Tasa de variación media y todas las derivadas
Inscríbete para ver los apuntes¡Es gratis!
Acceso a todos los documentos
Mejora tus notas
Únete a millones de estudiantes
Al registrarte aceptas las Condiciones del servicio y la Política de privacidad.

4
0
Skxiy
8/11/2025
Matemáticas
Derivadas
160
•
8 de nov de 2025
•
Skxiy
@skxiy.alp
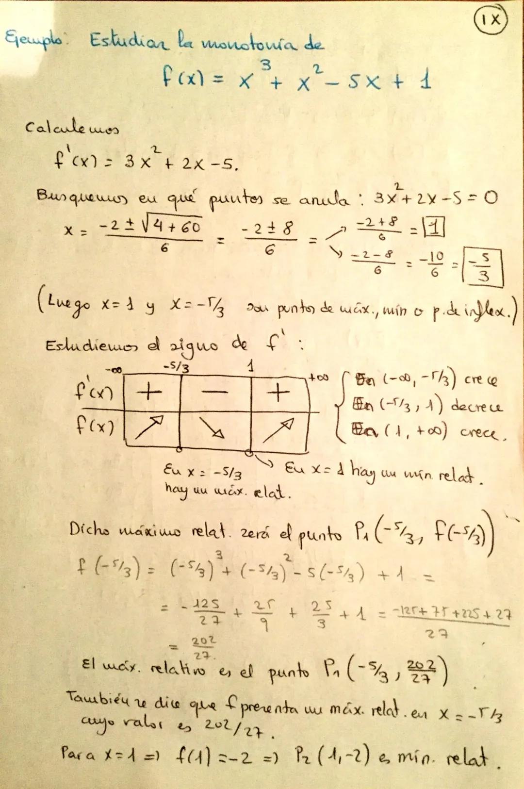
Tasa de variación media y todas las derivadas
















![TEMA 4 DERIVADAS
4.1- Tasa de Variación Media
eu
Sea una funcióu continua en el intervalo [a,b]
Llamamos Tasa de Variación Media de la funci](/_next/image?url=https%3A%2F%2Fcontent-eu-central-1.knowunity.com%2FCONTENT%2FKcmAGhwmbVOhdRCAELeT_image_page_1.webp&w=2048&q=75)
![TEMA 4 DERIVADAS
4.1- Tasa de Variación Media
eu
Sea una funcióu continua en el intervalo [a,b]
Llamamos Tasa de Variación Media de la funci](/_next/image?url=https%3A%2F%2Fcontent-eu-central-1.knowunity.com%2FCONTENT%2FKcmAGhwmbVOhdRCAELeT_image_page_2.webp&w=2048&q=75)
![TEMA 4 DERIVADAS
4.1- Tasa de Variación Media
eu
Sea una funcióu continua en el intervalo [a,b]
Llamamos Tasa de Variación Media de la funci](/_next/image?url=https%3A%2F%2Fcontent-eu-central-1.knowunity.com%2FCONTENT%2FKcmAGhwmbVOhdRCAELeT_image_page_3.webp&w=2048&q=75)
![TEMA 4 DERIVADAS
4.1- Tasa de Variación Media
eu
Sea una funcióu continua en el intervalo [a,b]
Llamamos Tasa de Variación Media de la funci](/_next/image?url=https%3A%2F%2Fcontent-eu-central-1.knowunity.com%2FCONTENT%2FKcmAGhwmbVOhdRCAELeT_image_page_4.webp&w=2048&q=75)
![TEMA 4 DERIVADAS
4.1- Tasa de Variación Media
eu
Sea una funcióu continua en el intervalo [a,b]
Llamamos Tasa de Variación Media de la funci](/_next/image?url=https%3A%2F%2Fcontent-eu-central-1.knowunity.com%2FCONTENT%2FKcmAGhwmbVOhdRCAELeT_image_page_5.webp&w=2048&q=75)
![TEMA 4 DERIVADAS
4.1- Tasa de Variación Media
eu
Sea una funcióu continua en el intervalo [a,b]
Llamamos Tasa de Variación Media de la funci](/_next/image?url=https%3A%2F%2Fcontent-eu-central-1.knowunity.com%2FCONTENT%2FKcmAGhwmbVOhdRCAELeT_image_page_6.webp&w=2048&q=75)
![TEMA 4 DERIVADAS
4.1- Tasa de Variación Media
eu
Sea una funcióu continua en el intervalo [a,b]
Llamamos Tasa de Variación Media de la funci](/_next/image?url=https%3A%2F%2Fcontent-eu-central-1.knowunity.com%2FCONTENT%2FKcmAGhwmbVOhdRCAELeT_image_page_7.webp&w=2048&q=75)
![TEMA 4 DERIVADAS
4.1- Tasa de Variación Media
eu
Sea una funcióu continua en el intervalo [a,b]
Llamamos Tasa de Variación Media de la funci](/_next/image?url=https%3A%2F%2Fcontent-eu-central-1.knowunity.com%2FCONTENT%2FKcmAGhwmbVOhdRCAELeT_image_page_8.webp&w=2048&q=75)
![TEMA 4 DERIVADAS
4.1- Tasa de Variación Media
eu
