¿Te parece complicado trabajar con vectores y rectas en el... Mostrar más
Inscríbete para ver los apuntes¡Es gratis!
Acceso a todos los documentos
Mejora tus notas
Únete a millones de estudiantes
Knowunity AI
Asignaturas
Triangle Congruence and Similarity Theorems
Triangle Properties and Classification
Linear Equations and Graphs
Geometric Angle Relationships
Trigonometric Functions and Identities
Equation Solving Techniques
Circle Geometry Fundamentals
Division Operations and Methods
Basic Differentiation Rules
Exponent and Logarithm Properties
Mostrar todos los temas
Human Organ Systems
Reproductive Cell Cycles
Biological Sciences Subdisciplines
Cellular Energy Metabolism
Autotrophic Energy Processes
Inheritance Patterns and Principles
Biomolecular Structure and Organization
Cell Cycle and Division Mechanics
Cellular Organization and Development
Biological Structural Organization
Mostrar todos los temas
Chemical Sciences and Applications
Atomic Structure and Composition
Molecular Electron Structure Representation
Atomic Electron Behavior
Matter Properties and Water
Mole Concept and Calculations
Gas Laws and Behavior
Periodic Table Organization
Chemical Thermodynamics Fundamentals
Chemical Bond Types and Properties
Mostrar todos los temas
European Renaissance and Enlightenment
European Cultural Movements 800-1920
American Revolution Era 1763-1797
American Civil War 1861-1865
Global Imperial Systems
Mongol and Chinese Dynasties
U.S. Presidents and World Leaders
Historical Sources and Documentation
World Wars Era and Impact
World Religious Systems
Mostrar todos los temas
Classic and Contemporary Novels
Literary Character Analysis
Rhetorical Theory and Practice
Classic Literary Narratives
Reading Analysis and Interpretation
Narrative Structure and Techniques
English Language Components
Influential English-Language Authors
Basic Sentence Structure
Narrative Voice and Perspective
Mostrar todos los temas
155
•
Actualizado Apr 10, 2026
•
Yeferson Gallego Mosquera
@efersonallegoosquera_5dyk
¿Te parece complicado trabajar con vectores y rectas en el... Mostrar más










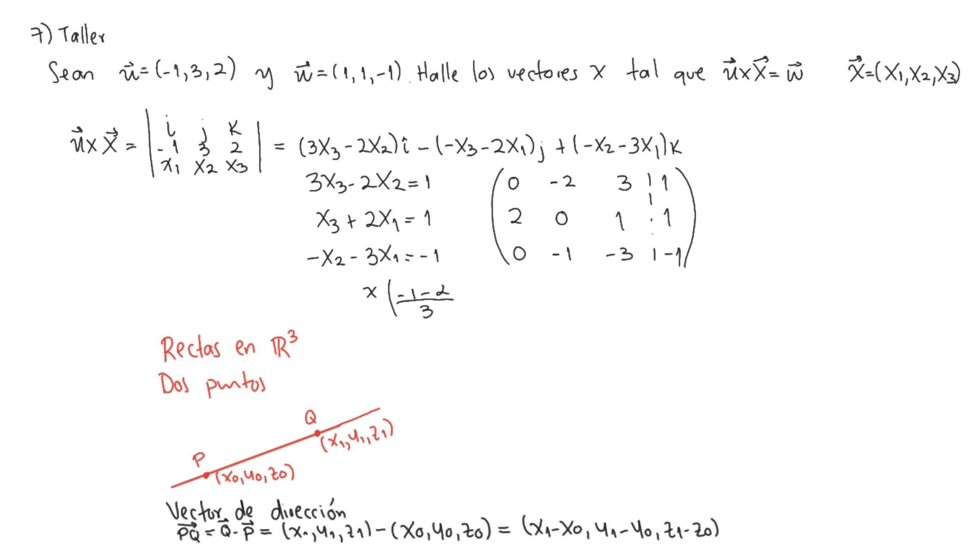
El producto vectorial es una operación que te permite encontrar un vector perpendicular a otros dos. Para calcularlo, usás la fórmula del determinante con los vectores base î, ĵ, k̂.
Cuando tenés dos puntos P y Q en el espacio, podés formar una recta. El vector de dirección se calcula como ⃗PQ = Q - P, que básicamente es restar las coordenadas del primer punto al segundo.
¡Clave! El vector de dirección te dice hacia dónde "apunta" la recta en el espacio.
Una recta en R³ se puede expresar de tres formas diferentes: ecuación vectorial , ecuaciones paramétricas y ecuaciones simétricas (fracciones igualadas).

