¿Sabías que los vectores tienen propiedades súper útiles que te... Mostrar más
Inscríbete para ver los apuntes¡Es gratis!
Acceso a todos los documentos
Mejora tus notas
Únete a millones de estudiantes
Knowunity AI
Asignaturas
Triangle Congruence and Similarity Theorems
Triangle Properties and Classification
Linear Equations and Graphs
Geometric Angle Relationships
Trigonometric Functions and Identities
Equation Solving Techniques
Circle Geometry Fundamentals
Division Operations and Methods
Basic Differentiation Rules
Exponent and Logarithm Properties
Mostrar todos los temas
Human Organ Systems
Reproductive Cell Cycles
Biological Sciences Subdisciplines
Cellular Energy Metabolism
Autotrophic Energy Processes
Inheritance Patterns and Principles
Biomolecular Structure and Organization
Cell Cycle and Division Mechanics
Cellular Organization and Development
Biological Structural Organization
Mostrar todos los temas
Chemical Sciences and Applications
Atomic Structure and Composition
Molecular Electron Structure Representation
Atomic Electron Behavior
Matter Properties and Water
Mole Concept and Calculations
Gas Laws and Behavior
Periodic Table Organization
Chemical Thermodynamics Fundamentals
Chemical Bond Types and Properties
Mostrar todos los temas
European Renaissance and Enlightenment
European Cultural Movements 800-1920
American Revolution Era 1763-1797
American Civil War 1861-1865
Global Imperial Systems
Mongol and Chinese Dynasties
U.S. Presidents and World Leaders
Historical Sources and Documentation
World Wars Era and Impact
World Religious Systems
Mostrar todos los temas
Classic and Contemporary Novels
Literary Character Analysis
Rhetorical Theory and Practice
Classic Literary Narratives
Reading Analysis and Interpretation
Narrative Structure and Techniques
English Language Components
Influential English-Language Authors
Basic Sentence Structure
Narrative Voice and Perspective
Mostrar todos los temas
165
•
Actualizado Apr 8, 2026
•
Yeferson Gallego Mosquera
@efersonallegoosquera_5dyk
¿Sabías que los vectores tienen propiedades súper útiles que te... Mostrar más













El producto escalar es como una herramienta mágica que te dice qué tanto "se parecen" dos vectores. Tiene cinco propiedades clave que necesitas memorizar porque aparecen en todos los exámenes.
La primera propiedad te dice que - básicamente, un vector consigo mismo siempre da positivo (excepto el vector cero). La segunda es que el orden no importa: (propiedad conmutativa).
La desigualdad de Cauchy-Schwarz suena complicada, pero es súper importante: . Esta desigualdad aparece porque el coseno del ángulo entre vectores nunca puede ser mayor que 1.
Tip clave: La fórmula te permite encontrar el ángulo entre cualquier par de vectores.

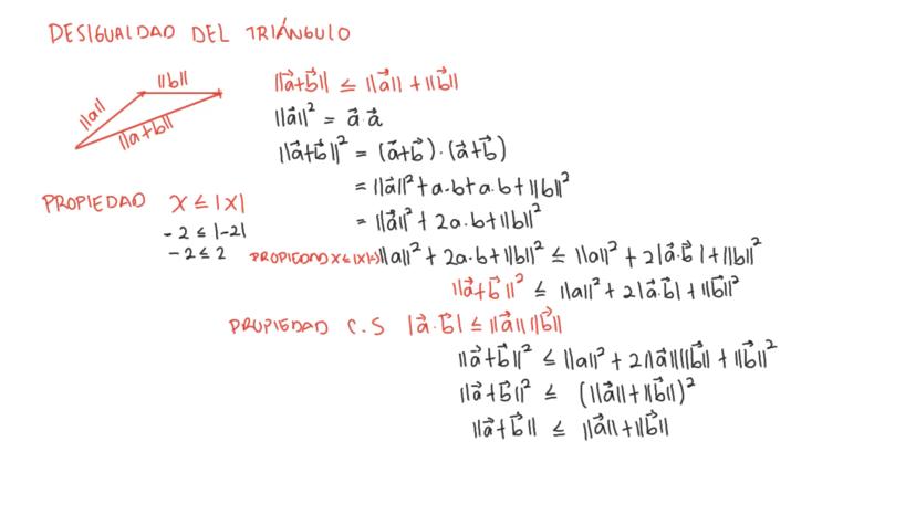
¿Alguna vez te has preguntado por qué el camino más corto entre dos puntos es la línea recta? La desigualdad del triángulo lo explica matemáticamente: .
Para demostrar esta propiedad, usamos el truco de elevar al cuadrado ambos lados. Cuando desarrollas , obtienes .
El paso clave es usar la propiedad de que cualquier número es menor o igual que su valor absoluto. Luego aplicamos Cauchy-Schwarz para reemplazar por .
Recuerda: Esta desigualdad te dice que la suma de las magnitudes de dos vectores siempre es mayor o igual que la magnitud de su suma vectorial.

