Las integrales son una herramienta matemática fundamental que te permite... Mostrar más
Inscríbete para ver los apuntes¡Es gratis!
Acceso a todos los documentos
Mejora tus notas
Únete a millones de estudiantes
Knowunity AI
Asignaturas
Triangle Congruence and Similarity Theorems
Triangle Properties and Classification
Linear Equations and Graphs
Geometric Angle Relationships
Trigonometric Functions and Identities
Equation Solving Techniques
Circle Geometry Fundamentals
Division Operations and Methods
Basic Differentiation Rules
Exponent and Logarithm Properties
Mostrar todos los temas
Human Organ Systems
Reproductive Cell Cycles
Biological Sciences Subdisciplines
Cellular Energy Metabolism
Autotrophic Energy Processes
Inheritance Patterns and Principles
Biomolecular Structure and Organization
Cell Cycle and Division Mechanics
Cellular Organization and Development
Biological Structural Organization
Mostrar todos los temas
Chemical Sciences and Applications
Atomic Structure and Composition
Molecular Electron Structure Representation
Atomic Electron Behavior
Matter Properties and Water
Mole Concept and Calculations
Gas Laws and Behavior
Periodic Table Organization
Chemical Thermodynamics Fundamentals
Chemical Bond Types and Properties
Mostrar todos los temas
European Renaissance and Enlightenment
European Cultural Movements 800-1920
American Revolution Era 1763-1797
American Civil War 1861-1865
Global Imperial Systems
Mongol and Chinese Dynasties
U.S. Presidents and World Leaders
Historical Sources and Documentation
World Wars Era and Impact
World Religious Systems
Mostrar todos los temas
Classic and Contemporary Novels
Literary Character Analysis
Rhetorical Theory and Practice
Classic Literary Narratives
Reading Analysis and Interpretation
Narrative Structure and Techniques
English Language Components
Influential English-Language Authors
Basic Sentence Structure
Narrative Voice and Perspective
Mostrar todos los temas
78
•
Actualizado Apr 10, 2026
•
Yeferson Gallego Mosquera
@efersonallegoosquera_5dyk
Las integrales son una herramienta matemática fundamental que te permite... Mostrar más






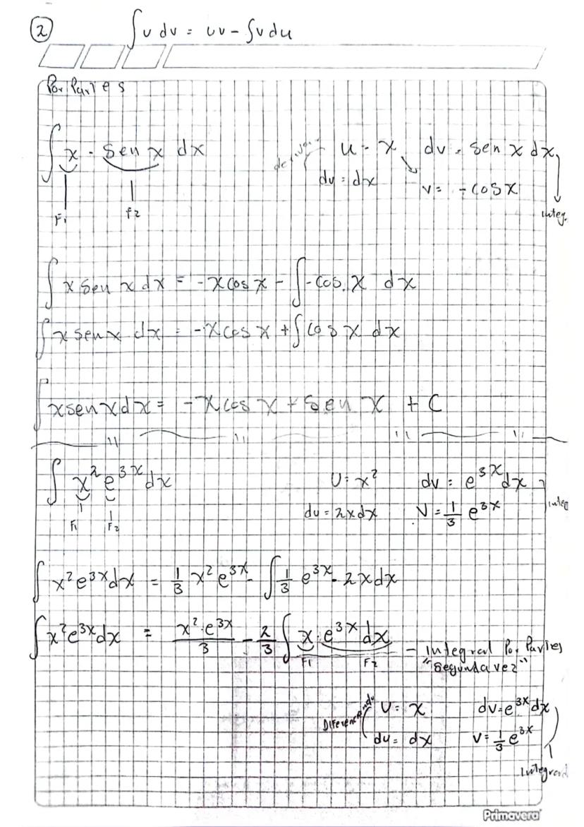
La integración por partes es una técnica poderosa para resolver integrales donde aparecen productos de funciones. La fórmula clave es:
\int u \cdot dv = u \cdot v - \int v \cdot du
Donde debes identificar qué parte de la integral será "u" y qué parte será "dv". Esta técnica es especialmente útil cuando tienes productos como "x·sen(x)".