Las ecuaciones paramétricas son súper útiles porque te permiten encontrar cualquier punto de la recta simplemente cambiando el valor de t. Si t = 0, obtenés el punto inicial; si t = 1, te movés una unidad en la dirección del vector.
Para verificar si un punto pertenece a una recta, sustituís sus coordenadas en las ecuaciones simétricas y verificás si todas las fracciones son iguales. Si dan el mismo valor, el punto está en la recta.
Consejo: Practicá con diferentes valores de t para visualizar cómo se mueven los puntos a lo largo de la recta.
El truco está en calcular bien el vector de dirección desde el principio. Una vez que lo tenés, el resto es solo aplicar las fórmulas correctamente.

Con los puntos P(-5,-3,4) y Q(-2,-3,3), calculamos ⃗PQ = (3,0,-1). Notá que la coordenada y no cambia, lo que significa que la recta es paralela al plano xz.
Las ecuaciones paramétricas quedan: x = -5 + 3t, y = -3, z = 4 - t. Para encontrar otros puntos de la recta, simplemente elegís valores de t: si t = 2, obtenés (1,-3,2).
Verificación: Siempre podés comprobar tu respuesta sustituyendo un punto conocido en tus ecuaciones.
Para verificar si un punto pertenece a la recta, usás las ecuaciones simétricas y verificás que todas las fracciones sean iguales. Si una fracción da un resultado diferente, el punto no pertenece a la recta.

Dos rectas en el espacio pueden tener cuatro posiciones diferentes. Las rectas paralelas tienen vectores de dirección proporcionales pero no comparten puntos. Las coincidentes son básicamente la misma recta.
Las rectas secantes se cruzan en exactamente un punto y están en el mismo plano. Las oblicuas son las más interesantes: no son paralelas ni se cruzan porque están en planos diferentes.
Para determinar la posición, primero verificás si los vectores de dirección son paralelos (uno es múltiplo escalar del otro). Si no lo son, buscás puntos de intersección resolviendo el sistema de ecuaciones.
Truco: Si los vectores de dirección no son paralelos pero no hay intersección, las rectas son oblicuas.

Para encontrar si dos rectas se intersectan, igualás sus ecuaciones paramétricas y resolvés el sistema resultante. Si el sistema tiene solución única, las rectas son secantes.
Cuando los vectores de dirección son paralelos, verificás si un punto de una recta pertenece a la otra. Si es así, son coincidentes; si no, son paralelas.
Importante: Un sistema inconsistente (sin solución) con vectores no paralelos indica rectas oblicuas.
El análisis sistemático te permite clasificar cualquier par de rectas: primero los vectores, después los puntos, y finalmente la intersección si es necesario.

