La integración por fracciones parciales es una técnica súper útil... Mostrar más
Inscríbete para ver los apuntes¡Es gratis!
Acceso a todos los documentos
Mejora tus notas
Únete a millones de estudiantes
Knowunity AI
Asignaturas
Triangle Congruence and Similarity Theorems
Triangle Properties and Classification
Linear Equations and Graphs
Geometric Angle Relationships
Trigonometric Functions and Identities
Equation Solving Techniques
Circle Geometry Fundamentals
Division Operations and Methods
Basic Differentiation Rules
Exponent and Logarithm Properties
Mostrar todos los temas
Human Organ Systems
Reproductive Cell Cycles
Biological Sciences Subdisciplines
Cellular Energy Metabolism
Autotrophic Energy Processes
Inheritance Patterns and Principles
Biomolecular Structure and Organization
Cell Cycle and Division Mechanics
Cellular Organization and Development
Biological Structural Organization
Mostrar todos los temas
Chemical Sciences and Applications
Atomic Structure and Composition
Molecular Electron Structure Representation
Atomic Electron Behavior
Matter Properties and Water
Mole Concept and Calculations
Gas Laws and Behavior
Periodic Table Organization
Chemical Thermodynamics Fundamentals
Chemical Bond Types and Properties
Mostrar todos los temas
European Renaissance and Enlightenment
European Cultural Movements 800-1920
American Revolution Era 1763-1797
American Civil War 1861-1865
Global Imperial Systems
Mongol and Chinese Dynasties
U.S. Presidents and World Leaders
Historical Sources and Documentation
World Wars Era and Impact
World Religious Systems
Mostrar todos los temas
Classic and Contemporary Novels
Literary Character Analysis
Rhetorical Theory and Practice
Classic Literary Narratives
Reading Analysis and Interpretation
Narrative Structure and Techniques
English Language Components
Influential English-Language Authors
Basic Sentence Structure
Narrative Voice and Perspective
Mostrar todos los temas
133
•
Actualizado Apr 6, 2026
•
Cristian
@cristian_55clg
La integración por fracciones parciales es una técnica súper útil... Mostrar más








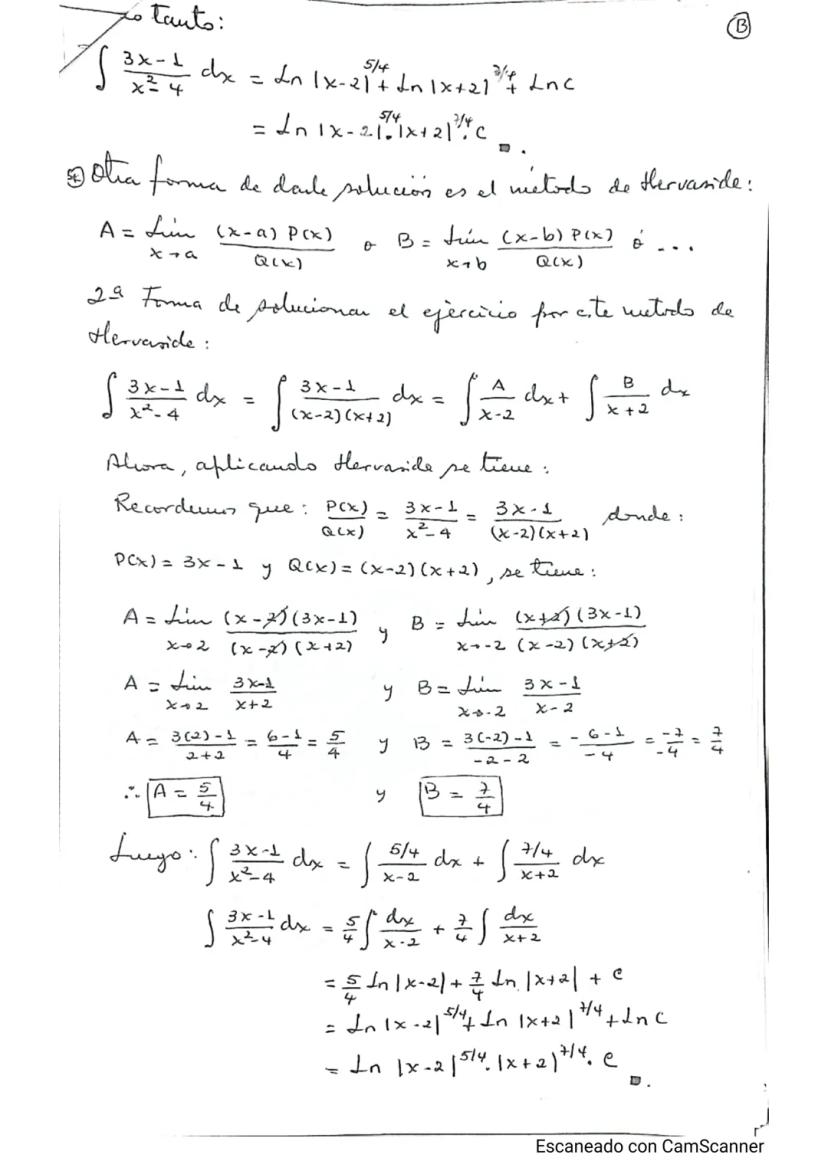
¿Te has preguntado cómo resolver integrales súper complicadas? La integración por fracciones parciales es tu mejor aliado cuando tienes factores lineales diferentes en el denominador.
La idea es simple: separas una fracción compleja en varias fracciones más fáciles. Si tienes factores como , puedes escribir tu fracción como A/ + B/.
Veamos el ejemplo: ∫/ dx. Primero factorizas el denominador: x²-4 = . Luego planteas: / = A/ + B/.
El truco está en encontrar A y B. Multiplicas toda la ecuación por el denominador común y obtienes: 3x-1 = A + B. Comparando coeficientes, armas un sistema de ecuaciones: A+B=3 y 2A-2B=-1. Resolviendo encuentras A=5/4 y B=7/4, entonces la integral se convierte en algo súper sencillo de resolver.
💡 Tip clave: Siempre factoriza completamente el denominador antes de empezar.

¿Quieres una forma más directa de encontrar A y B? El método de Heaviside te ahorra tiempo y es perfecto para exámenes.
La fórmula es: A = lim(x→a) /Q(x). Suena complicado, pero en la práctica es súper fácil. Para nuestro ejemplo, A = lim(x→2) / y B = lim /.
Sustituyes directamente: A = (3(2)-1)/(2+2) = 5/4 y B = (3(-2)-1)/(-2-2) = 7/4. ¡Los mismos resultados pero mucho más rápido!