Calcular ángulos entre vectores es más fácil de lo que parece. Usas la fórmula y listo.
Hay dos casos especiales que siempre aparecen en los exámenes: cuando , los vectores son perpendiculares (ángulo de 90°). Cuando el ángulo es 0° o 180°, los vectores son paralelos.
Para el ejercicio de encontrar valores de λ donde los vectores sean ortogonales, simplemente igualas el producto escalar a cero: . Con los vectores dados, obtienes , que se resuelve factorizando: .
Dato útil: Los vectores ortogonales aparecen constantemente en física (fuerzas perpendiculares) y en geometría analítica.

Cuando tienes que calcular , el truco está en usar la fórmula .
Al desarrollar el producto punto, obtienes . Con y , solo necesitas el valor de .
Para vectores perpendiculares (), , entonces . Para , , y obtienes .
Estrategia: Siempre eleva al cuadrado primero cuando calcules normas de sumas o diferencias de vectores.

Las proyecciones vectoriales te permiten descomponer un vector en direcciones específicas - súper útil en física para analizar fuerzas.
La fórmula de proyección es \text{Proy}_\vec{v}\vec{u} = \frac{\vec{u} \cdot \vec{v}}{||\vec{v}||^2}\vec{v}, mientras que la componente escalar es \text{comp}_\vec{v}\vec{u} = \frac{\vec{u} \cdot \vec{v}}{||\vec{v}||}.
En el ejemplo con y , primero calculas y .
Visualízalo: La proyección es la "sombra" de un vector sobre otro, como cuando el sol proyecta tu sombra en el suelo.

El producto vectorial (o producto cruz) solo existe en y su resultado es un vector perpendicular a los dos vectores originales. Antes de dominarlo, necesitas entender los determinantes.
Para matrices 2×2, el determinante es . Si el determinante es diferente de cero, el sistema tiene solución única; si es cero, tiene infinitas soluciones o ninguna.
Para matrices 3×3, expandes por la primera fila: .
Recuerda: Los signos en la expansión siguen el patrón + - + para la primera fila.

El producto vectorial se calcula como un determinante especial: .
Al expandir, obtienes . Nota que el término en lleva signo negativo.
Los productos cruz de los vectores unitarios siguen la regla de la mano derecha: , , . En sentido contrario llevan signo negativo.
Truco nemotécnico: Para recordar la secuencia, piensa en las letras del abecedario: i→j→k→i...

La norma del producto vectorial tiene una interpretación geométrica súper importante: . Esta es exactamente el área del paralelogramo formado por los dos vectores.
La identidad de Lagrange conecta el producto vectorial con el producto escalar: . Esta fórmula es súper útil cuando no conoces el ángulo directamente.
Para demostrar la identidad, usas la relación y la identidad trigonométrica .
Aplicación práctica: En física, el área del paralelogramo aparece en el cálculo de torque y momento angular.

El producto vectorial tiene propiedades que lo hacen diferente del producto escalar. La más importante: (anticonmutativo).
Otras propiedades clave: es distributivo (), cualquier vector cruz consigo mismo da cero (), y el resultado es siempre perpendicular a ambos vectores originales.
Para encontrar un vector unitario ortogonal a dos vectores dados, calculas su producto cruz y luego lo normalizas: .
Dato importante: Si dos vectores son paralelos, su producto vectorial es el vector cero.

Los ejercicios combinados te ayudan a dominar todas las propiedades juntas. Cuando tienes , puedes usar la propiedad de que para simplificar cálculos.
Para calcular , desarrollas: .
Para , usas la identidad de Lagrange cuando los vectores son ortogonales: , porque .
Estrategia final: Siempre verifica si los vectores son ortogonales o paralelos - esto simplifica muchísimo los cálculos.