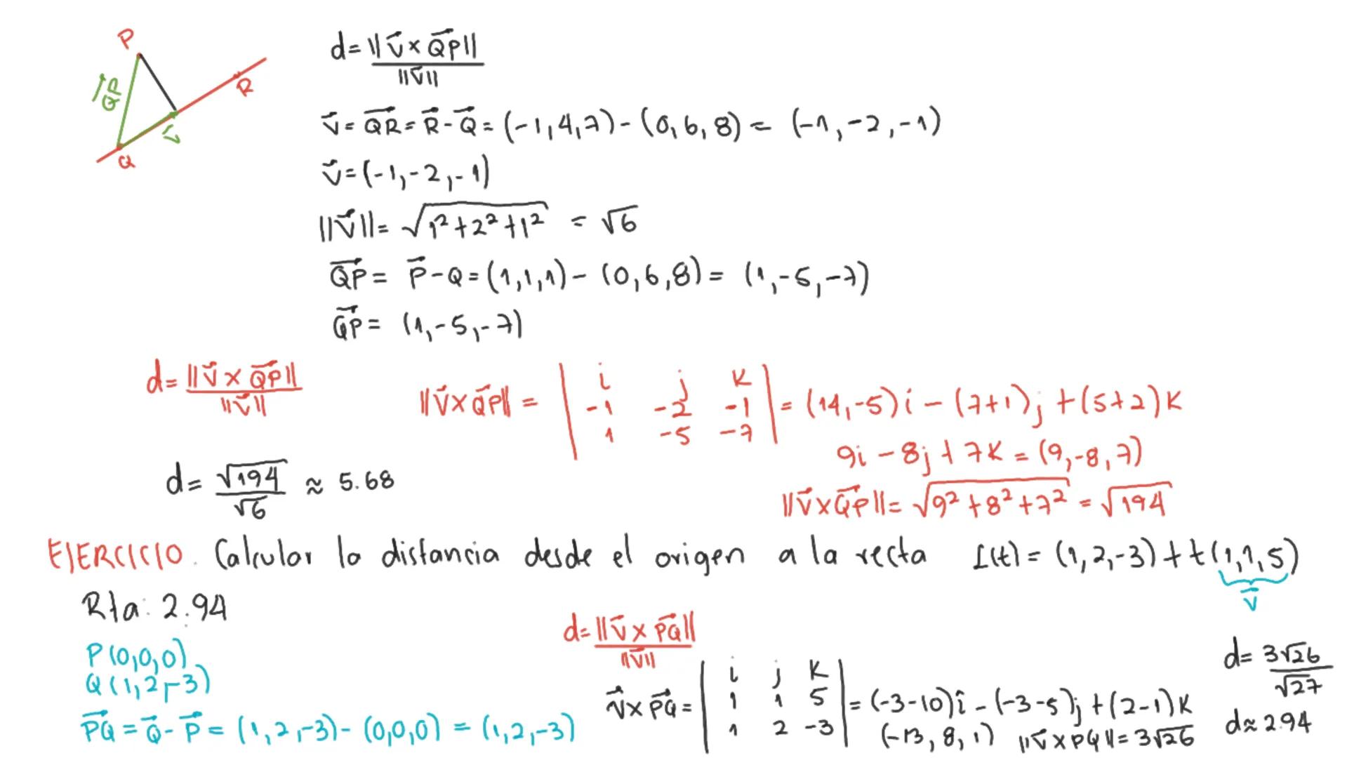
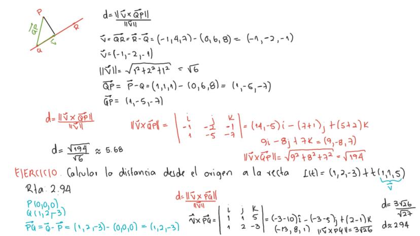
La distancia de un punto a una recta se calcula usando la fórmula: d = ||⃗v × ⃗AP|| / ||⃗v||, donde ⃗v es el vector de dirección y ⃗AP conecta un punto de la recta con el punto dado.
Esta fórmula viene de la geometría: el producto vectorial te da el área del paralelogramo, y al dividirla por la base obtenés la altura, que es justamente la distancia perpendicular.
Visualización: Imaginá que la distancia es la línea más corta entre el punto y la recta, siempre perpendicular.
Para aplicar la fórmula, calculás el producto vectorial, encontrás su magnitud, y dividís por la magnitud del vector de dirección. El resultado te da la distancia exacta.

En el ejemplo con P(1,1,1) y la recta que pasa por Q(0,6,8) y R(-1,4,7), primero calculamos ⃗v = ⃗QR = (-1,-2,-1) y ⃗QP = (1,-5,-7).
El producto vectorial ⃗v × ⃗QP nos da (9,-8,7). Su magnitud es √194, y la magnitud de ⃗v es √6. Por tanto, d = √(194/6) ≈ 5.68.
Para la distancia desde el origen a L(t) = (1,2,-3) + t(1,1,5), usamos el mismo procedimiento: el punto es (0,0,0) y un punto de la recta es (1,2,-3).
Resultado: La distancia aproximada es 2.94, que coincide con el cálculo usando la fórmula estándar.

Un plano en R³ se define usando un vector normal ⃗n = (a,b,c) y un punto conocido. El vector normal es perpendicular al plano y determina su orientación en el espacio.
La ecuación general del plano es ax + by + cz = d, donde (a,b,c) son las componentes del vector normal. Para obtenerla, usás que cualquier vector en el plano es perpendicular al vector normal.
Concepto clave: Si conocés el vector normal y un punto del plano, podés escribir la ecuación completa.
En el ejemplo con vector normal (2,-3,1) y punto (4,-2,5), la ecuación queda 2x - 3y + z = 19. Podés verificar sustituyendo el punto conocido en la ecuación.