Para integrales como , puedes usar sustitución haciendo u = x³+5, lo que transforma la integral en algo más sencillo de resolver. El resultado es .
💡 Consejo práctico: Cuando veas productos de funciones (como x·sen x), piensa en integración por partes. Cuando veas composiciones complejas, considera la sustitución.

Veamos cómo aplicar la integración por partes a :
Para integrales más complejas como , la integración por partes debe aplicarse dos veces consecutivas. En este caso identificamos y , calculamos y .
🔍 Atención: Al aplicar integración por partes en funciones exponenciales con polinomios, generalmente es mejor elegir el polinomio como "u" y la exponencial como "dv".

Cuando aplicamos integración por partes múltiples veces, el proceso puede parecer largo pero sigue una estructura clara. Veamos el ejemplo con :
Tras la primera aplicación obtenemos: \int x^2 \cdot e^{3x} , dx = \frac{x^2 e^{3x}}{3} - \frac{2}{3}\int x \cdot e^{3x} , dx
Aplicando nuevamente integración por partes a la segunda integral: \int x^2 \cdot e^{3x} , dx = \frac{x^2 e^{3x}}{3} - \frac{2x e^{3x}}{9} + \frac{2}{27} e^{3x} + C
También podemos aplicar esta técnica con funciones logarítmicas. Por ejemplo, para :
🌟 Recuerda: En estos problemas, la elección correcta de "u" y "dv" simplifica enormemente el proceso. Generalmente eliges como "u" la función que se simplifica al derivar.

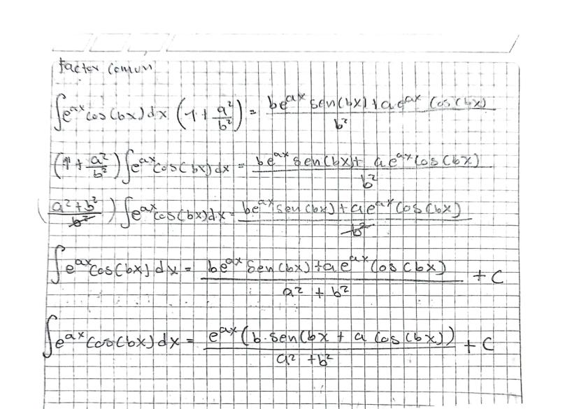
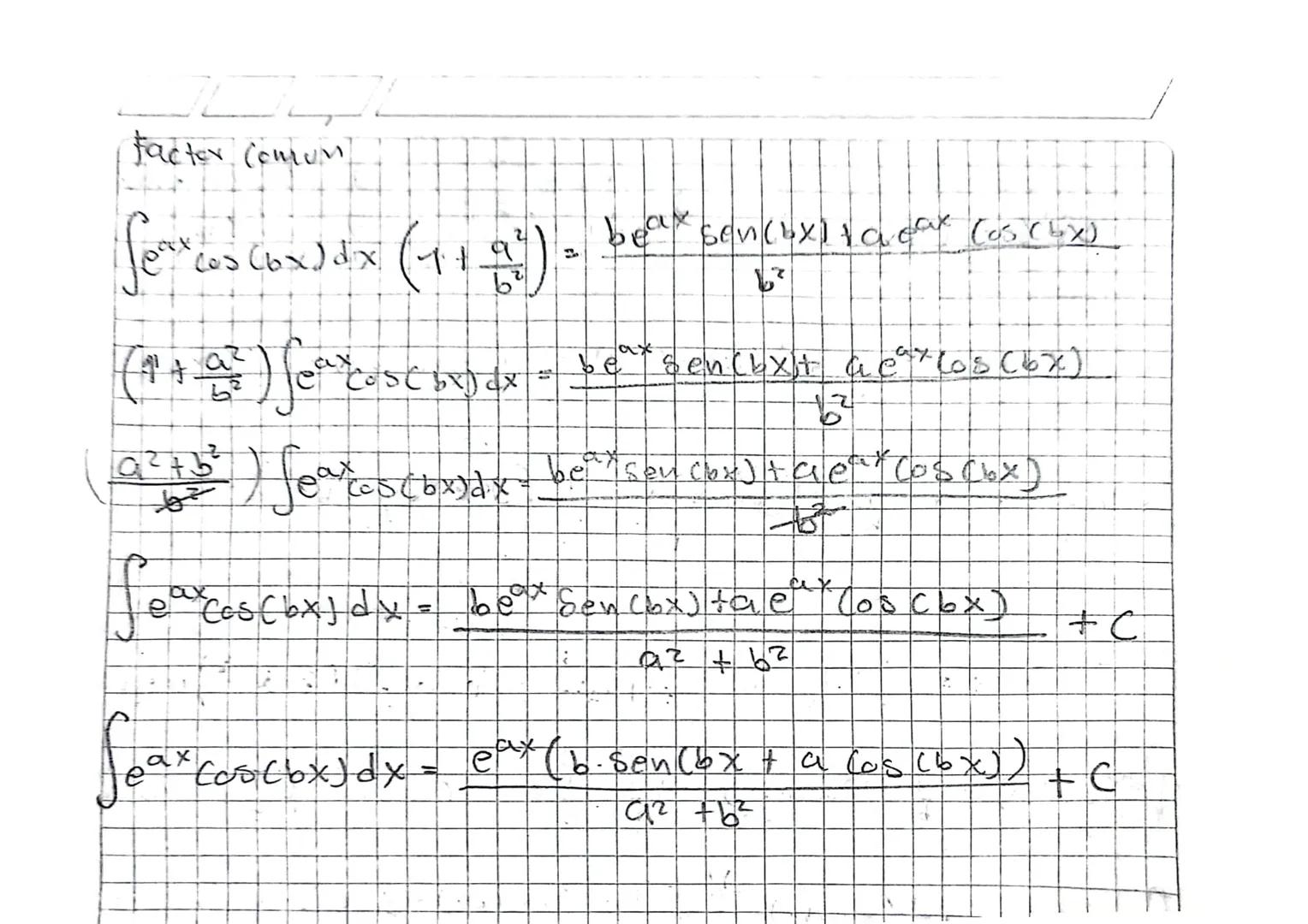