Sea una funcióu continua en el intervalo [a,b]
Llamamos Tasa de Variación Media de la funci](/_next/image?url=https%3A%2F%2Fcontent-eu-central-1.knowunity.com%2FCONTENT%2FKcmAGhwmbVOhdRCAELeT_image_page_9.webp&w=2048&q=75)
![TEMA 4 DERIVADAS
4.1- Tasa de Variación Media
eu
Sea una funcióu continua en el intervalo [a,b]
Llamamos Tasa de Variación Media de la funci](/_next/image?url=https%3A%2F%2Fcontent-eu-central-1.knowunity.com%2FCONTENT%2FKcmAGhwmbVOhdRCAELeT_image_page_10.webp&w=2048&q=75)
![TEMA 4 DERIVADAS
4.1- Tasa de Variación Media
eu
Sea una funcióu continua en el intervalo [a,b]
Llamamos Tasa de Variación Media de la funci](/_next/image?url=https%3A%2F%2Fcontent-eu-central-1.knowunity.com%2FCONTENT%2FKcmAGhwmbVOhdRCAELeT_image_page_11.webp&w=2048&q=75)
![TEMA 4 DERIVADAS
4.1- Tasa de Variación Media
eu
Sea una funcióu continua en el intervalo [a,b]
Llamamos Tasa de Variación Media de la funci](/_next/image?url=https%3A%2F%2Fcontent-eu-central-1.knowunity.com%2FCONTENT%2FKcmAGhwmbVOhdRCAELeT_image_page_12.webp&w=2048&q=75)
![TEMA 4 DERIVADAS
4.1- Tasa de Variación Media
eu
Sea una funcióu continua en el intervalo [a,b]
Llamamos Tasa de Variación Media de la funci](/_next/image?url=https%3A%2F%2Fcontent-eu-central-1.knowunity.com%2FCONTENT%2FKcmAGhwmbVOhdRCAELeT_image_page_13.webp&w=2048&q=75)
![TEMA 4 DERIVADAS
4.1- Tasa de Variación Media
eu
Sea una funcióu continua en el intervalo [a,b]
Llamamos Tasa de Variación Media de la funci](/_next/image?url=https%3A%2F%2Fcontent-eu-central-1.knowunity.com%2FCONTENT%2FKcmAGhwmbVOhdRCAELeT_image_page_14.webp&w=2048&q=75)
![TEMA 4 DERIVADAS
4.1- Tasa de Variación Media
eu
Sea una funcióu continua en el intervalo [a,b]
Llamamos Tasa de Variación Media de la funci](/_next/image?url=https%3A%2F%2Fcontent-eu-central-1.knowunity.com%2FCONTENT%2FKcmAGhwmbVOhdRCAELeT_image_page_15.webp&w=2048&q=75)
![TEMA 4 DERIVADAS
4.1- Tasa de Variación Media
eu
Sea una funcióu continua en el intervalo [a,b]
Llamamos Tasa de Variación Media de la funci](/_next/image?url=https%3A%2F%2Fcontent-eu-central-1.knowunity.com%2FCONTENT%2FKcmAGhwmbVOhdRCAELeT_image_page_16.webp&w=2048&q=75)
Nuestro compañero de IA está específicamente adaptado a las necesidades de los estudiantes. Basándonos en los millones de contenidos que tenemos en la plataforma, podemos dar a los estudiantes respuestas realmente significativas y relevantes. Pero no se trata solo de respuestas, el compañero también guía a los estudiantes a través de sus retos de aprendizaje diarios, con planes de aprendizaje personalizados, cuestionarios o contenidos en el chat y una personalización del 100% basada en las habilidades y el desarrollo de los estudiantes.