Para verificar si un punto pertenece a un plano, simplemente sustituís sus coordenadas en la ecuación general. Si se cumple la igualdad, el punto está en el plano.
Con la ecuación 2x - 3y + z = 19, el punto A(0,-5,4) sí pertenece porque 2(0) - 3(-5) + 4 = 19. El punto B(2,2,-3) no pertenece porque da -5 ≠ 19.
Verificación rápida: Sustituí las coordenadas y comprobá si se cumple la igualdad.
Este método te permite encontrar puntos adicionales del plano asignando valores a dos variables y despejando la tercera. Es la base para graficar planos en el espacio tridimensional.
Nuestro compañero de IA está específicamente adaptado a las necesidades de los estudiantes. Basándonos en los millones de contenidos que tenemos en la plataforma, podemos dar a los estudiantes respuestas realmente significativas y relevantes. Pero no se trata solo de respuestas, el compañero también guía a los estudiantes a través de sus retos de aprendizaje diarios, con planes de aprendizaje personalizados, cuestionarios o contenidos en el chat y una personalización del 100% basada en las habilidades y el desarrollo de los estudiantes.
Puedes descargar la app en Google Play Store y Apple App Store.
¡Sí lo es! Tienes acceso totalmente gratuito a todo el contenido de la app, puedes chatear con otros alumnos y recibir ayuda inmeditamente. Puedes ganar dinero utilizando la aplicación, que te permitirá acceder a determinadas funciones.
Números enteros y operaciones entre números enteros (Suma, Resta, Multiplicación y División)
App Store
Google Play
La app es muy fácil de usar y está muy bien diseñada. Hasta ahora he encontrado todo lo que estaba buscando y he podido aprender mucho de las presentaciones. Definitivamente utilizaré la aplicación para un examen de clase. Y, por supuesto, también me sirve mucho de inspiración.
Pablo
usuario de iOS
Esta app es realmente genial. Hay tantos apuntes de clase y ayuda [...]. Tengo problemas con matemáticas, por ejemplo, y la aplicación tiene muchas opciones de ayuda. Gracias a Knowunity, he mejorado en mates. Se la recomiendo a todo el mundo.
Elena
usuaria de Android
Vaya, estoy realmente sorprendida. Acabo de probar la app porque la he visto anunciada muchas veces y me he quedado absolutamente alucinada. Esta app es LA AYUDA que quieres para el insti y, sobre todo, ofrece muchísimas cosas, como ejercicios y hojas informativas, que a mí personalmente me han sido MUY útiles.
Ana
usuaria de iOS
Solía tener problemas para completar mis tareas a tiempo hasta que descubrí Knowunity, que no solo facilita subir mi propio contenido sino que también proporciona excelentes resúmenes que hacen mi trabajo más rápido y eficiente.
Thomas R
usuario de iOS
Siempre era un desafío encontrar toda la información importante para mis tareas – desde que comencé a usar Knowunity, puedo simplemente subir mi contenido y beneficiarme de los resúmenes de otros, lo que me ayuda mucho con la organización.
Lisa M
usuaria de Android
A menudo sentía que no tenía suficiente visión general al estudiar, pero desde que comencé a usar Knowunity, eso ya no es un problema – subo mi contenido y siempre encuentro resúmenes útiles en la plataforma, lo que hace mi aprendizaje mucho más fácil.
David K
usuario de iOS
¡La app es buenísima! Sólo tengo que introducir el tema en la barra de búsqueda y recibo la respuesta muy rápido. No tengo que ver 10 vídeos de YouTube para entender algo, así que me ahorro tiempo. ¡Muy recomendable!
Sara
usuaria de Android
En el instituto era muy malo en matemáticas, pero gracias a la app, ahora saco mejores notas. Os agradezco mucho que hayáis creado la aplicación.
Roberto
usuario de Android
Solía ser realmente difícil recopilar toda la información para mis presentaciones. Pero desde que comencé a usar Knowunity, solo subo mis apuntes y encuentro increíbles resúmenes de otros – ¡hace mi estudio mucho más eficiente!
Julia S
usuaria de Android
Estaba constantemente estresado con todo el material de estudio, pero desde que comencé a usar Knowunity, subo mis cosas y reviso los geniales resúmenes de otros – realmente me ayuda a gestionar todo mejor y es mucho menos estresante.