Las integrales que combinan funciones exponenciales y trigonométricas son especialmente interesantes. Para resolver :
Esto nos lleva a: \int e^{ax} \cos(bx) , dx = \frac{1}{b} e^{ax} \sin(bx) - \frac{a}{b} \int e^{ax} \sin(bx) , dx
Ahora debemos calcular la nueva integral . Aplicando integración por partes otra vez, llegamos a un sistema donde la integral original reaparece:
\int e^{ax} \cos(bx) , dx = \frac{1}{b} e^{ax} \sin(bx) + \frac{a}{b^2} e^{ax} \cos(bx) - \frac{a^2}{b^2} \int e^{ax} \cos(bx) , dx
🔄 Interesante: En estas integrales cíclicas, la integral original reaparece, permitiéndonos despejarla como si fuera una ecuación algebraica.

Cuando en una integral aparece la misma integral que estamos calculando (integrales cíclicas), podemos resolverla algebraicamente:
Agrupamos los términos con la integral: \int e^{ax} \cos(bx) , dx + \frac{a^2}{b^2} \int e^{ax} \cos(bx) , dx = \frac{1}{b} e^{ax} \sin(bx) + \frac{a}{b^2} e^{ax} \cos(bx)
Factorizamos para despejar la integral original: \int e^{ax} \cos(bx) , dx \left1 + \frac{a^2}{b^2}\right = \frac{be^{ax} \sin(bx) + a e^{ax} \cos(bx)}{b^2}
El resultado final es: \int e^{ax} \cos(bx) , dx = \frac{e^{ax} }{a^2 + b^2} + C
Esta fórmula es extremadamente útil y aparece frecuentemente en problemas de física, circuitos eléctricos y vibraciones.
💪 Tú puedes dominarlo: Aunque parece complejo, este proceso se vuelve más fácil con la práctica. Recuerda factorizar correctamente y organizar los términos para despejar la integral buscada.