Nuestro compañero de IA está específicamente adaptado a las necesidades de los estudiantes. Basándonos en los millones de contenidos que tenemos en la plataforma, podemos dar a los estudiantes respuestas realmente significativas y relevantes. Pero no se trata solo de respuestas, el compañero también guía a los estudiantes a través de sus retos de aprendizaje diarios, con planes de aprendizaje personalizados, cuestionarios o contenidos en el chat y una personalización del 100% basada en las habilidades y el desarrollo de los estudiantes.
Puedes descargar la app en Google Play Store y Apple App Store.
¡Sí lo es! Tienes acceso totalmente gratuito a todo el contenido de la app, puedes chatear con otros alumnos y recibir ayuda inmeditamente. Puedes ganar dinero utilizando la aplicación, que te permitirá acceder a determinadas funciones.
Números enteros y operaciones entre números enteros (Suma, Resta, Multiplicación y División)
App Store
Google Play
La app es muy fácil de usar y está muy bien diseñada. Hasta ahora he encontrado todo lo que estaba buscando y he podido aprender mucho de las presentaciones. Definitivamente utilizaré la aplicación para un examen de clase. Y, por supuesto, también me sirve mucho de inspiración.
Pablo
usuario de iOS
Esta app es realmente genial. Hay tantos apuntes de clase y ayuda [...]. Tengo problemas con matemáticas, por ejemplo, y la aplicación tiene muchas opciones de ayuda. Gracias a Knowunity, he mejorado en mates. Se la recomiendo a todo el mundo.
Elena
usuaria de Android
Vaya, estoy realmente sorprendida. Acabo de probar la app porque la he visto anunciada muchas veces y me he quedado absolutamente alucinada. Esta app es LA AYUDA que quieres para el insti y, sobre todo, ofrece muchísimas cosas, como ejercicios y hojas informativas, que a mí personalmente me han sido MUY útiles.
Ana
usuaria de iOS
Solía tener problemas para completar mis tareas a tiempo hasta que descubrí Knowunity, que no solo facilita subir mi propio contenido sino que también proporciona excelentes resúmenes que hacen mi trabajo más rápido y eficiente.
Thomas R
usuario de iOS
Siempre era un desafío encontrar toda la información importante para mis tareas – desde que comencé a usar Knowunity, puedo simplemente subir mi contenido y beneficiarme de los resúmenes de otros, lo que me ayuda mucho con la organización.
Lisa M
usuaria de Android
A menudo sentía que no tenía suficiente visión general al estudiar, pero desde que comencé a usar Knowunity, eso ya no es un problema – subo mi contenido y siempre encuentro resúmenes útiles en la plataforma, lo que hace mi aprendizaje mucho más fácil.
David K
usuario de iOS
¡La app es buenísima! Sólo tengo que introducir el tema en la barra de búsqueda y recibo la respuesta muy rápido. No tengo que ver 10 vídeos de YouTube para entender algo, así que me ahorro tiempo. ¡Muy recomendable!
Sara
usuaria de Android
En el instituto era muy malo en matemáticas, pero gracias a la app, ahora saco mejores notas. Os agradezco mucho que hayáis creado la aplicación.
Roberto
usuario de Android
Solía ser realmente difícil recopilar toda la información para mis presentaciones. Pero desde que comencé a usar Knowunity, solo subo mis apuntes y encuentro increíbles resúmenes de otros – ¡hace mi estudio mucho más eficiente!
Julia S
usuaria de Android
Estaba constantemente estresado con todo el material de estudio, pero desde que comencé a usar Knowunity, subo mis cosas y reviso los geniales resúmenes de otros – realmente me ayuda a gestionar todo mejor y es mucho menos estresante.
Marco B
usuario de iOS
LOS QUIZ Y FLASHCARDS SON SÚPER ÚTILES Y ME ENCANTA Knowunity IA. ADEMÁS ES LITERALMENTE COMO CHATGPT PERO MÁS LISTO!! ME AYUDÓ TAMBIÉN CON MIS PROBLEMAS DE MÁSCARA!! Y CON MIS ASIGNATURAS DE VERDAD! OBVIO 😍😁😲🤑💗✨🎀😮