Puedes descargar la app en Google Play Store y Apple App Store.
¡Sí lo es! Tienes acceso totalmente gratuito a todo el contenido de la app, puedes chatear con otros alumnos y recibir ayuda inmeditamente. Puedes ganar dinero utilizando la aplicación, que te permitirá acceder a determinadas funciones.
App Store
Google Play
La app es muy fácil de usar y está muy bien diseñada. Hasta ahora he encontrado todo lo que estaba buscando y he podido aprender mucho de las presentaciones. Definitivamente utilizaré la aplicación para un examen de clase. Y, por supuesto, también me sirve mucho de inspiración.
Pablo
usuario de iOS
Esta app es realmente genial. Hay tantos apuntes de clase y ayuda [...]. Tengo problemas con matemáticas, por ejemplo, y la aplicación tiene muchas opciones de ayuda. Gracias a Knowunity, he mejorado en mates. Se la recomiendo a todo el mundo.
Elena
usuaria de Android
Vaya, estoy realmente sorprendida. Acabo de probar la app porque la he visto anunciada muchas veces y me he quedado absolutamente alucinada. Esta app es LA AYUDA que quieres para el insti y, sobre todo, ofrece muchísimas cosas, como ejercicios y hojas informativas, que a mí personalmente me han sido MUY útiles.
Ana
usuaria de iOS
Solía tener problemas para completar mis tareas a tiempo hasta que descubrí Knowunity, que no solo facilita subir mi propio contenido sino que también proporciona excelentes resúmenes que hacen mi trabajo más rápido y eficiente.
Thomas R
usuario de iOS
Siempre era un desafío encontrar toda la información importante para mis tareas – desde que comencé a usar Knowunity, puedo simplemente subir mi contenido y beneficiarme de los resúmenes de otros, lo que me ayuda mucho con la organización.
Lisa M
usuaria de Android
A menudo sentía que no tenía suficiente visión general al estudiar, pero desde que comencé a usar Knowunity, eso ya no es un problema – subo mi contenido y siempre encuentro resúmenes útiles en la plataforma, lo que hace mi aprendizaje mucho más fácil.
David K
usuario de iOS
¡La app es buenísima! Sólo tengo que introducir el tema en la barra de búsqueda y recibo la respuesta muy rápido. No tengo que ver 10 vídeos de YouTube para entender algo, así que me ahorro tiempo. ¡Muy recomendable!
Sara
usuaria de Android
En el instituto era muy malo en matemáticas, pero gracias a la app, ahora saco mejores notas. Os agradezco mucho que hayáis creado la aplicación.
Roberto
usuario de Android
Solía ser realmente difícil recopilar toda la información para mis presentaciones. Pero desde que comencé a usar Knowunity, solo subo mis apuntes y encuentro increíbles resúmenes de otros – ¡hace mi estudio mucho más eficiente!
Julia S
usuaria de Android
Estaba constantemente estresado con todo el material de estudio, pero desde que comencé a usar Knowunity, subo mis cosas y reviso los geniales resúmenes de otros – realmente me ayuda a gestionar todo mejor y es mucho menos estresante.
Marco B
usuario de iOS
Siempre fue difícil encontrar los materiales adecuados para mis tareas. Ahora solo subo mis apuntes a Knowunity y obtengo los mejores resúmenes de otros - realmente me ayuda a entender todo más rápido y mejora mis notas.