Nuestro compañero de IA está específicamente adaptado a las necesidades de los estudiantes. Basándonos en los millones de contenidos que tenemos en la plataforma, podemos dar a los estudiantes respuestas realmente significativas y relevantes. Pero no se trata solo de respuestas, el compañero también guía a los estudiantes a través de sus retos de aprendizaje diarios, con planes de aprendizaje personalizados, cuestionarios o contenidos en el chat y una personalización del 100% basada en las habilidades y el desarrollo de los estudiantes.
Puedes descargar la app en Google Play Store y Apple App Store.
¡Sí lo es! Tienes acceso totalmente gratuito a todo el contenido de la app, puedes chatear con otros alumnos y recibir ayuda inmeditamente. Puedes ganar dinero utilizando la aplicación, que te permitirá acceder a determinadas funciones.
Números enteros y operaciones entre números enteros (Suma, Resta, Multiplicación y División)
App Store
Google Play
La app es muy fácil de usar y está muy bien diseñada. Hasta ahora he encontrado todo lo que estaba buscando y he podido aprender mucho de las presentaciones. Definitivamente utilizaré la aplicación para un examen de clase. Y, por supuesto, también me sirve mucho de inspiración.
Pablo
usuario de iOS
Esta app es realmente genial. Hay tantos apuntes de clase y ayuda [...]. Tengo problemas con matemáticas, por ejemplo, y la aplicación tiene muchas opciones de ayuda. Gracias a Knowunity, he mejorado en mates. Se la recomiendo a todo el mundo.
Elena
usuaria de Android
Vaya, estoy realmente sorprendida. Acabo de probar la app porque la he visto anunciada muchas veces y me he quedado absolutamente alucinada. Esta app es LA AYUDA que quieres para el insti y, sobre todo, ofrece muchísimas cosas, como ejercicios y hojas informativas, que a mí personalmente me han sido MUY útiles.
Ana
usuaria de iOS
Solía tener problemas para completar mis tareas a tiempo hasta que descubrí Knowunity, que no solo facilita subir mi propio contenido sino que también proporciona excelentes resúmenes que hacen mi trabajo más rápido y eficiente.
Thomas R
usuario de iOS
Siempre era un desafío encontrar toda la información importante para mis tareas – desde que comencé a usar Knowunity, puedo simplemente subir mi contenido y beneficiarme de los resúmenes de otros, lo que me ayuda mucho con la organización.
Lisa M
usuaria de Android
A menudo sentía que no tenía suficiente visión general al estudiar, pero desde que comencé a usar Knowunity, eso ya no es un problema – subo mi contenido y siempre encuentro resúmenes útiles en la plataforma, lo que hace mi aprendizaje mucho más fácil.
David K
usuario de iOS
¡La app es buenísima! Sólo tengo que introducir el tema en la barra de búsqueda y recibo la respuesta muy rápido. No tengo que ver 10 vídeos de YouTube para entender algo, así que me ahorro tiempo. ¡Muy recomendable!
Sara
usuaria de Android
En el instituto era muy malo en matemáticas, pero gracias a la app, ahora saco mejores notas. Os agradezco mucho que hayáis creado la aplicación.
Roberto
usuario de Android
Solía ser realmente difícil recopilar toda la información para mis presentaciones. Pero desde que comencé a usar Knowunity, solo subo mis apuntes y encuentro increíbles resúmenes de otros – ¡hace mi estudio mucho más eficiente!
Julia S
usuaria de Android
Estaba constantemente estresado con todo el material de estudio, pero desde que comencé a usar Knowunity, subo mis cosas y reviso los geniales resúmenes de otros – realmente me ayuda a gestionar todo mejor y es mucho menos estresante.
Marco B
usuario de iOS
LOS QUIZ Y FLASHCARDS SON SÚPER ÚTILES Y ME ENCANTA Knowunity IA. ADEMÁS ES LITERALMENTE COMO CHATGPT PERO MÁS LISTO!! ME AYUDÓ TAMBIÉN CON MIS PROBLEMAS DE MÁSCARA!! Y CON MIS ASIGNATURAS DE VERDAD! OBVIO 😍😁😲🤑💗✨🎀😮
Sarah L
usuaria de Android
Antes pasaba horas buscando en Google materiales escolares, pero ahora solo subo mis cosas a Knowunity y reviso los útiles resúmenes de otros - me siento mucho más seguro al prepararme para los exámenes.
