a usar Knowunity, puedo simplemente subir mi contenido y beneficiarme de los resúmenes de otros, lo que me ayuda mucho con la organización.
Lisa M
usuaria de Android
A menudo sentía que no tenía suficiente visión general al estudiar, pero desde que comencé a usar Knowunity, eso ya no es un problema – subo mi contenido y siempre encuentro resúmenes útiles en la plataforma, lo que hace mi aprendizaje mucho más fácil.
David K
usuario de iOS
¡La app es buenísima! Sólo tengo que introducir el tema en la barra de búsqueda y recibo la respuesta muy rápido. No tengo que ver 10 vídeos de YouTube para entender algo, así que me ahorro tiempo. ¡Muy recomendable!
Sara
usuaria de Android
En el instituto era muy malo en matemáticas, pero gracias a la app, ahora saco mejores notas. Os agradezco mucho que hayáis creado la aplicación.
Roberto
usuario de Android
Solía ser realmente difícil recopilar toda la información para mis presentaciones. Pero desde que comencé a usar Knowunity, solo subo mis apuntes y encuentro increíbles resúmenes de otros – ¡hace mi estudio mucho más eficiente!
Julia S
usuaria de Android
Estaba constantemente estresado con todo el material de estudio, pero desde que comencé a usar Knowunity, subo mis cosas y reviso los geniales resúmenes de otros – realmente me ayuda a gestionar todo mejor y es mucho menos estresante.
Marco B
usuario de iOS
LOS QUIZ Y FLASHCARDS SON SÚPER ÚTILES Y ME ENCANTA Knowunity IA. ADEMÁS ES LITERALMENTE COMO CHATGPT PERO MÁS LISTO!! ME AYUDÓ TAMBIÉN CON MIS PROBLEMAS DE MÁSCARA!! Y CON MIS ASIGNATURAS DE VERDAD! OBVIO 😍😁😲🤑💗✨🎀😮
Sarah L
usuaria de Android
Antes pasaba horas buscando en Google materiales escolares, pero ahora solo subo mis cosas a Knowunity y reviso los útiles resúmenes de otros - me siento mucho más seguro al prepararme para los exámenes.
Paul T
usuario de iOS