Sarah L
usuaria de Android
Antes pasaba horas buscando en Google materiales escolares, pero ahora solo subo mis cosas a Knowunity y reviso los útiles resúmenes de otros - me siento mucho más seguro al prepararme para los exámenes.
Paul T
usuario de iOS
La app es muy fácil de usar y está muy bien diseñada. Hasta ahora he encontrado todo lo que estaba buscando y he podido aprender mucho de las presentaciones. Definitivamente utilizaré la aplicación para un examen de clase. Y, por supuesto, también me sirve mucho de inspiración.
Pablo
usuario de iOS
Esta app es realmente genial. Hay tantos apuntes de clase y ayuda [...]. Tengo problemas con matemáticas, por ejemplo, y la aplicación tiene muchas opciones de ayuda. Gracias a Knowunity, he mejorado en mates. Se la recomiendo a todo el mundo.
Elena
usuaria de Android
Vaya, estoy realmente sorprendida. Acabo de probar la app porque la he visto anunciada muchas veces y me he quedado absolutamente alucinada. Esta app es LA AYUDA que quieres para el insti y, sobre todo, ofrece muchísimas cosas, como ejercicios y hojas informativas, que a mí personalmente me han sido MUY útiles.
Ana
usuaria de iOS
Solía tener problemas para completar mis tareas a tiempo hasta que descubrí Knowunity, que no solo facilita subir mi propio contenido sino que también proporciona excelentes resúmenes que hacen mi trabajo más rápido y eficiente.
Thomas R
usuario de iOS
Siempre era un desafío encontrar toda la información importante para mis tareas – desde que comencé a usar Knowunity, puedo simplemente subir mi contenido y beneficiarme de los resúmenes de otros, lo que me ayuda mucho con la organización.
Lisa M
usuaria de Android
A menudo sentía que no tenía suficiente visión general al estudiar, pero desde que comencé a usar Knowunity, eso ya no es un problema – subo mi contenido y siempre encuentro resúmenes útiles en la plataforma, lo que hace mi aprendizaje mucho más fácil.
David K
usuario de iOS
¡La app es buenísima! Sólo tengo que introducir el tema en la barra de búsqueda y recibo la respuesta muy rápido. No tengo que ver 10 vídeos de YouTube para entender algo, así que me ahorro tiempo. ¡Muy recomendable!
Sara
usuaria de Android
En el instituto era muy malo en matemáticas, pero gracias a la app, ahora saco mejores notas. Os agradezco mucho que hayáis creado la aplicación.
Roberto
usuario de Android
Solía ser realmente difícil recopilar toda la información para mis presentaciones. Pero desde que comencé a usar Knowunity, solo subo mis apuntes y encuentro increíbles resúmenes de otros – ¡hace mi estudio mucho más eficiente!
Julia S
usuaria de Android
Estaba constantemente estresado con todo el material de estudio, pero desde que comencé a usar Knowunity, subo mis cosas y reviso los geniales resúmenes de otros – realmente me ayuda a gestionar todo mejor y es mucho menos estresante.
Marco B
usuario de iOS
Siempre fue difícil encontrar los materiales adecuados para mis tareas. Ahora solo subo mis apuntes a Knowunity y obtengo los mejores resúmenes de otros - realmente me ayuda a entender todo más rápido y mejora mis notas.
Sarah L
usuaria de Android
Antes pasaba horas buscando en Google materiales escolares, pero ahora solo subo mis cosas a Knowunity y reviso los útiles resúmenes de otros - me siento mucho más seguro al prepararme para los exámenes.
Paul T
usuario de iOS
Skxiy
@skxiy.alp
Tasa de variación media y todas las derivadas
![TEMA 4 DERIVADAS
4.1- Tasa de Variación Media
eu
Sea una funcióu continua en el intervalo [a,b]
Llamamos Tasa de Variación Media de la funci](/_next/image?url=https%3A%2F%2Fcontent-eu-central-1.knowunity.com%2FCONTENT%2FKcmAGhwmbVOhdRCAELeT_image_page_1.webp&w=2048&q=75)
Acceso a todos los documentos
Mejora tus notas
Únete a millones de estudiantes
Al registrarte aceptas las Condiciones del servicio y la Política de privacidad.