Paul T
usuario de iOS
La app es muy fácil de usar y está muy bien diseñada. Hasta ahora he encontrado todo lo que estaba buscando y he podido aprender mucho de las presentaciones. Definitivamente utilizaré la aplicación para un examen de clase. Y, por supuesto, también me sirve mucho de inspiración.
Pablo
usuario de iOS
Esta app es realmente genial. Hay tantos apuntes de clase y ayuda [...]. Tengo problemas con matemáticas, por ejemplo, y la aplicación tiene muchas opciones de ayuda. Gracias a Knowunity, he mejorado en mates. Se la recomiendo a todo el mundo.
Elena
usuaria de Android
Vaya, estoy realmente sorprendida. Acabo de probar la app porque la he visto anunciada muchas veces y me he quedado absolutamente alucinada. Esta app es LA AYUDA que quieres para el insti y, sobre todo, ofrece muchísimas cosas, como ejercicios y hojas informativas, que a mí personalmente me han sido MUY útiles.
Ana
usuaria de iOS
Solía tener problemas para completar mis tareas a tiempo hasta que descubrí Knowunity, que no solo facilita subir mi propio contenido sino que también proporciona excelentes resúmenes que hacen mi trabajo más rápido y eficiente.
Thomas R
usuario de iOS
Siempre era un desafío encontrar toda la información importante para mis tareas – desde que comencé a usar Knowunity, puedo simplemente subir mi contenido y beneficiarme de los resúmenes de otros, lo que me ayuda mucho con la organización.
Lisa M
usuaria de Android
A menudo sentía que no tenía suficiente visión general al estudiar, pero desde que comencé a usar Knowunity, eso ya no es un problema – subo mi contenido y siempre encuentro resúmenes útiles en la plataforma, lo que hace mi aprendizaje mucho más fácil.
David K
usuario de iOS
¡La app es buenísima! Sólo tengo que introducir el tema en la barra de búsqueda y recibo la respuesta muy rápido. No tengo que ver 10 vídeos de YouTube para entender algo, así que me ahorro tiempo. ¡Muy recomendable!
Sara
usuaria de Android
En el instituto era muy malo en matemáticas, pero gracias a la app, ahora saco mejores notas. Os agradezco mucho que hayáis creado la aplicación.
Roberto
usuario de Android
Solía ser realmente difícil recopilar toda la información para mis presentaciones. Pero desde que comencé a usar Knowunity, solo subo mis apuntes y encuentro increíbles resúmenes de otros – ¡hace mi estudio mucho más eficiente!
Julia S
usuaria de Android
Estaba constantemente estresado con todo el material de estudio, pero desde que comencé a usar Knowunity, subo mis cosas y reviso los geniales resúmenes de otros – realmente me ayuda a gestionar todo mejor y es mucho menos estresante.
Marco B
usuario de iOS
LOS QUIZ Y FLASHCARDS SON SÚPER ÚTILES Y ME ENCANTA Knowunity IA. ADEMÁS ES LITERALMENTE COMO CHATGPT PERO MÁS LISTO!! ME AYUDÓ TAMBIÉN CON MIS PROBLEMAS DE MÁSCARA!! Y CON MIS ASIGNATURAS DE VERDAD! OBVIO 😍😁😲🤑💗✨🎀😮
Sarah L
usuaria de Android
Antes pasaba horas buscando en Google materiales escolares, pero ahora solo subo mis cosas a Knowunity y reviso los útiles resúmenes de otros - me siento mucho más seguro al prepararme para los exámenes.
Paul T
usuario de iOS
Yeferson Gallego Mosquera
@efersonallegoosquera_5dyk
Las integrales son una herramienta matemática fundamental que te permite calcular áreas, volúmenes y resolver problemas de física. En este resumen aprenderemos técnicas avanzadas de integración que te ayudarán a resolver problemas complejos en el cálculo integral.