Sarah L
usuaria de Android
Antes pasaba horas buscando en Google materiales escolares, pero ahora solo subo mis cosas a Knowunity y reviso los útiles resúmenes de otros - me siento mucho más seguro al prepararme para los exámenes.
Paul T
usuario de iOS
La app es muy fácil de usar y está muy bien diseñada. Hasta ahora he encontrado todo lo que estaba buscando y he podido aprender mucho de las presentaciones. Definitivamente utilizaré la aplicación para un examen de clase. Y, por supuesto, también me sirve mucho de inspiración.
Pablo
usuario de iOS
Esta app es realmente genial. Hay tantos apuntes de clase y ayuda [...]. Tengo problemas con matemáticas, por ejemplo, y la aplicación tiene muchas opciones de ayuda. Gracias a Knowunity, he mejorado en mates. Se la recomiendo a todo el mundo.
Elena
usuaria de Android
Vaya, estoy realmente sorprendida. Acabo de probar la app porque la he visto anunciada muchas veces y me he quedado absolutamente alucinada. Esta app es LA AYUDA que quieres para el insti y, sobre todo, ofrece muchísimas cosas, como ejercicios y hojas informativas, que a mí personalmente me han sido MUY útiles.
Ana
usuaria de iOS
Solía tener problemas para completar mis tareas a tiempo hasta que descubrí Knowunity, que no solo facilita subir mi propio contenido sino que también proporciona excelentes resúmenes que hacen mi trabajo más rápido y eficiente.
Thomas R
usuario de iOS
Siempre era un desafío encontrar toda la información importante para mis tareas – desde que comencé a usar Knowunity, puedo simplemente subir mi contenido y beneficiarme de los resúmenes de otros, lo que me ayuda mucho con la organización.
Lisa M
usuaria de Android
A menudo sentía que no tenía suficiente visión general al estudiar, pero desde que comencé a usar Knowunity, eso ya no es un problema – subo mi contenido y siempre encuentro resúmenes útiles en la plataforma, lo que hace mi aprendizaje mucho más fácil.
David K
usuario de iOS
¡La app es buenísima! Sólo tengo que introducir el tema en la barra de búsqueda y recibo la respuesta muy rápido. No tengo que ver 10 vídeos de YouTube para entender algo, así que me ahorro tiempo. ¡Muy recomendable!
Sara
usuaria de Android
En el instituto era muy malo en matemáticas, pero gracias a la app, ahora saco mejores notas. Os agradezco mucho que hayáis creado la aplicación.
Roberto
usuario de Android
Solía ser realmente difícil recopilar toda la información para mis presentaciones. Pero desde que comencé a usar Knowunity, solo subo mis apuntes y encuentro increíbles resúmenes de otros – ¡hace mi estudio mucho más eficiente!
Julia S
usuaria de Android
Estaba constantemente estresado con todo el material de estudio, pero desde que comencé a usar Knowunity, subo mis cosas y reviso los geniales resúmenes de otros – realmente me ayuda a gestionar todo mejor y es mucho menos estresante.
Marco B
usuario de iOS
LOS QUIZ Y FLASHCARDS SON SÚPER ÚTILES Y ME ENCANTA Knowunity IA. ADEMÁS ES LITERALMENTE COMO CHATGPT PERO MÁS LISTO!! ME AYUDÓ TAMBIÉN CON MIS PROBLEMAS DE MÁSCARA!! Y CON MIS ASIGNATURAS DE VERDAD! OBVIO 😍😁😲🤑💗✨🎀😮
Sarah L
usuaria de Android
Antes pasaba horas buscando en Google materiales escolares, pero ahora solo subo mis cosas a Knowunity y reviso los útiles resúmenes de otros - me siento mucho más seguro al prepararme para los exámenes.
Paul T
usuario de iOS
Yeferson Gallego Mosquera
@efersonallegoosquera_5dyk
¿Sabías que los vectores tienen propiedades súper útiles que te permiten resolver problemas de física y geometría de manera más fácil? En este tema vas a dominar el producto escalar, el producto vectorial y sus aplicaciones prácticas.