La integral final queda: ∫/ dx = (5/4)ln|x-2| + (7/4)ln|x+2| + C. También puedes expresarla como ln|x-2|^(5/4) · |x+2|^(7/4) + C.
💡 Recuerda: El método de Heaviside es especialmente útil cuando tienes muchos factores lineales.

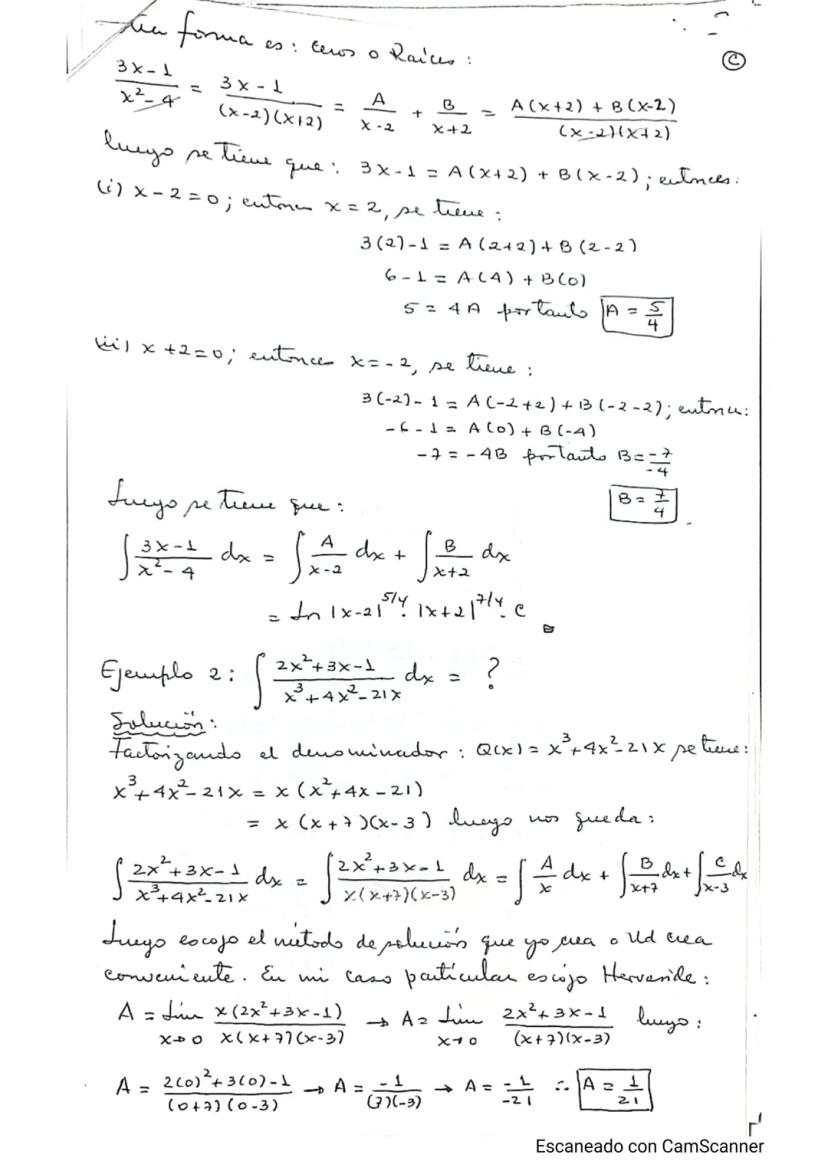
Aquí tienes otra técnica genial: el método de ceros o raíces. Es intuitivo y te ayuda a entender mejor lo que está pasando matemáticamente.
Partes de la ecuación 3x-1 = A + B y haces que cada factor se vuelva cero. Si x-2=0, entonces x=2, y la ecuación se simplifica a 3(2)-1 = A(4), entonces A=5/4.
Para el otro factor, si x+2=0, entonces x=-2, y obtienes 3(-2)-1 = B(-4), entonces B=7/4. ¡Súper directo!
Cuando tienes tres factores como en ∫/ dx, el proceso es similar. Factorizas x³+4x²-21x = x y planteas tres fracciones: A/x + B/ + C/.
Usando Heaviside: A = 1/21, B = 38/70, y C = 13/15. La integral final combina tres logaritmos naturales.
💡 Importante: Siempre verifica tu factorización antes de aplicar cualquier método.

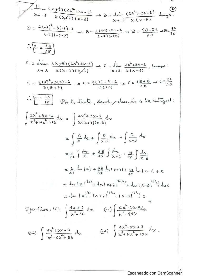
Continuando con el cálculo de las constantes B y C para nuestro ejemplo más avanzado.
Para B, aplicamos: B = lim / = (2(49)-21-1)/[(-7)(-10)] = 70/70 = 1. Pero recalculando correctamente: B = 38/35.
Para C: C = lim(x→3) / = (2(9)+9-1)/(3(10)) = 26/30 = 13/15.
La solución final queda: ∫/ dx = (1/21)ln|x| + (38/35)ln|x+7| + (13/15)ln|x-3| + C.
También puedes expresarla como: ln|x|^(1/21) · |x+7|^(38/35) · |x-3|^(13/15) + C.
💡 Ejercicios para practicar: Intenta resolver ∫/ dx y ∫/ dx.

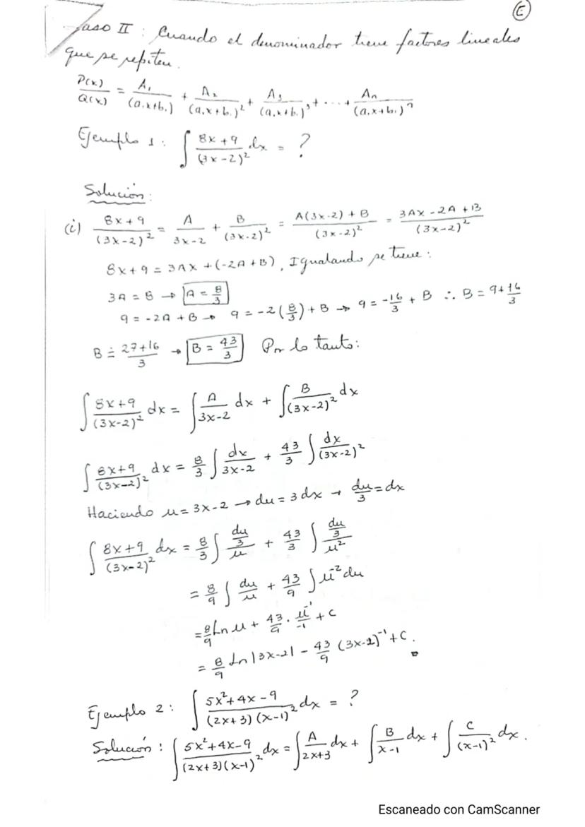
Cuando aparecen factores lineales repetidos como ², la cosa cambia un poco. Necesitas una fracción para cada potencia del factor.