Acceso a todos los documentos
Mejora tus notas
Únete a millones de estudiantes
La integración por partes es una técnica poderosa para resolver integrales donde aparecen productos de funciones. La fórmula clave es:
\int u \cdot dv = u \cdot v - \int v \cdot du
Donde debes identificar qué parte de la integral será "u" y qué parte será "dv". Esta técnica es especialmente útil cuando tienes productos como "x·sen(x)".
Para integrales como , puedes usar sustitución haciendo u = x³+5, lo que transforma la integral en algo más sencillo de resolver. El resultado es .
💡 Consejo práctico: Cuando veas productos de funciones (como x·sen x), piensa en integración por partes. Cuando veas composiciones complejas, considera la sustitución.

Acceso a todos los documentos
Mejora tus notas
Únete a millones de estudiantes
Veamos cómo aplicar la integración por partes a :
Para integrales más complejas como , la integración por partes debe aplicarse dos veces consecutivas. En este caso identificamos y , calculamos y .
🔍 Atención: Al aplicar integración por partes en funciones exponenciales con polinomios, generalmente es mejor elegir el polinomio como "u" y la exponencial como "dv".

Acceso a todos los documentos
Mejora tus notas
Únete a millones de estudiantes
Cuando aplicamos integración por partes múltiples veces, el proceso puede parecer largo pero sigue una estructura clara. Veamos el ejemplo con :
Tras la primera aplicación obtenemos: \int x^2 \cdot e^{3x} , dx = \frac{x^2 e^{3x}}{3} - \frac{2}{3}\int x \cdot e^{3x} , dx
Aplicando nuevamente integración por partes a la segunda integral: \int x^2 \cdot e^{3x} , dx = \frac{x^2 e^{3x}}{3} - \frac{2x e^{3x}}{9} + \frac{2}{27} e^{3x} + C
También podemos aplicar esta técnica con funciones logarítmicas. Por ejemplo, para :
🌟 Recuerda: En estos problemas, la elección correcta de "u" y "dv" simplifica enormemente el proceso. Generalmente eliges como "u" la función que se simplifica al derivar.

Acceso a todos los documentos
Mejora tus notas
Únete a millones de estudiantes
Las integrales que combinan funciones exponenciales y trigonométricas son especialmente interesantes. Para resolver :
Esto nos lleva a: \int e^{ax} \cos(bx) , dx = \frac{1}{b} e^{ax} \sin(bx) - \frac{a}{b} \int e^{ax} \sin(bx) , dx
Ahora debemos calcular la nueva integral . Aplicando integración por partes otra vez, llegamos a un sistema donde la integral original reaparece:
\int e^{ax} \cos(bx) , dx = \frac{1}{b} e^{ax} \sin(bx) + \frac{a}{b^2} e^{ax} \cos(bx) - \frac{a^2}{b^2} \int e^{ax} \cos(bx) , dx
🔄 Interesante: En estas integrales cíclicas, la integral original reaparece, permitiéndonos despejarla como si fuera una ecuación algebraica.

Acceso a todos los documentos
Mejora tus notas
Únete a millones de estudiantes
Cuando en una integral aparece la misma integral que estamos calculando (integrales cíclicas), podemos resolverla algebraicamente:
Agrupamos los términos con la integral: \int e^{ax} \cos(bx) , dx + \frac{a^2}{b^2} \int e^{ax} \cos(bx) , dx = \frac{1}{b} e^{ax} \sin(bx) + \frac{a}{b^2} e^{ax} \cos(bx)
Factorizamos para despejar la integral original: \int e^{ax} \cos(bx) , dx \left1 + \frac{a^2}{b^2}\right = \frac{be^{ax} \sin(bx) + a e^{ax} \cos(bx)}{b^2}
El resultado final es: \int e^{ax} \cos(bx) , dx = \frac{e^{ax} }{a^2 + b^2} + C
Esta fórmula es extremadamente útil y aparece frecuentemente en problemas de física, circuitos eléctricos y vibraciones.
💪 Tú puedes dominarlo: Aunque parece complejo, este proceso se vuelve más fácil con la práctica. Recuerda factorizar correctamente y organizar los términos para despejar la integral buscada.