![TEMA 4 DERIVADAS
4.1- Tasa de Variación Media
eu
Sea una funcióu continua en el intervalo [a,b]
Llamamos Tasa de Variación Media de la funci](/_next/image?url=https%3A%2F%2Fcontent-eu-central-1.knowunity.com%2FCONTENT%2FKcmAGhwmbVOhdRCAELeT_image_page_2.webp&w=2048&q=75)
Acceso a todos los documentos
Mejora tus notas
Únete a millones de estudiantes
Al registrarte aceptas las Condiciones del servicio y la Política de privacidad.
![TEMA 4 DERIVADAS
4.1- Tasa de Variación Media
eu
Sea una funcióu continua en el intervalo [a,b]
Llamamos Tasa de Variación Media de la funci](/_next/image?url=https%3A%2F%2Fcontent-eu-central-1.knowunity.com%2FCONTENT%2FKcmAGhwmbVOhdRCAELeT_image_page_3.webp&w=2048&q=75)
Acceso a todos los documentos
Mejora tus notas
Únete a millones de estudiantes
Al registrarte aceptas las Condiciones del servicio y la Política de privacidad.
![TEMA 4 DERIVADAS
4.1- Tasa de Variación Media
eu
Sea una funcióu continua en el intervalo [a,b]
Llamamos Tasa de Variación Media de la funci](/_next/image?url=https%3A%2F%2Fcontent-eu-central-1.knowunity.com%2FCONTENT%2FKcmAGhwmbVOhdRCAELeT_image_page_4.webp&w=2048&q=75)
Acceso a todos los documentos
Mejora tus notas
Únete a millones de estudiantes
Al registrarte aceptas las Condiciones del servicio y la Política de privacidad.
![TEMA 4 DERIVADAS
4.1- Tasa de Variación Media
eu
Sea una funcióu continua en el intervalo [a,b]
Llamamos Tasa de Variación Media de la funci](/_next/image?url=https%3A%2F%2Fcontent-eu-central-1.knowunity.com%2FCONTENT%2FKcmAGhwmbVOhdRCAELeT_image_page_5.webp&w=2048&q=75)
Acceso a todos los documentos
Mejora tus notas
Únete a millones de estudiantes
Al registrarte aceptas las Condiciones del servicio y la Política de privacidad.
![TEMA 4 DERIVADAS
4.1- Tasa de Variación Media
eu
Sea una funcióu continua en el intervalo [a,b]
Llamamos Tasa de Variación Media de la funci](/_next/image?url=https%3A%2F%2Fcontent-eu-central-1.knowunity.com%2FCONTENT%2FKcmAGhwmbVOhdRCAELeT_image_page_6.webp&w=2048&q=75)
Acceso a todos los documentos
Mejora tus notas
Únete a millones de estudiantes
Al registrarte aceptas las Condiciones del servicio y la Política de privacidad.
![TEMA 4 DERIVADAS
4.1- Tasa de Variación Media
eu
Sea una funcióu continua en el intervalo [a,b]
Llamamos Tasa de Variación Media de la funci](/_next/image?url=https%3A%2F%2Fcontent-eu-central-1.knowunity.com%2FCONTENT%2FKcmAGhwmbVOhdRCAELeT_image_page_7.webp&w=2048&q=75)
Acceso a todos los documentos
Mejora tus notas
Únete a millones de estudiantes
Al registrarte aceptas las Condiciones del servicio y la Política de privacidad.
![TEMA 4 DERIVADAS
4.1- Tasa de Variación Media
eu
Sea una funcióu continua en el intervalo [a,b]
Llamamos Tasa de Variación Media de la funci](/_next/image?url=https%3A%2F%2Fcontent-eu-central-1.knowunity.com%2FCONTENT%2FKcmAGhwmbVOhdRCAELeT_image_page_8.webp&w=2048&q=75)
Acceso a todos los documentos
Mejora tus notas
Únete a millones de estudiantes
Al registrarte aceptas las Condiciones del servicio y la Política de privacidad.