Para ², usas A/ + B/². Es como tener niveles diferentes del mismo factor.
Veamos ∫/² dx. Planteas: /² = A/ + B/². Igualando numeradores: 8x+9 = A + B.
Comparando coeficientes: 3A = 8, entonces A = 8/3. Para el término independiente: 9 = -2A + B, entonces B = 9 + 16/3 = 43/3.
La integral se resuelve con sustitución: u = 3x-2, du = 3dx. Obtienes: (8/9)ln|3x-2| - (43/9)^(-1) + C.
Para ∫/ dx, combinas ambos casos: A/ + B/ + C/².
💡 Regla de oro: Cada factor repetido n veces genera n fracciones parciales.

Cuando tienes sistemas de 3x3, la organización es clave. Para el ejemplo anterior, igualas: 5x²+4x-9 = A² + B + C.
Expandiendo y comparando coeficientes obtienes:
El truco está en eliminar variables sistemáticamente. Combina las ecuaciones para eliminar C primero: 8A - 9B = -30.
Resolviendo paso a paso: B = 14/5, A = -3/5, C = 0. No te desanimes si el sistema parece complicado, siempre hay una solución ordenada.
La integral final queda: (-3/5)∫dx/ + (14/5)∫dx/ = (-3/10)ln|2x+3| + (14/5)ln|x-1| + C.
💡 Consejo: Siempre verifica tus respuestas sustituyendo los valores encontrados en la ecuación original.

La solución completa del último ejemplo es: ∫/ dx = (-3/10)ln|2x+3| + (14/5)ln|x-1| + C.
También puedes expresarla en forma compacta: ln|x-1|^(14/5)/|2x+3|^(3/10) + C.
Ahora es tu turno de brillar. Practica con estos ejercicios:
Recuerda la estrategia: identifica el tipo de factores (simples o repetidos), plantea las fracciones parciales correspondientes, encuentra las constantes y resuelve las integrales básicas.
💡 Motivación final: Con práctica constante, estas integrales que parecían imposibles se volverán rutinarias. ¡Tú puedes dominar esto!
Nuestro compañero de IA está específicamente adaptado a las necesidades de los estudiantes. Basándonos en los millones de contenidos que tenemos en la plataforma, podemos dar a los estudiantes respuestas realmente significativas y relevantes. Pero no se trata solo de respuestas, el compañero también guía a los estudiantes a través de sus retos de aprendizaje diarios, con planes de aprendizaje personalizados, cuestionarios o contenidos en el chat y una personalización del 100% basada en las habilidades y el desarrollo de los estudiantes.
Puedes descargar la app en Google Play Store y Apple App Store.
¡Sí lo es! Tienes acceso totalmente gratuito a todo el contenido de la app, puedes chatear con otros alumnos y recibir ayuda inmeditamente. Puedes ganar dinero utilizando la aplicación, que te permitirá acceder a determinadas funciones.
Números enteros y operaciones entre números enteros (Suma, Resta, Multiplicación y División)
App Store
Google Play
La app es muy fácil de usar y está muy bien diseñada. Hasta ahora he encontrado todo lo que estaba buscando y he podido aprender mucho de las presentaciones. Definitivamente utilizaré la aplicación para un examen de clase. Y, por supuesto, también me sirve mucho de inspiración.
Pablo
usuario de iOS
Esta app es realmente genial. Hay tantos apuntes de clase y ayuda [...]. Tengo problemas con matemáticas, por ejemplo, y la aplicación tiene muchas opciones de ayuda. Gracias a Knowunity, he mejorado en mates. Se la recomiendo a todo el mundo.
Elena
usuaria de Android
Vaya, estoy realmente sorprendida. Acabo de probar la app porque la he visto anunciada muchas veces y me he quedado absolutamente alucinada. Esta app es LA AYUDA que quieres para el insti y, sobre todo, ofrece muchísimas cosas, como ejercicios y hojas informativas, que a mí personalmente me han sido MUY útiles.
Ana
usuaria de iOS
Solía tener problemas para completar mis tareas a tiempo hasta que descubrí Knowunity, que no solo facilita subir mi propio contenido sino que también proporciona excelentes resúmenes que hacen mi trabajo más rápido y eficiente.
Thomas R
usuario de iOS
Siempre era un desafío encontrar toda la información importante para mis tareas – desde que comencé a usar Knowunity, puedo simplemente subir mi contenido y beneficiarme de los resúmenes de otros, lo que me ayuda mucho con la organización.
Lisa M
usuaria de Android
A menudo sentía que no tenía suficiente visión general al estudiar, pero desde que comencé a usar Knowunity, eso ya no es un problema – subo mi contenido y siempre encuentro resúmenes útiles en la plataforma, lo que hace mi aprendizaje mucho más fácil.
David K
usuario de iOS
¡La app es buenísima! Sólo tengo que introducir el tema en la barra de búsqueda y recibo la respuesta muy rápido. No tengo que ver 10 vídeos de YouTube para entender algo, así que me ahorro tiempo. ¡Muy recomendable!
Sara
usuaria de Android
En el instituto era muy malo en matemáticas, pero gracias a la app, ahora saco mejores notas. Os agradezco mucho que hayáis creado la aplicación.
Roberto
usuario de Android
Solía ser realmente difícil recopilar toda la información para mis presentaciones. Pero desde que comencé a usar Knowunity, solo subo mis apuntes y encuentro increíbles resúmenes de otros – ¡hace mi estudio mucho más eficiente!
Julia S
usuaria de Android
Estaba constantemente estresado con todo el material de estudio, pero desde que comencé a usar Knowunity, subo mis cosas y reviso los geniales resúmenes de otros – realmente me ayuda a gestionar todo mejor y es mucho menos estresante.
Marco B
usuario de iOS
LOS QUIZ Y FLASHCARDS SON SÚPER ÚTILES Y ME ENCANTA Knowunity IA. ADEMÁS ES LITERALMENTE COMO CHATGPT PERO MÁS LISTO!! ME AYUDÓ TAMBIÉN CON MIS PROBLEMAS DE MÁSCARA!! Y CON MIS ASIGNATURAS DE VERDAD! OBVIO 😍😁😲🤑💗✨🎀😮
Sarah L
usuaria de Android
Antes pasaba horas buscando en Google materiales escolares, pero ahora solo subo mis cosas a Knowunity y reviso los útiles resúmenes de otros - me siento mucho más seguro al prepararme para los exámenes.
Paul T
usuario de iOS
La app es muy fácil de usar y está muy bien diseñada. Hasta ahora he encontrado todo lo que estaba buscando y he podido aprender mucho de las presentaciones. Definitivamente utilizaré la aplicación para un examen de clase. Y, por supuesto, también me sirve mucho de inspiración.