Marco B
usuario de iOS
LOS QUIZ Y FLASHCARDS SON SÚPER ÚTILES Y ME ENCANTA Knowunity IA. ADEMÁS ES LITERALMENTE COMO CHATGPT PERO MÁS LISTO!! ME AYUDÓ TAMBIÉN CON MIS PROBLEMAS DE MÁSCARA!! Y CON MIS ASIGNATURAS DE VERDAD! OBVIO 😍😁😲🤑💗✨🎀😮
Sarah L
usuaria de Android
Antes pasaba horas buscando en Google materiales escolares, pero ahora solo subo mis cosas a Knowunity y reviso los útiles resúmenes de otros - me siento mucho más seguro al prepararme para los exámenes.
Paul T
usuario de iOS
La app es muy fácil de usar y está muy bien diseñada. Hasta ahora he encontrado todo lo que estaba buscando y he podido aprender mucho de las presentaciones. Definitivamente utilizaré la aplicación para un examen de clase. Y, por supuesto, también me sirve mucho de inspiración.
Pablo
usuario de iOS
Esta app es realmente genial. Hay tantos apuntes de clase y ayuda [...]. Tengo problemas con matemáticas, por ejemplo, y la aplicación tiene muchas opciones de ayuda. Gracias a Knowunity, he mejorado en mates. Se la recomiendo a todo el mundo.
Elena
usuaria de Android
Vaya, estoy realmente sorprendida. Acabo de probar la app porque la he visto anunciada muchas veces y me he quedado absolutamente alucinada. Esta app es LA AYUDA que quieres para el insti y, sobre todo, ofrece muchísimas cosas, como ejercicios y hojas informativas, que a mí personalmente me han sido MUY útiles.
Ana
usuaria de iOS
Solía tener problemas para completar mis tareas a tiempo hasta que descubrí Knowunity, que no solo facilita subir mi propio contenido sino que también proporciona excelentes resúmenes que hacen mi trabajo más rápido y eficiente.
Thomas R
usuario de iOS
Siempre era un desafío encontrar toda la información importante para mis tareas – desde que comencé a usar Knowunity, puedo simplemente subir mi contenido y beneficiarme de los resúmenes de otros, lo que me ayuda mucho con la organización.
Lisa M
usuaria de Android
A menudo sentía que no tenía suficiente visión general al estudiar, pero desde que comencé a usar Knowunity, eso ya no es un problema – subo mi contenido y siempre encuentro resúmenes útiles en la plataforma, lo que hace mi aprendizaje mucho más fácil.
David K
usuario de iOS
¡La app es buenísima! Sólo tengo que introducir el tema en la barra de búsqueda y recibo la respuesta muy rápido. No tengo que ver 10 vídeos de YouTube para entender algo, así que me ahorro tiempo. ¡Muy recomendable!
Sara
usuaria de Android
En el instituto era muy malo en matemáticas, pero gracias a la app, ahora saco mejores notas. Os agradezco mucho que hayáis creado la aplicación.
Roberto
usuario de Android
Solía ser realmente difícil recopilar toda la información para mis presentaciones. Pero desde que comencé a usar Knowunity, solo subo mis apuntes y encuentro increíbles resúmenes de otros – ¡hace mi estudio mucho más eficiente!
Julia S
usuaria de Android
Estaba constantemente estresado con todo el material de estudio, pero desde que comencé a usar Knowunity, subo mis cosas y reviso los geniales resúmenes de otros – realmente me ayuda a gestionar todo mejor y es mucho menos estresante.
Marco B
usuario de iOS
LOS QUIZ Y FLASHCARDS SON SÚPER ÚTILES Y ME ENCANTA Knowunity IA. ADEMÁS ES LITERALMENTE COMO CHATGPT PERO MÁS LISTO!! ME AYUDÓ TAMBIÉN CON MIS PROBLEMAS DE MÁSCARA!! Y CON MIS ASIGNATURAS DE VERDAD! OBVIO 😍😁😲🤑💗✨🎀😮
Sarah L
usuaria de Android
Antes pasaba horas buscando en Google materiales escolares, pero ahora solo subo mis cosas a Knowunity y reviso los útiles resúmenes de otros - me siento mucho más seguro al prepararme para los exámenes.
Paul T
usuario de iOS
Yeferson Gallego Mosquera
@efersonallegoosquera_5dyk
¿Te parece complicado trabajar con vectores y rectas en el espacio? En realidad, estos conceptos son herramientas súper útiles que te ayudarán a resolver problemas de geometría tridimensional. Vamos a explorar desde productos vectoriales hasta ecuaciones de planos de manera... Mostrar más