Acceso a todos los documentos
Mejora tus notas
Únete a millones de estudiantes
El producto escalar es como una herramienta mágica que te dice qué tanto "se parecen" dos vectores. Tiene cinco propiedades clave que necesitas memorizar porque aparecen en todos los exámenes.
La primera propiedad te dice que - básicamente, un vector consigo mismo siempre da positivo (excepto el vector cero). La segunda es que el orden no importa: (propiedad conmutativa).
La desigualdad de Cauchy-Schwarz suena complicada, pero es súper importante: . Esta desigualdad aparece porque el coseno del ángulo entre vectores nunca puede ser mayor que 1.
Tip clave: La fórmula te permite encontrar el ángulo entre cualquier par de vectores.

Acceso a todos los documentos
Mejora tus notas
Únete a millones de estudiantes
¿Alguna vez te has preguntado por qué el camino más corto entre dos puntos es la línea recta? La desigualdad del triángulo lo explica matemáticamente: .
Para demostrar esta propiedad, usamos el truco de elevar al cuadrado ambos lados. Cuando desarrollas , obtienes .
El paso clave es usar la propiedad de que cualquier número es menor o igual que su valor absoluto. Luego aplicamos Cauchy-Schwarz para reemplazar por .
Recuerda: Esta desigualdad te dice que la suma de las magnitudes de dos vectores siempre es mayor o igual que la magnitud de su suma vectorial.

Acceso a todos los documentos
Mejora tus notas
Únete a millones de estudiantes
Calcular ángulos entre vectores es más fácil de lo que parece. Usas la fórmula y listo.
Hay dos casos especiales que siempre aparecen en los exámenes: cuando , los vectores son perpendiculares (ángulo de 90°). Cuando el ángulo es 0° o 180°, los vectores son paralelos.
Para el ejercicio de encontrar valores de λ donde los vectores sean ortogonales, simplemente igualas el producto escalar a cero: . Con los vectores dados, obtienes , que se resuelve factorizando: .
Dato útil: Los vectores ortogonales aparecen constantemente en física (fuerzas perpendiculares) y en geometría analítica.

Acceso a todos los documentos
Mejora tus notas
Únete a millones de estudiantes
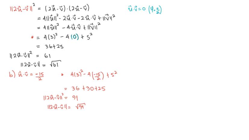
Cuando tienes que calcular , el truco está en usar la fórmula .
Al desarrollar el producto punto, obtienes . Con y , solo necesitas el valor de .
Para vectores perpendiculares (), , entonces . Para , , y obtienes .
Estrategia: Siempre eleva al cuadrado primero cuando calcules normas de sumas o diferencias de vectores.

Acceso a todos los documentos
Mejora tus notas
Únete a millones de estudiantes
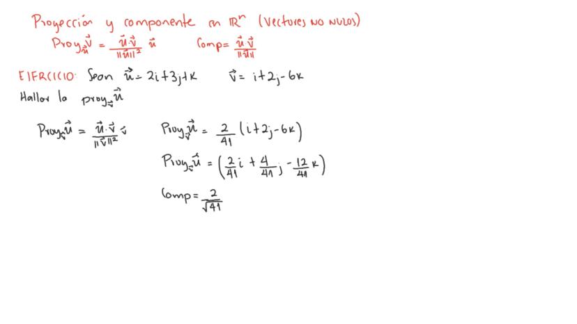
Las proyecciones vectoriales te permiten descomponer un vector en direcciones específicas - súper útil en física para analizar fuerzas.
La fórmula de proyección es \text{Proy}_\vec{v}\vec{u} = \frac{\vec{u} \cdot \vec{v}}{||\vec{v}||^2}\vec{v}, mientras que la componente escalar es \text{comp}_\vec{v}\vec{u} = \frac{\vec{u} \cdot \vec{v}}{||\vec{v}||}.
En el ejemplo con y , primero calculas y .
Visualízalo: La proyección es la "sombra" de un vector sobre otro, como cuando el sol proyecta tu sombra en el suelo.

Acceso a todos los documentos
Mejora tus notas
Únete a millones de estudiantes
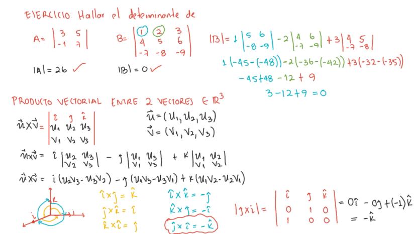
El producto vectorial (o producto cruz) solo existe en y su resultado es un vector perpendicular a los dos vectores originales. Antes de dominarlo, necesitas entender los determinantes.
Para matrices 2×2, el determinante es . Si el determinante es diferente de cero, el sistema tiene solución única; si es cero, tiene infinitas soluciones o ninguna.
Para matrices 3×3, expandes por la primera fila: .
Recuerda: Los signos en la expansión siguen el patrón + - + para la primera fila.