Pablo
usuario de iOS
Esta app es realmente genial. Hay tantos apuntes de clase y ayuda [...]. Tengo problemas con matemáticas, por ejemplo, y la aplicación tiene muchas opciones de ayuda. Gracias a Knowunity, he mejorado en mates. Se la recomiendo a todo el mundo.
Elena
usuaria de Android
Vaya, estoy realmente sorprendida. Acabo de probar la app porque la he visto anunciada muchas veces y me he quedado absolutamente alucinada. Esta app es LA AYUDA que quieres para el insti y, sobre todo, ofrece muchísimas cosas, como ejercicios y hojas informativas, que a mí personalmente me han sido MUY útiles.
Ana
usuaria de iOS
Solía tener problemas para completar mis tareas a tiempo hasta que descubrí Knowunity, que no solo facilita subir mi propio contenido sino que también proporciona excelentes resúmenes que hacen mi trabajo más rápido y eficiente.
Thomas R
usuario de iOS
Siempre era un desafío encontrar toda la información importante para mis tareas – desde que comencé a usar Knowunity, puedo simplemente subir mi contenido y beneficiarme de los resúmenes de otros, lo que me ayuda mucho con la organización.
Lisa M
usuaria de Android
A menudo sentía que no tenía suficiente visión general al estudiar, pero desde que comencé a usar Knowunity, eso ya no es un problema – subo mi contenido y siempre encuentro resúmenes útiles en la plataforma, lo que hace mi aprendizaje mucho más fácil.
David K
usuario de iOS
¡La app es buenísima! Sólo tengo que introducir el tema en la barra de búsqueda y recibo la respuesta muy rápido. No tengo que ver 10 vídeos de YouTube para entender algo, así que me ahorro tiempo. ¡Muy recomendable!
Sara
usuaria de Android
En el instituto era muy malo en matemáticas, pero gracias a la app, ahora saco mejores notas. Os agradezco mucho que hayáis creado la aplicación.
Roberto
usuario de Android
Solía ser realmente difícil recopilar toda la información para mis presentaciones. Pero desde que comencé a usar Knowunity, solo subo mis apuntes y encuentro increíbles resúmenes de otros – ¡hace mi estudio mucho más eficiente!
Julia S
usuaria de Android
Estaba constantemente estresado con todo el material de estudio, pero desde que comencé a usar Knowunity, subo mis cosas y reviso los geniales resúmenes de otros – realmente me ayuda a gestionar todo mejor y es mucho menos estresante.
Marco B
usuario de iOS
LOS QUIZ Y FLASHCARDS SON SÚPER ÚTILES Y ME ENCANTA Knowunity IA. ADEMÁS ES LITERALMENTE COMO CHATGPT PERO MÁS LISTO!! ME AYUDÓ TAMBIÉN CON MIS PROBLEMAS DE MÁSCARA!! Y CON MIS ASIGNATURAS DE VERDAD! OBVIO 😍😁😲🤑💗✨🎀😮
Sarah L
usuaria de Android
Antes pasaba horas buscando en Google materiales escolares, pero ahora solo subo mis cosas a Knowunity y reviso los útiles resúmenes de otros - me siento mucho más seguro al prepararme para los exámenes.
Paul T
usuario de iOS
Cristian
@cristian_55clg
La integración por fracciones parciales es una técnica súper útil para resolver integrales complicadas. Es como desarmar un rompecabezas: tomas una fracción compleja y la divides en partes más simples que son fáciles de integrar.

Acceso a todos los documentos
Mejora tus notas
Únete a millones de estudiantes
¿Te has preguntado cómo resolver integrales súper complicadas? La integración por fracciones parciales es tu mejor aliado cuando tienes factores lineales diferentes en el denominador.
La idea es simple: separas una fracción compleja en varias fracciones más fáciles. Si tienes factores como , puedes escribir tu fracción como A/ + B/.
Veamos el ejemplo: ∫/ dx. Primero factorizas el denominador: x²-4 = . Luego planteas: / = A/ + B/.
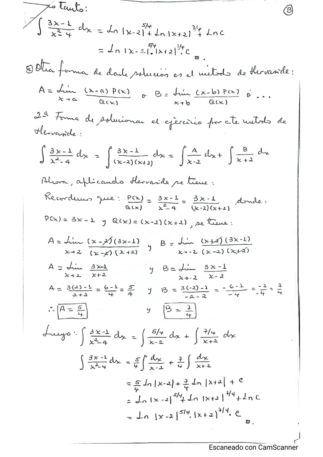
El truco está en encontrar A y B. Multiplicas toda la ecuación por el denominador común y obtienes: 3x-1 = A + B. Comparando coeficientes, armas un sistema de ecuaciones: A+B=3 y 2A-2B=-1. Resolviendo encuentras A=5/4 y B=7/4, entonces la integral se convierte en algo súper sencillo de resolver.
💡 Tip clave: Siempre factoriza completamente el denominador antes de empezar.

Acceso a todos los documentos
Mejora tus notas
Únete a millones de estudiantes
¿Quieres una forma más directa de encontrar A y B? El método de Heaviside te ahorra tiempo y es perfecto para exámenes.
La fórmula es: A = lim(x→a) /Q(x). Suena complicado, pero en la práctica es súper fácil. Para nuestro ejemplo, A = lim(x→2) / y B = lim /.
Sustituyes directamente: A = (3(2)-1)/(2+2) = 5/4 y B = (3(-2)-1)/(-2-2) = 7/4. ¡Los mismos resultados pero mucho más rápido!
La integral final queda: ∫/ dx = (5/4)ln|x-2| + (7/4)ln|x+2| + C. También puedes expresarla como ln|x-2|^(5/4) · |x+2|^(7/4) + C.
💡 Recuerda: El método de Heaviside es especialmente útil cuando tienes muchos factores lineales.