Nuestro compañero de IA está específicamente adaptado a las necesidades de los estudiantes. Basándonos en los millones de contenidos que tenemos en la plataforma, podemos dar a los estudiantes respuestas realmente significativas y relevantes. Pero no se trata solo de respuestas, el compañero también guía a los estudiantes a través de sus retos de aprendizaje diarios, con planes de aprendizaje personalizados, cuestionarios o contenidos en el chat y una personalización del 100% basada en las habilidades y el desarrollo de los estudiantes.
Puedes descargar la app en Google Play Store y Apple App Store.
¡Sí lo es! Tienes acceso totalmente gratuito a todo el contenido de la app, puedes chatear con otros alumnos y recibir ayuda inmeditamente. Puedes ganar dinero utilizando la aplicación, que te permitirá acceder a determinadas funciones.
1
Herramientas Inteligentes NUEVO
Transforma estos apuntes en: ✓ 50+ Preguntas de Práctica ✓ Fichas Interactivas ✓ Examen Completo de Práctica ✓ Esquemas de Ensayo
Números enteros y operaciones entre números enteros (Suma, Resta, Multiplicación y División)
App Store
Google Play
La app es muy fácil de usar y está muy bien diseñada. Hasta ahora he encontrado todo lo que estaba buscando y he podido aprender mucho de las presentaciones. Definitivamente utilizaré la aplicación para un examen de clase. Y, por supuesto, también me sirve mucho de inspiración.
Pablo
usuario de iOS
Esta app es realmente genial. Hay tantos apuntes de clase y ayuda [...]. Tengo problemas con matemáticas, por ejemplo, y la aplicación tiene muchas opciones de ayuda. Gracias a Knowunity, he mejorado en mates. Se la recomiendo a todo el mundo.
Elena
usuaria de Android
Vaya, estoy realmente sorprendida. Acabo de probar la app porque la he visto anunciada muchas veces y me he quedado absolutamente alucinada. Esta app es LA AYUDA que quieres para el insti y, sobre todo, ofrece muchísimas cosas, como ejercicios y hojas informativas, que a mí personalmente me han sido MUY útiles.
Ana
usuaria de iOS
Solía tener problemas para completar mis tareas a tiempo hasta que descubrí Knowunity, que no solo facilita subir mi propio contenido sino que también proporciona excelentes resúmenes que hacen mi trabajo más rápido y eficiente.
Thomas R
usuario de iOS
Siempre era un desafío encontrar toda la información importante para mis tareas – desde que comencé a usar Knowunity, puedo simplemente subir mi contenido y beneficiarme de los resúmenes de otros, lo que me ayuda mucho con la organización.
Lisa M
usuaria de Android
A menudo sentía que no tenía suficiente visión general al estudiar, pero desde que comencé a usar Knowunity, eso ya no es un problema – subo mi contenido y siempre encuentro resúmenes útiles en la plataforma, lo que hace mi aprendizaje mucho más fácil.
David K
usuario de iOS
¡La app es buenísima! Sólo tengo que introducir el tema en la barra de búsqueda y recibo la respuesta muy rápido. No tengo que ver 10 vídeos de YouTube para entender algo, así que me ahorro tiempo. ¡Muy recomendable!
Sara
usuaria de Android
En el instituto era muy malo en matemáticas, pero gracias a la app, ahora saco mejores notas. Os agradezco mucho que hayáis creado la aplicación.
Roberto
usuario de Android
Solía ser realmente difícil recopilar toda la información para mis presentaciones. Pero desde que comencé a usar Knowunity, solo subo mis apuntes y encuentro increíbles resúmenes de otros – ¡hace mi estudio mucho más eficiente!
Julia S
usuaria de Android
Estaba constantemente estresado con todo el material de estudio, pero desde que comencé a usar Knowunity, subo mis cosas y reviso los geniales resúmenes de otros – realmente me ayuda a gestionar todo mejor y es mucho menos estresante.