Acceso a todos los documentos
Mejora tus notas
Únete a millones de estudiantes
El producto vectorial se calcula como un determinante especial: .
Al expandir, obtienes . Nota que el término en lleva signo negativo.
Los productos cruz de los vectores unitarios siguen la regla de la mano derecha: , , . En sentido contrario llevan signo negativo.
Truco nemotécnico: Para recordar la secuencia, piensa en las letras del abecedario: i→j→k→i...

Acceso a todos los documentos
Mejora tus notas
Únete a millones de estudiantes
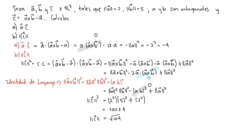
La norma del producto vectorial tiene una interpretación geométrica súper importante: . Esta es exactamente el área del paralelogramo formado por los dos vectores.
La identidad de Lagrange conecta el producto vectorial con el producto escalar: . Esta fórmula es súper útil cuando no conoces el ángulo directamente.
Para demostrar la identidad, usas la relación y la identidad trigonométrica .
Aplicación práctica: En física, el área del paralelogramo aparece en el cálculo de torque y momento angular.

Acceso a todos los documentos
Mejora tus notas
Únete a millones de estudiantes
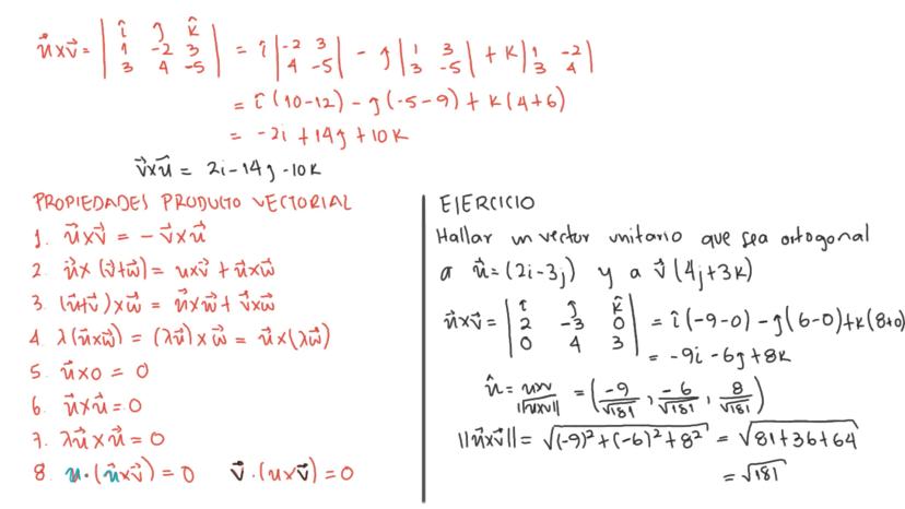
El producto vectorial tiene propiedades que lo hacen diferente del producto escalar. La más importante: (anticonmutativo).
Otras propiedades clave: es distributivo (), cualquier vector cruz consigo mismo da cero (), y el resultado es siempre perpendicular a ambos vectores originales.
Para encontrar un vector unitario ortogonal a dos vectores dados, calculas su producto cruz y luego lo normalizas: .
Dato importante: Si dos vectores son paralelos, su producto vectorial es el vector cero.

Acceso a todos los documentos
Mejora tus notas
Únete a millones de estudiantes
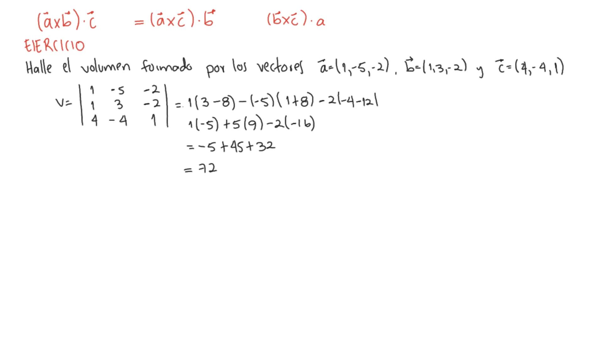
Los ejercicios combinados te ayudan a dominar todas las propiedades juntas. Cuando tienes , puedes usar la propiedad de que para simplificar cálculos.
Para calcular , desarrollas: .
Para , usas la identidad de Lagrange cuando los vectores son ortogonales: , porque .
Estrategia final: Siempre verifica si los vectores son ortogonales o paralelos - esto simplifica muchísimo los cálculos.