Acceso a todos los documentos
Mejora tus notas
Únete a millones de estudiantes
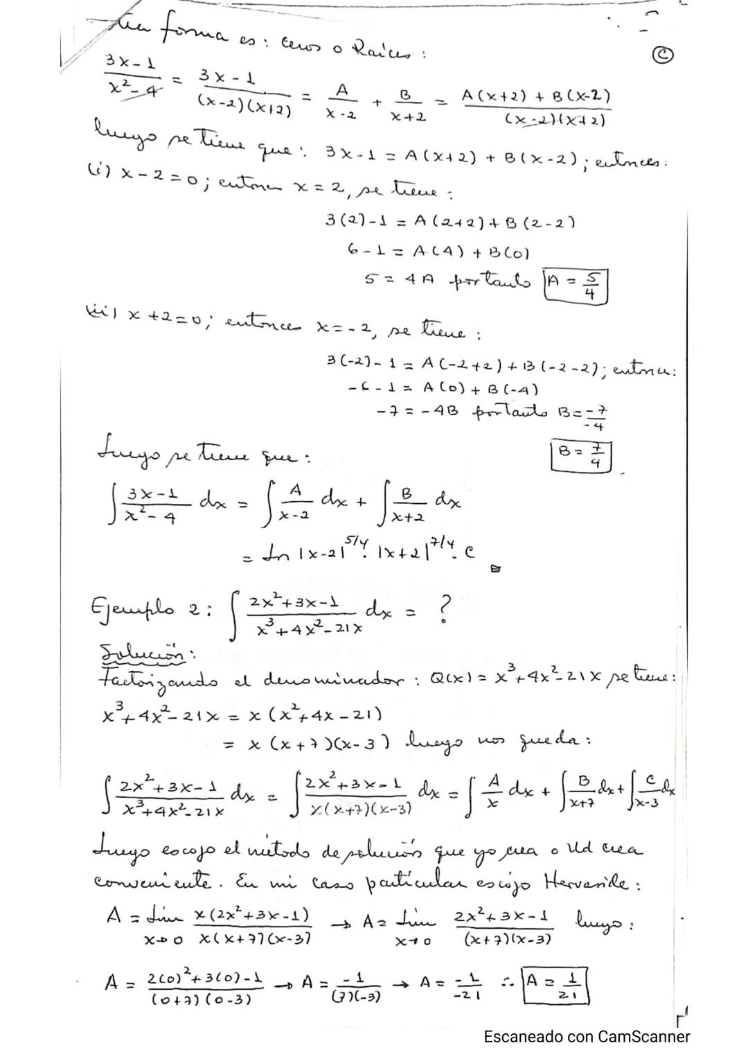
Aquí tienes otra técnica genial: el método de ceros o raíces. Es intuitivo y te ayuda a entender mejor lo que está pasando matemáticamente.
Partes de la ecuación 3x-1 = A + B y haces que cada factor se vuelva cero. Si x-2=0, entonces x=2, y la ecuación se simplifica a 3(2)-1 = A(4), entonces A=5/4.
Para el otro factor, si x+2=0, entonces x=-2, y obtienes 3(-2)-1 = B(-4), entonces B=7/4. ¡Súper directo!
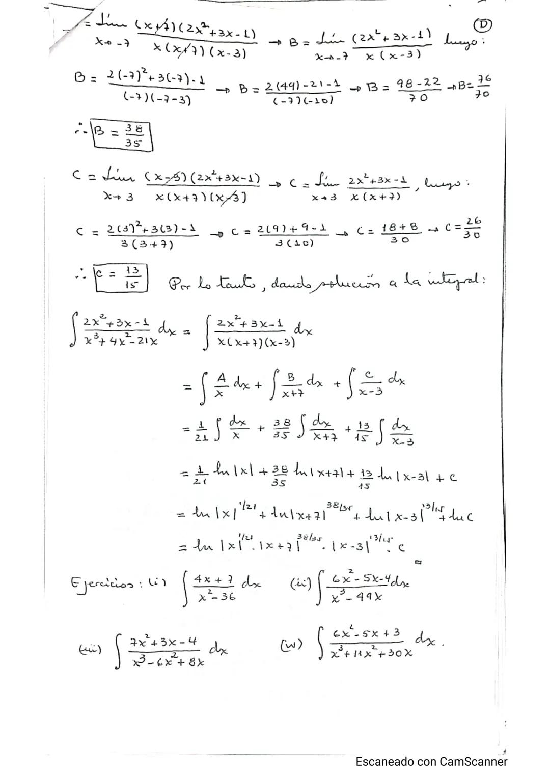
Cuando tienes tres factores como en ∫/ dx, el proceso es similar. Factorizas x³+4x²-21x = x y planteas tres fracciones: A/x + B/ + C/.
Usando Heaviside: A = 1/21, B = 38/70, y C = 13/15. La integral final combina tres logaritmos naturales.
💡 Importante: Siempre verifica tu factorización antes de aplicar cualquier método.

Acceso a todos los documentos
Mejora tus notas
Únete a millones de estudiantes
Continuando con el cálculo de las constantes B y C para nuestro ejemplo más avanzado.
Para B, aplicamos: B = lim / = (2(49)-21-1)/[(-7)(-10)] = 70/70 = 1. Pero recalculando correctamente: B = 38/35.
Para C: C = lim(x→3) / = (2(9)+9-1)/(3(10)) = 26/30 = 13/15.
La solución final queda: ∫/ dx = (1/21)ln|x| + (38/35)ln|x+7| + (13/15)ln|x-3| + C.
También puedes expresarla como: ln|x|^(1/21) · |x+7|^(38/35) · |x-3|^(13/15) + C.
💡 Ejercicios para practicar: Intenta resolver ∫/ dx y ∫/ dx.