Acceso a todos los documentos
Mejora tus notas
Únete a millones de estudiantes
El producto vectorial es una operación que te permite encontrar un vector perpendicular a otros dos. Para calcularlo, usás la fórmula del determinante con los vectores base î, ĵ, k̂.
Cuando tenés dos puntos P y Q en el espacio, podés formar una recta. El vector de dirección se calcula como ⃗PQ = Q - P, que básicamente es restar las coordenadas del primer punto al segundo.
¡Clave! El vector de dirección te dice hacia dónde "apunta" la recta en el espacio.
Una recta en R³ se puede expresar de tres formas diferentes: ecuación vectorial , ecuaciones paramétricas y ecuaciones simétricas (fracciones igualadas).

Acceso a todos los documentos
Mejora tus notas
Únete a millones de estudiantes
Las ecuaciones paramétricas son súper útiles porque te permiten encontrar cualquier punto de la recta simplemente cambiando el valor de t. Si t = 0, obtenés el punto inicial; si t = 1, te movés una unidad en la dirección del vector.
Para verificar si un punto pertenece a una recta, sustituís sus coordenadas en las ecuaciones simétricas y verificás si todas las fracciones son iguales. Si dan el mismo valor, el punto está en la recta.
Consejo: Practicá con diferentes valores de t para visualizar cómo se mueven los puntos a lo largo de la recta.
El truco está en calcular bien el vector de dirección desde el principio. Una vez que lo tenés, el resto es solo aplicar las fórmulas correctamente.

Acceso a todos los documentos
Mejora tus notas
Únete a millones de estudiantes
Con los puntos P(-5,-3,4) y Q(-2,-3,3), calculamos ⃗PQ = (3,0,-1). Notá que la coordenada y no cambia, lo que significa que la recta es paralela al plano xz.
Las ecuaciones paramétricas quedan: x = -5 + 3t, y = -3, z = 4 - t. Para encontrar otros puntos de la recta, simplemente elegís valores de t: si t = 2, obtenés (1,-3,2).
Verificación: Siempre podés comprobar tu respuesta sustituyendo un punto conocido en tus ecuaciones.
Para verificar si un punto pertenece a la recta, usás las ecuaciones simétricas y verificás que todas las fracciones sean iguales. Si una fracción da un resultado diferente, el punto no pertenece a la recta.

Acceso a todos los documentos
Mejora tus notas
Únete a millones de estudiantes
Dos rectas en el espacio pueden tener cuatro posiciones diferentes. Las rectas paralelas tienen vectores de dirección proporcionales pero no comparten puntos. Las coincidentes son básicamente la misma recta.
Las rectas secantes se cruzan en exactamente un punto y están en el mismo plano. Las oblicuas son las más interesantes: no son paralelas ni se cruzan porque están en planos diferentes.
Para determinar la posición, primero verificás si los vectores de dirección son paralelos (uno es múltiplo escalar del otro). Si no lo son, buscás puntos de intersección resolviendo el sistema de ecuaciones.
Truco: Si los vectores de dirección no son paralelos pero no hay intersección, las rectas son oblicuas.

Acceso a todos los documentos
Mejora tus notas
Únete a millones de estudiantes
Para encontrar si dos rectas se intersectan, igualás sus ecuaciones paramétricas y resolvés el sistema resultante. Si el sistema tiene solución única, las rectas son secantes.
Cuando los vectores de dirección son paralelos, verificás si un punto de una recta pertenece a la otra. Si es así, son coincidentes; si no, son paralelas.
Importante: Un sistema inconsistente (sin solución) con vectores no paralelos indica rectas oblicuas.
El análisis sistemático te permite clasificar cualquier par de rectas: primero los vectores, después los puntos, y finalmente la intersección si es necesario.

Acceso a todos los documentos
Mejora tus notas
Únete a millones de estudiantes
La distancia de un punto a una recta se calcula usando la fórmula: d = ||⃗v × ⃗AP|| / ||⃗v||, donde ⃗v es el vector de dirección y ⃗AP conecta un punto de la recta con el punto dado.
Esta fórmula viene de la geometría: el producto vectorial te da el área del paralelogramo, y al dividirla por la base obtenés la altura, que es justamente la distancia perpendicular.
Visualización: Imaginá que la distancia es la línea más corta entre el punto y la recta, siempre perpendicular.
Para aplicar la fórmula, calculás el producto vectorial, encontrás su magnitud, y dividís por la magnitud del vector de dirección. El resultado te da la distancia exacta.

Acceso a todos los documentos
Mejora tus notas
Únete a millones de estudiantes
En el ejemplo con P(1,1,1) y la recta que pasa por Q(0,6,8) y R(-1,4,7), primero calculamos ⃗v = ⃗QR = (-1,-2,-1) y ⃗QP = (1,-5,-7).
El producto vectorial ⃗v × ⃗QP nos da (9,-8,7). Su magnitud es √194, y la magnitud de ⃗v es √6. Por tanto, d = √(194/6) ≈ 5.68.
Para la distancia desde el origen a L(t) = (1,2,-3) + t(1,1,5), usamos el mismo procedimiento: el punto es (0,0,0) y un punto de la recta es (1,2,-3).
Resultado: La distancia aproximada es 2.94, que coincide con el cálculo usando la fórmula estándar.

Acceso a todos los documentos
Mejora tus notas
Únete a millones de estudiantes
Un plano en R³ se define usando un vector normal ⃗n = (a,b,c) y un punto conocido. El vector normal es perpendicular al plano y determina su orientación en el espacio.
La ecuación general del plano es ax + by + cz = d, donde (a,b,c) son las componentes del vector normal. Para obtenerla, usás que cualquier vector en el plano es perpendicular al vector normal.
Concepto clave: Si conocés el vector normal y un punto del plano, podés escribir la ecuación completa.
En el ejemplo con vector normal (2,-3,1) y punto (4,-2,5), la ecuación queda 2x - 3y + z = 19. Podés verificar sustituyendo el punto conocido en la ecuación.