Acceso a todos los documentos
Mejora tus notas
Únete a millones de estudiantes

Acceso a todos los documentos
Mejora tus notas
Únete a millones de estudiantes
Nuestro compañero de IA está específicamente adaptado a las necesidades de los estudiantes. Basándonos en los millones de contenidos que tenemos en la plataforma, podemos dar a los estudiantes respuestas realmente significativas y relevantes. Pero no se trata solo de respuestas, el compañero también guía a los estudiantes a través de sus retos de aprendizaje diarios, con planes de aprendizaje personalizados, cuestionarios o contenidos en el chat y una personalización del 100% basada en las habilidades y el desarrollo de los estudiantes.
Puedes descargar la app en Google Play Store y Apple App Store.
¡Sí lo es! Tienes acceso totalmente gratuito a todo el contenido de la app, puedes chatear con otros alumnos y recibir ayuda inmeditamente. Puedes ganar dinero utilizando la aplicación, que te permitirá acceder a determinadas funciones.
1
Herramientas Inteligentes NUEVO
Transforma estos apuntes en: ✓ 50+ Preguntas de Práctica ✓ Fichas Interactivas ✓ Examen Completo de Práctica ✓ Esquemas de Ensayo
Números enteros y operaciones entre números enteros (Suma, Resta, Multiplicación y División)
App Store
Google Play
La app es muy fácil de usar y está muy bien diseñada. Hasta ahora he encontrado todo lo que estaba buscando y he podido aprender mucho de las presentaciones. Definitivamente utilizaré la aplicación para un examen de clase. Y, por supuesto, también me sirve mucho de inspiración.
Pablo
usuario de iOS
Esta app es realmente genial. Hay tantos apuntes de clase y ayuda [...]. Tengo problemas con matemáticas, por ejemplo, y la aplicación tiene muchas opciones de ayuda. Gracias a Knowunity, he mejorado en mates. Se la recomiendo a todo el mundo.
Elena
usuaria de Android
Vaya, estoy realmente sorprendida. Acabo de probar la app porque la he visto anunciada muchas veces y me he quedado absolutamente alucinada. Esta app es LA AYUDA que quieres para el insti y, sobre todo, ofrece muchísimas cosas, como ejercicios y hojas informativas, que a mí personalmente me han sido MUY útiles.
Ana
usuaria de iOS
Solía tener problemas para completar mis tareas a tiempo hasta que descubrí Knowunity, que no solo facilita subir mi propio contenido sino que también proporciona excelentes resúmenes que hacen mi trabajo más rápido y eficiente.
Thomas R
usuario de iOS
Siempre era un desafío encontrar toda la información importante para mis tareas – desde que comencé a usar Knowunity, puedo simplemente subir mi contenido y beneficiarme de los resúmenes de otros, lo que me ayuda mucho con la organización.
Lisa M
usuaria de Android
A menudo sentía que no tenía suficiente visión general al estudiar, pero desde que comencé a usar Knowunity, eso ya no es un problema – subo mi contenido y siempre encuentro resúmenes útiles en la plataforma, lo que hace mi aprendizaje mucho más fácil.
David K
usuario de iOS
¡La app es buenísima! Sólo tengo que introducir el tema en la barra de búsqueda y recibo la respuesta muy rápido. No tengo que ver 10 vídeos de YouTube para entender algo, así que me ahorro tiempo. ¡Muy recomendable!
Sara
usuaria de Android
En el instituto era muy malo en matemáticas, pero gracias a la app, ahora saco mejores notas. Os agradezco mucho que hayáis creado la aplicación.
Roberto
usuario de Android
Solía ser realmente difícil recopilar toda la información para mis presentaciones. Pero desde que comencé a usar Knowunity, solo subo mis apuntes y encuentro increíbles resúmenes de otros – ¡hace mi estudio mucho más eficiente!
Julia S
usuaria de Android