Acceso a todos los documentos
Mejora tus notas
Únete a millones de estudiantes
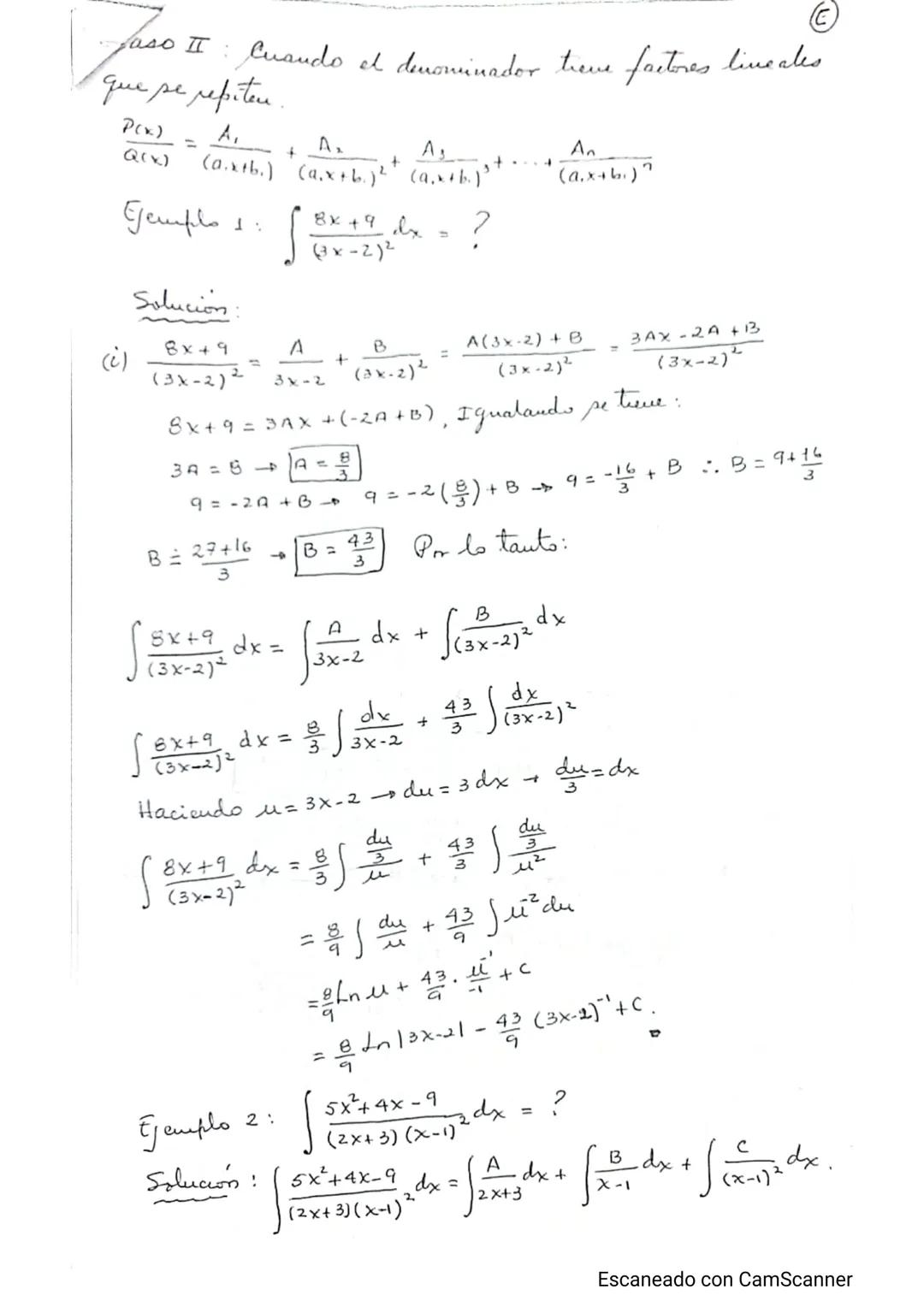
Cuando aparecen factores lineales repetidos como ², la cosa cambia un poco. Necesitas una fracción para cada potencia del factor.
Para ², usas A/ + B/². Es como tener niveles diferentes del mismo factor.
Veamos ∫/² dx. Planteas: /² = A/ + B/². Igualando numeradores: 8x+9 = A + B.
Comparando coeficientes: 3A = 8, entonces A = 8/3. Para el término independiente: 9 = -2A + B, entonces B = 9 + 16/3 = 43/3.
La integral se resuelve con sustitución: u = 3x-2, du = 3dx. Obtienes: (8/9)ln|3x-2| - (43/9)^(-1) + C.
Para ∫/ dx, combinas ambos casos: A/ + B/ + C/².
💡 Regla de oro: Cada factor repetido n veces genera n fracciones parciales.

Acceso a todos los documentos
Mejora tus notas
Únete a millones de estudiantes
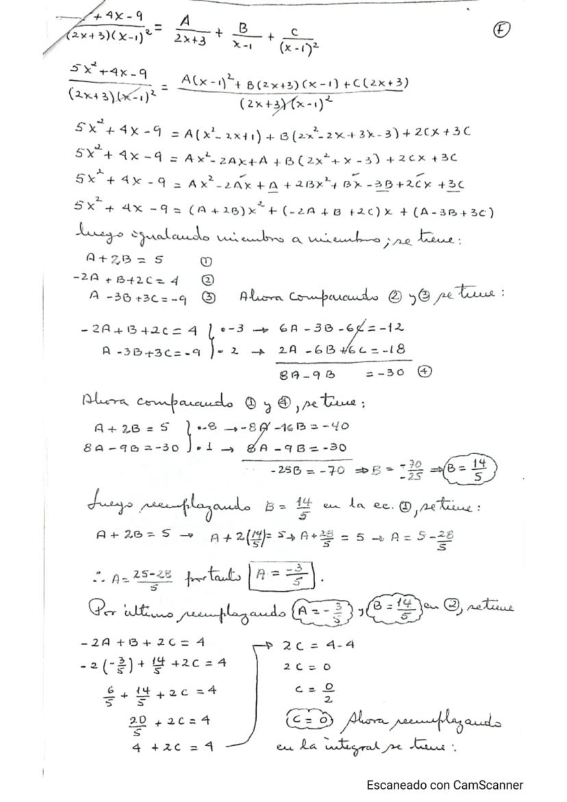
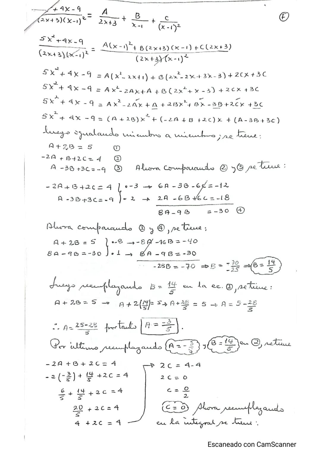
Cuando tienes sistemas de 3x3, la organización es clave. Para el ejemplo anterior, igualas: 5x²+4x-9 = A² + B + C.
Expandiendo y comparando coeficientes obtienes:
El truco está en eliminar variables sistemáticamente. Combina las ecuaciones para eliminar C primero: 8A - 9B = -30.
Resolviendo paso a paso: B = 14/5, A = -3/5, C = 0. No te desanimes si el sistema parece complicado, siempre hay una solución ordenada.
La integral final queda: (-3/5)∫dx/ + (14/5)∫dx/ = (-3/10)ln|2x+3| + (14/5)ln|x-1| + C.
💡 Consejo: Siempre verifica tus respuestas sustituyendo los valores encontrados en la ecuación original.