![TEMA 4 DERIVADAS
4.1- Tasa de Variación Media
eu
Sea una funcióu continua en el intervalo [a,b]
Llamamos Tasa de Variación Media de la funci](/_next/image?url=https%3A%2F%2Fcontent-eu-central-1.knowunity.com%2FCONTENT%2FKcmAGhwmbVOhdRCAELeT_image_page_9.webp&w=2048&q=75)
Acceso a todos los documentos
Mejora tus notas
Únete a millones de estudiantes
Al registrarte aceptas las Condiciones del servicio y la Política de privacidad.
![TEMA 4 DERIVADAS
4.1- Tasa de Variación Media
eu
Sea una funcióu continua en el intervalo [a,b]
Llamamos Tasa de Variación Media de la funci](/_next/image?url=https%3A%2F%2Fcontent-eu-central-1.knowunity.com%2FCONTENT%2FKcmAGhwmbVOhdRCAELeT_image_page_10.webp&w=2048&q=75)
Acceso a todos los documentos
Mejora tus notas
Únete a millones de estudiantes
Al registrarte aceptas las Condiciones del servicio y la Política de privacidad.
![TEMA 4 DERIVADAS
4.1- Tasa de Variación Media
eu
Sea una funcióu continua en el intervalo [a,b]
Llamamos Tasa de Variación Media de la funci](/_next/image?url=https%3A%2F%2Fcontent-eu-central-1.knowunity.com%2FCONTENT%2FKcmAGhwmbVOhdRCAELeT_image_page_11.webp&w=2048&q=75)
Acceso a todos los documentos
Mejora tus notas
Únete a millones de estudiantes
Al registrarte aceptas las Condiciones del servicio y la Política de privacidad.
![TEMA 4 DERIVADAS
4.1- Tasa de Variación Media
eu
Sea una funcióu continua en el intervalo [a,b]
Llamamos Tasa de Variación Media de la funci](/_next/image?url=https%3A%2F%2Fcontent-eu-central-1.knowunity.com%2FCONTENT%2FKcmAGhwmbVOhdRCAELeT_image_page_12.webp&w=2048&q=75)
Acceso a todos los documentos
Mejora tus notas
Únete a millones de estudiantes
Al registrarte aceptas las Condiciones del servicio y la Política de privacidad.
![TEMA 4 DERIVADAS
4.1- Tasa de Variación Media
eu
Sea una funcióu continua en el intervalo [a,b]
Llamamos Tasa de Variación Media de la funci](/_next/image?url=https%3A%2F%2Fcontent-eu-central-1.knowunity.com%2FCONTENT%2FKcmAGhwmbVOhdRCAELeT_image_page_13.webp&w=2048&q=75)
Acceso a todos los documentos
Mejora tus notas
Únete a millones de estudiantes
Al registrarte aceptas las Condiciones del servicio y la Política de privacidad.
![TEMA 4 DERIVADAS
4.1- Tasa de Variación Media
eu
Sea una funcióu continua en el intervalo [a,b]
Llamamos Tasa de Variación Media de la funci](/_next/image?url=https%3A%2F%2Fcontent-eu-central-1.knowunity.com%2FCONTENT%2FKcmAGhwmbVOhdRCAELeT_image_page_14.webp&w=2048&q=75)
Acceso a todos los documentos
Mejora tus notas
Únete a millones de estudiantes
Al registrarte aceptas las Condiciones del servicio y la Política de privacidad.
![TEMA 4 DERIVADAS
4.1- Tasa de Variación Media
eu
Sea una funcióu continua en el intervalo [a,b]
Llamamos Tasa de Variación Media de la funci](/_next/image?url=https%3A%2F%2Fcontent-eu-central-1.knowunity.com%2FCONTENT%2FKcmAGhwmbVOhdRCAELeT_image_page_15.webp&w=2048&q=75)
Acceso a todos los documentos
Mejora tus notas
Únete a millones de estudiantes
Al registrarte aceptas las Condiciones del servicio y la Política de privacidad.