Acceso a todos los documentos
Mejora tus notas
Únete a millones de estudiantes
Para verificar si un punto pertenece a un plano, simplemente sustituís sus coordenadas en la ecuación general. Si se cumple la igualdad, el punto está en el plano.
Con la ecuación 2x - 3y + z = 19, el punto A(0,-5,4) sí pertenece porque 2(0) - 3(-5) + 4 = 19. El punto B(2,2,-3) no pertenece porque da -5 ≠ 19.
Verificación rápida: Sustituí las coordenadas y comprobá si se cumple la igualdad.
Este método te permite encontrar puntos adicionales del plano asignando valores a dos variables y despejando la tercera. Es la base para graficar planos en el espacio tridimensional.
Nuestro compañero de IA está específicamente adaptado a las necesidades de los estudiantes. Basándonos en los millones de contenidos que tenemos en la plataforma, podemos dar a los estudiantes respuestas realmente significativas y relevantes. Pero no se trata solo de respuestas, el compañero también guía a los estudiantes a través de sus retos de aprendizaje diarios, con planes de aprendizaje personalizados, cuestionarios o contenidos en el chat y una personalización del 100% basada en las habilidades y el desarrollo de los estudiantes.
Puedes descargar la app en Google Play Store y Apple App Store.
¡Sí lo es! Tienes acceso totalmente gratuito a todo el contenido de la app, puedes chatear con otros alumnos y recibir ayuda inmeditamente. Puedes ganar dinero utilizando la aplicación, que te permitirá acceder a determinadas funciones.
3
Herramientas Inteligentes NUEVO
Transforma estos apuntes en: ✓ 50+ Preguntas de Práctica ✓ Fichas Interactivas ✓ Examen Completo de Práctica ✓ Esquemas de Ensayo
Números enteros y operaciones entre números enteros (Suma, Resta, Multiplicación y División)
App Store
Google Play
La app es muy fácil de usar y está muy bien diseñada. Hasta ahora he encontrado todo lo que estaba buscando y he podido aprender mucho de las presentaciones. Definitivamente utilizaré la aplicación para un examen de clase. Y, por supuesto, también me sirve mucho de inspiración.
Pablo
usuario de iOS
Esta app es realmente genial. Hay tantos apuntes de clase y ayuda [...]. Tengo problemas con matemáticas, por ejemplo, y la aplicación tiene muchas opciones de ayuda. Gracias a Knowunity, he mejorado en mates. Se la recomiendo a todo el mundo.
Elena
usuaria de Android
Vaya, estoy realmente sorprendida. Acabo de probar la app porque la he visto anunciada muchas veces y me he quedado absolutamente alucinada. Esta app es LA AYUDA que quieres para el insti y, sobre todo, ofrece muchísimas cosas, como ejercicios y hojas informativas, que a mí personalmente me han sido MUY útiles.
Ana
usuaria de iOS
Solía tener problemas para completar mis tareas a tiempo hasta que descubrí Knowunity, que no solo facilita subir mi propio contenido sino que también proporciona excelentes resúmenes que hacen mi trabajo más rápido y eficiente.
Thomas R
usuario de iOS
Siempre era un desafío encontrar toda la información importante para mis tareas – desde que comencé a usar Knowunity, puedo simplemente subir mi contenido y beneficiarme de los resúmenes de otros, lo que me ayuda mucho con la organización.
Lisa M
usuaria de Android
A menudo sentía que no tenía suficiente visión general al estudiar, pero desde que comencé a usar Knowunity, eso ya no es un problema – subo mi contenido y siempre encuentro resúmenes útiles en la plataforma, lo que hace mi aprendizaje mucho más fácil.
David K
usuario de iOS
¡La app es buenísima! Sólo tengo que introducir el tema en la barra de búsqueda y recibo la respuesta muy rápido. No tengo que ver 10 vídeos de YouTube para entender algo, así que me ahorro tiempo. ¡Muy recomendable!
Sara
usuaria de Android
En el instituto era muy malo en matemáticas, pero gracias a la app, ahora saco mejores notas. Os agradezco mucho que hayáis creado la aplicación.
Roberto
usuario de Android