Acceso a todos los documentos
Mejora tus notas
Únete a millones de estudiantes
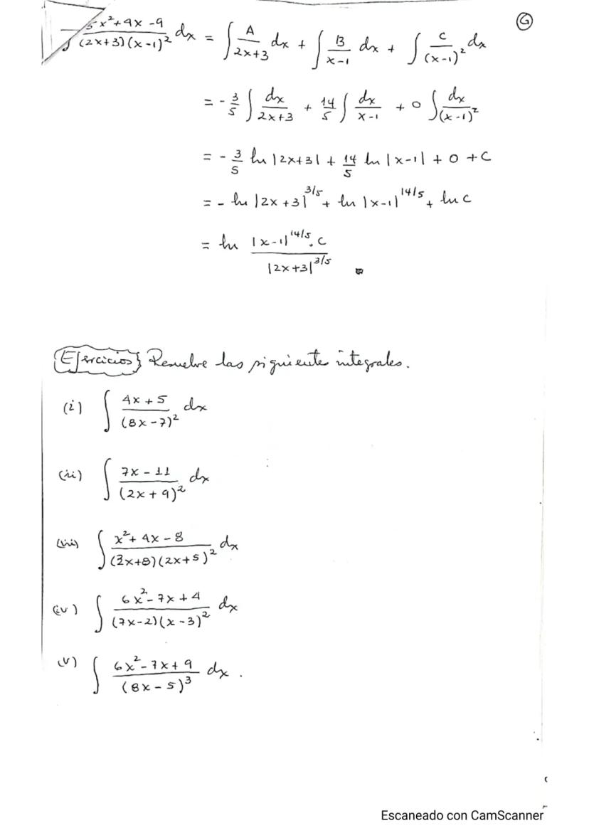
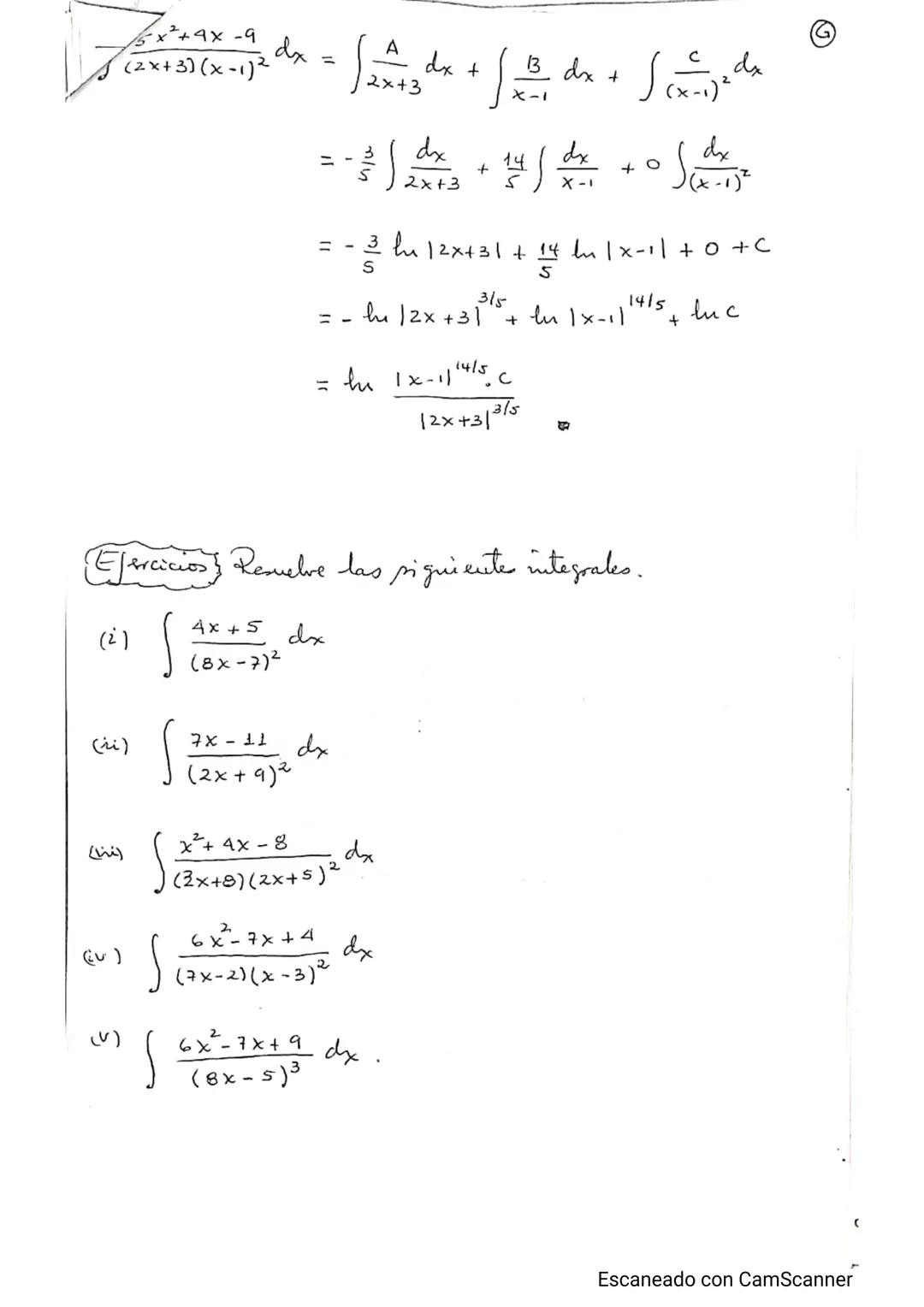
La solución completa del último ejemplo es: ∫/ dx = (-3/10)ln|2x+3| + (14/5)ln|x-1| + C.
También puedes expresarla en forma compacta: ln|x-1|^(14/5)/|2x+3|^(3/10) + C.
Ahora es tu turno de brillar. Practica con estos ejercicios:
Recuerda la estrategia: identifica el tipo de factores (simples o repetidos), plantea las fracciones parciales correspondientes, encuentra las constantes y resuelve las integrales básicas.
💡 Motivación final: Con práctica constante, estas integrales que parecían imposibles se volverán rutinarias. ¡Tú puedes dominar esto!
Nuestro compañero de IA está específicamente adaptado a las necesidades de los estudiantes. Basándonos en los millones de contenidos que tenemos en la plataforma, podemos dar a los estudiantes respuestas realmente significativas y relevantes. Pero no se trata solo de respuestas, el compañero también guía a los estudiantes a través de sus retos de aprendizaje diarios, con planes de aprendizaje personalizados, cuestionarios o contenidos en el chat y una personalización del 100% basada en las habilidades y el desarrollo de los estudiantes.
Puedes descargar la app en Google Play Store y Apple App Store.
¡Sí lo es! Tienes acceso totalmente gratuito a todo el contenido de la app, puedes chatear con otros alumnos y recibir ayuda inmeditamente. Puedes ganar dinero utilizando la aplicación, que te permitirá acceder a determinadas funciones.
2
Herramientas Inteligentes NUEVO
Transforma estos apuntes en: ✓ 50+ Preguntas de Práctica ✓ Fichas Interactivas ✓ Examen Completo de Práctica ✓ Esquemas de Ensayo
Números enteros y operaciones entre números enteros (Suma, Resta, Multiplicación y División)
App Store
Google Play
La app es muy fácil de usar y está muy bien diseñada. Hasta ahora he encontrado todo lo que estaba buscando y he podido aprender mucho de las presentaciones. Definitivamente utilizaré la aplicación para un examen de clase. Y, por supuesto, también me sirve mucho de inspiración.