![TEMA 4 DERIVADAS
4.1- Tasa de Variación Media
eu
Sea una funcióu continua en el intervalo [a,b]
Llamamos Tasa de Variación Media de la funci](/_next/image?url=https%3A%2F%2Fcontent-eu-central-1.knowunity.com%2FCONTENT%2FKcmAGhwmbVOhdRCAELeT_image_page_16.webp&w=2048&q=75)
Acceso a todos los documentos
Mejora tus notas
Únete a millones de estudiantes
Al registrarte aceptas las Condiciones del servicio y la Política de privacidad.
Nuestro compañero de IA está específicamente adaptado a las necesidades de los estudiantes. Basándonos en los millones de contenidos que tenemos en la plataforma, podemos dar a los estudiantes respuestas realmente significativas y relevantes. Pero no se trata solo de respuestas, el compañero también guía a los estudiantes a través de sus retos de aprendizaje diarios, con planes de aprendizaje personalizados, cuestionarios o contenidos en el chat y una personalización del 100% basada en las habilidades y el desarrollo de los estudiantes.
Puedes descargar la app en Google Play Store y Apple App Store.
¡Sí lo es! Tienes acceso totalmente gratuito a todo el contenido de la app, puedes chatear con otros alumnos y recibir ayuda inmeditamente. Puedes ganar dinero utilizando la aplicación, que te permitirá acceder a determinadas funciones.
4
Herramientas Inteligentes NUEVO
Transforma estos apuntes en: ✓ 50+ Preguntas de Práctica ✓ Fichas Interactivas ✓ Examen Completo de Práctica ✓ Esquemas de Ensayo
App Store
Google Play
La app es muy fácil de usar y está muy bien diseñada. Hasta ahora he encontrado todo lo que estaba buscando y he podido aprender mucho de las presentaciones. Definitivamente utilizaré la aplicación para un examen de clase. Y, por supuesto, también me sirve mucho de inspiración.
Pablo
usuario de iOS
Esta app es realmente genial. Hay tantos apuntes de clase y ayuda [...]. Tengo problemas con matemáticas, por ejemplo, y la aplicación tiene muchas opciones de ayuda. Gracias a Knowunity, he mejorado en mates. Se la recomiendo a todo el mundo.
Elena
usuaria de Android
Vaya, estoy realmente sorprendida. Acabo de probar la app porque la he visto anunciada muchas veces y me he quedado absolutamente alucinada. Esta app es LA AYUDA que quieres para el insti y, sobre todo, ofrece muchísimas cosas, como ejercicios y hojas informativas, que a mí personalmente me han sido MUY útiles.
Ana
usuaria de iOS
Solía tener problemas para completar mis tareas a tiempo hasta que descubrí Knowunity, que no solo facilita subir mi propio contenido sino que también proporciona excelentes resúmenes que hacen mi trabajo más rápido y eficiente.
Thomas R
usuario de iOS
Siempre era un desafío encontrar toda la información importante para mis tareas – desde que comencé a usar Knowunity, puedo simplemente subir mi contenido y beneficiarme de los resúmenes de otros, lo que me ayuda mucho con la organización.
Lisa M
usuaria de Android
A menudo sentía que no tenía suficiente visión general al estudiar, pero desde que comencé a usar Knowunity, eso ya no es un problema – subo mi contenido y siempre encuentro resúmenes útiles en la plataforma, lo que hace mi aprendizaje mucho más fácil.
David K
usuario de iOS
¡La app es buenísima! Sólo tengo que introducir el tema en la barra de búsqueda y recibo la respuesta muy rápido. No tengo que ver 10 vídeos de YouTube para entender algo, así que me ahorro tiempo. ¡Muy recomendable!
Sara
usuaria de Android
En el instituto era muy malo en matemáticas, pero gracias a la app, ahora saco mejores notas. Os agradezco mucho que hayáis creado la aplicación.
Roberto
usuario de Android
Solía ser realmente difícil recopilar toda la información para mis presentaciones. Pero desde que comencé a usar Knowunity, solo subo mis apuntes y encuentro increíbles resúmenes de otros – ¡hace mi estudio mucho más eficiente!