Estaba constantemente estresado con todo el material de estudio, pero desde que comencé a usar Knowunity, subo mis cosas y reviso los geniales resúmenes de otros – realmente me ayuda a gestionar todo mejor y es mucho menos estresante.
Marco B
usuario de iOS
LOS QUIZ Y FLASHCARDS SON SÚPER ÚTILES Y ME ENCANTA Knowunity IA. ADEMÁS ES LITERALMENTE COMO CHATGPT PERO MÁS LISTO!! ME AYUDÓ TAMBIÉN CON MIS PROBLEMAS DE MÁSCARA!! Y CON MIS ASIGNATURAS DE VERDAD! OBVIO 😍😁😲🤑💗✨🎀😮
Sarah L
usuaria de Android
Antes pasaba horas buscando en Google materiales escolares, pero ahora solo subo mis cosas a Knowunity y reviso los útiles resúmenes de otros - me siento mucho más seguro al prepararme para los exámenes.
Paul T
usuario de iOS
La app es muy fácil de usar y está muy bien diseñada. Hasta ahora he encontrado todo lo que estaba buscando y he podido aprender mucho de las presentaciones. Definitivamente utilizaré la aplicación para un examen de clase. Y, por supuesto, también me sirve mucho de inspiración.
Pablo
usuario de iOS
Esta app es realmente genial. Hay tantos apuntes de clase y ayuda [...]. Tengo problemas con matemáticas, por ejemplo, y la aplicación tiene muchas opciones de ayuda. Gracias a Knowunity, he mejorado en mates. Se la recomiendo a todo el mundo.
Elena
usuaria de Android
Vaya, estoy realmente sorprendida. Acabo de probar la app porque la he visto anunciada muchas veces y me he quedado absolutamente alucinada. Esta app es LA AYUDA que quieres para el insti y, sobre todo, ofrece muchísimas cosas, como ejercicios y hojas informativas, que a mí personalmente me han sido MUY útiles.
Ana
usuaria de iOS
Solía tener problemas para completar mis tareas a tiempo hasta que descubrí Knowunity, que no solo facilita subir mi propio contenido sino que también proporciona excelentes resúmenes que hacen mi trabajo más rápido y eficiente.
Thomas R
usuario de iOS
Siempre era un desafío encontrar toda la información importante para mis tareas – desde que comencé a usar Knowunity, puedo simplemente subir mi contenido y beneficiarme de los resúmenes de otros, lo que me ayuda mucho con la organización.
Lisa M
usuaria de Android
A menudo sentía que no tenía suficiente visión general al estudiar, pero desde que comencé a usar Knowunity, eso ya no es un problema – subo mi contenido y siempre encuentro resúmenes útiles en la plataforma, lo que hace mi aprendizaje mucho más fácil.
David K
usuario de iOS
¡La app es buenísima! Sólo tengo que introducir el tema en la barra de búsqueda y recibo la respuesta muy rápido. No tengo que ver 10 vídeos de YouTube para entender algo, así que me ahorro tiempo. ¡Muy recomendable!
Sara
usuaria de Android
En el instituto era muy malo en matemáticas, pero gracias a la app, ahora saco mejores notas. Os agradezco mucho que hayáis creado la aplicación.
Roberto
usuario de Android
Solía ser realmente difícil recopilar toda la información para mis presentaciones. Pero desde que comencé a usar Knowunity, solo subo mis apuntes y encuentro increíbles resúmenes de otros – ¡hace mi estudio mucho más eficiente!
Julia S
usuaria de Android
Estaba constantemente estresado con todo el material de estudio, pero desde que comencé a usar Knowunity, subo mis cosas y reviso los geniales resúmenes de otros – realmente me ayuda a gestionar todo mejor y es mucho menos estresante.
Marco B
usuario de iOS
LOS QUIZ Y FLASHCARDS SON SÚPER ÚTILES Y ME ENCANTA Knowunity IA. ADEMÁS ES LITERALMENTE COMO CHATGPT PERO MÁS LISTO!! ME AYUDÓ TAMBIÉN CON MIS PROBLEMAS DE MÁSCARA!! Y CON MIS ASIGNATURAS DE VERDAD! OBVIO 😍😁😲🤑💗✨🎀😮
Sarah L
usuaria de Android
Antes pasaba horas buscando en Google materiales escolares, pero ahora solo subo mis cosas a Knowunity y reviso los útiles resúmenes de otros - me siento mucho más seguro al prepararme para los exámenes.
Paul T
usuario de iOS