Pablo
usuario de iOS
Esta app es realmente genial. Hay tantos apuntes de clase y ayuda [...]. Tengo problemas con matemáticas, por ejemplo, y la aplicación tiene muchas opciones de ayuda. Gracias a Knowunity, he mejorado en mates. Se la recomiendo a todo el mundo.
Elena
usuaria de Android
Vaya, estoy realmente sorprendida. Acabo de probar la app porque la he visto anunciada muchas veces y me he quedado absolutamente alucinada. Esta app es LA AYUDA que quieres para el insti y, sobre todo, ofrece muchísimas cosas, como ejercicios y hojas informativas, que a mí personalmente me han sido MUY útiles.
Ana
usuaria de iOS
Solía tener problemas para completar mis tareas a tiempo hasta que descubrí Knowunity, que no solo facilita subir mi propio contenido sino que también proporciona excelentes resúmenes que hacen mi trabajo más rápido y eficiente.
Thomas R
usuario de iOS
Siempre era un desafío encontrar toda la información importante para mis tareas – desde que comencé a usar Knowunity, puedo simplemente subir mi contenido y beneficiarme de los resúmenes de otros, lo que me ayuda mucho con la organización.
Lisa M
usuaria de Android
A menudo sentía que no tenía suficiente visión general al estudiar, pero desde que comencé a usar Knowunity, eso ya no es un problema – subo mi contenido y siempre encuentro resúmenes útiles en la plataforma, lo que hace mi aprendizaje mucho más fácil.
David K
usuario de iOS
¡La app es buenísima! Sólo tengo que introducir el tema en la barra de búsqueda y recibo la respuesta muy rápido. No tengo que ver 10 vídeos de YouTube para entender algo, así que me ahorro tiempo. ¡Muy recomendable!
Sara
usuaria de Android
En el instituto era muy malo en matemáticas, pero gracias a la app, ahora saco mejores notas. Os agradezco mucho que hayáis creado la aplicación.
Roberto
usuario de Android
Solía ser realmente difícil recopilar toda la información para mis presentaciones. Pero desde que comencé a usar Knowunity, solo subo mis apuntes y encuentro increíbles resúmenes de otros – ¡hace mi estudio mucho más eficiente!
Julia S
usuaria de Android
Estaba constantemente estresado con todo el material de estudio, pero desde que comencé a usar Knowunity, subo mis cosas y reviso los geniales resúmenes de otros – realmente me ayuda a gestionar todo mejor y es mucho menos estresante.
Marco B
usuario de iOS
LOS QUIZ Y FLASHCARDS SON SÚPER ÚTILES Y ME ENCANTA Knowunity IA. ADEMÁS ES LITERALMENTE COMO CHATGPT PERO MÁS LISTO!! ME AYUDÓ TAMBIÉN CON MIS PROBLEMAS DE MÁSCARA!! Y CON MIS ASIGNATURAS DE VERDAD! OBVIO 😍😁😲🤑💗✨🎀😮
Sarah L
usuaria de Android
Antes pasaba horas buscando en Google materiales escolares, pero ahora solo subo mis cosas a Knowunity y reviso los útiles resúmenes de otros - me siento mucho más seguro al prepararme para los exámenes.
Paul T
usuario de iOS
La app es muy fácil de usar y está muy bien diseñada. Hasta ahora he encontrado todo lo que estaba buscando y he podido aprender mucho de las presentaciones. Definitivamente utilizaré la aplicación para un examen de clase. Y, por supuesto, también me sirve mucho de inspiración.
Pablo
usuario de iOS
Esta app es realmente genial. Hay tantos apuntes de clase y ayuda [...]. Tengo problemas con matemáticas, por ejemplo, y la aplicación tiene muchas opciones de ayuda. Gracias a Knowunity, he mejorado en mates. Se la recomiendo a todo el mundo.
Elena
usuaria de Android
Vaya, estoy realmente sorprendida. Acabo de probar la app porque la he visto anunciada muchas veces y me he quedado absolutamente alucinada. Esta app es LA AYUDA que quieres para el insti y, sobre todo, ofrece muchísimas cosas, como ejercicios y hojas informativas, que a mí personalmente me han sido MUY útiles.
Ana
usuaria de iOS
Solía tener problemas para completar mis tareas a tiempo hasta que descubrí Knowunity, que no solo facilita subir mi propio contenido sino que también proporciona excelentes resúmenes que hacen mi trabajo más rápido y eficiente.
Thomas R
usuario de iOS
Siempre era un desafío encontrar toda la información importante para mis tareas – desde que comencé a usar Knowunity, puedo simplemente subir mi contenido y beneficiarme de los resúmenes de otros, lo que me ayuda mucho con la organización.
Lisa M
usuaria de Android
A menudo sentía que no tenía suficiente visión general al estudiar, pero desde que comencé a usar Knowunity, eso ya no es un problema – subo mi contenido y siempre encuentro resúmenes útiles en la plataforma, lo que hace mi aprendizaje mucho más fácil.
David K
usuario de iOS
¡La app es buenísima! Sólo tengo que introducir el tema en la barra de búsqueda y recibo la respuesta muy rápido. No tengo que ver 10 vídeos de YouTube para entender algo, así que me ahorro tiempo. ¡Muy recomendable!
Sara
usuaria de Android
En el instituto era muy malo en matemáticas, pero gracias a la app, ahora saco mejores notas. Os agradezco mucho que hayáis creado la aplicación.
Roberto
usuario de Android
Solía ser realmente difícil recopilar toda la información para mis presentaciones. Pero desde que comencé a usar Knowunity, solo subo mis apuntes y encuentro increíbles resúmenes de otros – ¡hace mi estudio mucho más eficiente!
Julia S
usuaria de Android
Estaba constantemente estresado con todo el material de estudio, pero desde que comencé a usar Knowunity, subo mis cosas y reviso los geniales resúmenes de otros – realmente me ayuda a gestionar todo mejor y es mucho menos estresante.
Marco B
usuario de iOS
LOS QUIZ Y FLASHCARDS SON SÚPER ÚTILES Y ME ENCANTA Knowunity IA. ADEMÁS ES LITERALMENTE COMO CHATGPT PERO MÁS LISTO!! ME AYUDÓ TAMBIÉN CON MIS PROBLEMAS DE MÁSCARA!! Y CON MIS ASIGNATURAS DE VERDAD! OBVIO 😍😁😲🤑💗✨🎀😮
Sarah L
usuaria de Android
Antes pasaba horas buscando en Google materiales escolares, pero ahora solo subo mis cosas a Knowunity y reviso los útiles resúmenes de otros - me siento mucho más seguro al prepararme para los exámenes.
Paul T
usuario de iOS