Julia S
usuaria de Android
Estaba constantemente estresado con todo el material de estudio, pero desde que comencé a usar Knowunity, subo mis cosas y reviso los geniales resúmenes de otros – realmente me ayuda a gestionar todo mejor y es mucho menos estresante.
Marco B
usuario de iOS
Siempre fue difícil encontrar los materiales adecuados para mis tareas. Ahora solo subo mis apuntes a Knowunity y obtengo los mejores resúmenes de otros - realmente me ayuda a entender todo más rápido y mejora mis notas.
Sarah L
usuaria de Android
Antes pasaba horas buscando en Google materiales escolares, pero ahora solo subo mis cosas a Knowunity y reviso los útiles resúmenes de otros - me siento mucho más seguro al prepararme para los exámenes.
Paul T
usuario de iOS
La app es muy fácil de usar y está muy bien diseñada. Hasta ahora he encontrado todo lo que estaba buscando y he podido aprender mucho de las presentaciones. Definitivamente utilizaré la aplicación para un examen de clase. Y, por supuesto, también me sirve mucho de inspiración.
Pablo
usuario de iOS
Esta app es realmente genial. Hay tantos apuntes de clase y ayuda [...]. Tengo problemas con matemáticas, por ejemplo, y la aplicación tiene muchas opciones de ayuda. Gracias a Knowunity, he mejorado en mates. Se la recomiendo a todo el mundo.
Elena
usuaria de Android
Vaya, estoy realmente sorprendida. Acabo de probar la app porque la he visto anunciada muchas veces y me he quedado absolutamente alucinada. Esta app es LA AYUDA que quieres para el insti y, sobre todo, ofrece muchísimas cosas, como ejercicios y hojas informativas, que a mí personalmente me han sido MUY útiles.
Ana
usuaria de iOS
Solía tener problemas para completar mis tareas a tiempo hasta que descubrí Knowunity, que no solo facilita subir mi propio contenido sino que también proporciona excelentes resúmenes que hacen mi trabajo más rápido y eficiente.
Thomas R
usuario de iOS
Siempre era un desafío encontrar toda la información importante para mis tareas – desde que comencé a usar Knowunity, puedo simplemente subir mi contenido y beneficiarme de los resúmenes de otros, lo que me ayuda mucho con la organización.
Lisa M
usuaria de Android
A menudo sentía que no tenía suficiente visión general al estudiar, pero desde que comencé a usar Knowunity, eso ya no es un problema – subo mi contenido y siempre encuentro resúmenes útiles en la plataforma, lo que hace mi aprendizaje mucho más fácil.
David K
usuario de iOS
¡La app es buenísima! Sólo tengo que introducir el tema en la barra de búsqueda y recibo la respuesta muy rápido. No tengo que ver 10 vídeos de YouTube para entender algo, así que me ahorro tiempo. ¡Muy recomendable!
Sara
usuaria de Android
En el instituto era muy malo en matemáticas, pero gracias a la app, ahora saco mejores notas. Os agradezco mucho que hayáis creado la aplicación.
Roberto
usuario de Android
Solía ser realmente difícil recopilar toda la información para mis presentaciones. Pero desde que comencé a usar Knowunity, solo subo mis apuntes y encuentro increíbles resúmenes de otros – ¡hace mi estudio mucho más eficiente!
Julia S
usuaria de Android
Estaba constantemente estresado con todo el material de estudio, pero desde que comencé a usar Knowunity, subo mis cosas y reviso los geniales resúmenes de otros – realmente me ayuda a gestionar todo mejor y es mucho menos estresante.
Marco B
usuario de iOS
Siempre fue difícil encontrar los materiales adecuados para mis tareas. Ahora solo subo mis apuntes a Knowunity y obtengo los mejores resúmenes de otros - realmente me ayuda a entender todo más rápido y mejora mis notas.
Sarah L
usuaria de Android
Antes pasaba horas buscando en Google materiales escolares, pero ahora solo subo mis cosas a Knowunity y reviso los útiles resúmenes de otros - me siento mucho más seguro al prepararme para los exámenes.
Paul T
usuario de iOS