Marco B
usuario de iOS
LOS QUIZ Y FLASHCARDS SON SÚPER ÚTILES Y ME ENCANTA Knowunity IA. ADEMÁS ES LITERALMENTE COMO CHATGPT PERO MÁS LISTO!! ME AYUDÓ TAMBIÉN CON MIS PROBLEMAS DE MÁSCARA!! Y CON MIS ASIGNATURAS DE VERDAD! OBVIO 😍😁😲🤑💗✨🎀😮
Sarah L
usuaria de Android
Antes pasaba horas buscando en Google materiales escolares, pero ahora solo subo mis cosas a Knowunity y reviso los útiles resúmenes de otros - me siento mucho más seguro al prepararme para los exámenes.
Paul T
usuario de iOS
La app es muy fácil de usar y está muy bien diseñada. Hasta ahora he encontrado todo lo que estaba buscando y he podido aprender mucho de las presentaciones. Definitivamente utilizaré la aplicación para un examen de clase. Y, por supuesto, también me sirve mucho de inspiración.
Pablo
usuario de iOS
Esta app es realmente genial. Hay tantos apuntes de clase y ayuda [...]. Tengo problemas con matemáticas, por ejemplo, y la aplicación tiene muchas opciones de ayuda. Gracias a Knowunity, he mejorado en mates. Se la recomiendo a todo el mundo.
Elena
usuaria de Android
Vaya, estoy realmente sorprendida. Acabo de probar la app porque la he visto anunciada muchas veces y me he quedado absolutamente alucinada. Esta app es LA AYUDA que quieres para el insti y, sobre todo, ofrece muchísimas cosas, como ejercicios y hojas informativas, que a mí personalmente me han sido MUY útiles.
Ana
usuaria de iOS
Solía tener problemas para completar mis tareas a tiempo hasta que descubrí Knowunity, que no solo facilita subir mi propio contenido sino que también proporciona excelentes resúmenes que hacen mi trabajo más rápido y eficiente.
Thomas R
usuario de iOS
Siempre era un desafío encontrar toda la información importante para mis tareas – desde que comencé a usar Knowunity, puedo simplemente subir mi contenido y beneficiarme de los resúmenes de otros, lo que me ayuda mucho con la organización.
Lisa M
usuaria de Android
A menudo sentía que no tenía suficiente visión general al estudiar, pero desde que comencé a usar Knowunity, eso ya no es un problema – subo mi contenido y siempre encuentro resúmenes útiles en la plataforma, lo que hace mi aprendizaje mucho más fácil.
David K
usuario de iOS
¡La app es buenísima! Sólo tengo que introducir el tema en la barra de búsqueda y recibo la respuesta muy rápido. No tengo que ver 10 vídeos de YouTube para entender algo, así que me ahorro tiempo. ¡Muy recomendable!
Sara
usuaria de Android
En el instituto era muy malo en matemáticas, pero gracias a la app, ahora saco mejores notas. Os agradezco mucho que hayáis creado la aplicación.
Roberto
usuario de Android
Solía ser realmente difícil recopilar toda la información para mis presentaciones. Pero desde que comencé a usar Knowunity, solo subo mis apuntes y encuentro increíbles resúmenes de otros – ¡hace mi estudio mucho más eficiente!
Julia S
usuaria de Android
Estaba constantemente estresado con todo el material de estudio, pero desde que comencé a usar Knowunity, subo mis cosas y reviso los geniales resúmenes de otros – realmente me ayuda a gestionar todo mejor y es mucho menos estresante.
Marco B
usuario de iOS
LOS QUIZ Y FLASHCARDS SON SÚPER ÚTILES Y ME ENCANTA Knowunity IA. ADEMÁS ES LITERALMENTE COMO CHATGPT PERO MÁS LISTO!! ME AYUDÓ TAMBIÉN CON MIS PROBLEMAS DE MÁSCARA!! Y CON MIS ASIGNATURAS DE VERDAD! OBVIO 😍😁😲🤑💗✨🎀😮
Sarah L
usuaria de Android
Antes pasaba horas buscando en Google materiales escolares, pero ahora solo subo mis cosas a Knowunity y reviso los útiles resúmenes de otros - me siento mucho más seguro al prepararme para los exámenes.
Paul T
usuario de iOS