Solía ser realmente difícil recopilar toda la información para mis presentaciones. Pero desde que comencé a usar Knowunity, solo subo mis apuntes y encuentro increíbles resúmenes de otros – ¡hace mi estudio mucho más eficiente!
Julia S
usuaria de Android
Estaba constantemente estresado con todo el material de estudio, pero desde que comencé a usar Knowunity, subo mis cosas y reviso los geniales resúmenes de otros – realmente me ayuda a gestionar todo mejor y es mucho menos estresante.
Marco B
usuario de iOS
LOS QUIZ Y FLASHCARDS SON SÚPER ÚTILES Y ME ENCANTA Knowunity IA. ADEMÁS ES LITERALMENTE COMO CHATGPT PERO MÁS LISTO!! ME AYUDÓ TAMBIÉN CON MIS PROBLEMAS DE MÁSCARA!! Y CON MIS ASIGNATURAS DE VERDAD! OBVIO 😍😁😲🤑💗✨🎀😮
Sarah L
usuaria de Android
Antes pasaba horas buscando en Google materiales escolares, pero ahora solo subo mis cosas a Knowunity y reviso los útiles resúmenes de otros - me siento mucho más seguro al prepararme para los exámenes.
Paul T
usuario de iOS
La app es muy fácil de usar y está muy bien diseñada. Hasta ahora he encontrado todo lo que estaba buscando y he podido aprender mucho de las presentaciones. Definitivamente utilizaré la aplicación para un examen de clase. Y, por supuesto, también me sirve mucho de inspiración.
Pablo
usuario de iOS
Esta app es realmente genial. Hay tantos apuntes de clase y ayuda [...]. Tengo problemas con matemáticas, por ejemplo, y la aplicación tiene muchas opciones de ayuda. Gracias a Knowunity, he mejorado en mates. Se la recomiendo a todo el mundo.
Elena
usuaria de Android
Vaya, estoy realmente sorprendida. Acabo de probar la app porque la he visto anunciada muchas veces y me he quedado absolutamente alucinada. Esta app es LA AYUDA que quieres para el insti y, sobre todo, ofrece muchísimas cosas, como ejercicios y hojas informativas, que a mí personalmente me han sido MUY útiles.
Ana
usuaria de iOS
Solía tener problemas para completar mis tareas a tiempo hasta que descubrí Knowunity, que no solo facilita subir mi propio contenido sino que también proporciona excelentes resúmenes que hacen mi trabajo más rápido y eficiente.
Thomas R
usuario de iOS
Siempre era un desafío encontrar toda la información importante para mis tareas – desde que comencé a usar Knowunity, puedo simplemente subir mi contenido y beneficiarme de los resúmenes de otros, lo que me ayuda mucho con la organización.
Lisa M
usuaria de Android
A menudo sentía que no tenía suficiente visión general al estudiar, pero desde que comencé a usar Knowunity, eso ya no es un problema – subo mi contenido y siempre encuentro resúmenes útiles en la plataforma, lo que hace mi aprendizaje mucho más fácil.
David K
usuario de iOS
¡La app es buenísima! Sólo tengo que introducir el tema en la barra de búsqueda y recibo la respuesta muy rápido. No tengo que ver 10 vídeos de YouTube para entender algo, así que me ahorro tiempo. ¡Muy recomendable!
Sara
usuaria de Android
En el instituto era muy malo en matemáticas, pero gracias a la app, ahora saco mejores notas. Os agradezco mucho que hayáis creado la aplicación.
Roberto
usuario de Android
Solía ser realmente difícil recopilar toda la información para mis presentaciones. Pero desde que comencé a usar Knowunity, solo subo mis apuntes y encuentro increíbles resúmenes de otros – ¡hace mi estudio mucho más eficiente!
Julia S
usuaria de Android
Estaba constantemente estresado con todo el material de estudio, pero desde que comencé a usar Knowunity, subo mis cosas y reviso los geniales resúmenes de otros – realmente me ayuda a gestionar todo mejor y es mucho menos estresante.
Marco B
usuario de iOS
LOS QUIZ Y FLASHCARDS SON SÚPER ÚTILES Y ME ENCANTA Knowunity IA. ADEMÁS ES LITERALMENTE COMO CHATGPT PERO MÁS LISTO!! ME AYUDÓ TAMBIÉN CON MIS PROBLEMAS DE MÁSCARA!! Y CON MIS ASIGNATURAS DE VERDAD! OBVIO 😍😁😲🤑💗✨🎀😮
Sarah L
usuaria de Android
Antes pasaba horas buscando en Google materiales escolares, pero ahora solo subo mis cosas a Knowunity y reviso los útiles resúmenes de otros - me siento mucho más seguro al prepararme para los exámenes.
Paul T
usuario de iOS