El valor absoluto es un concepto matemático que mide la... Mostrar más
Inscríbete para ver los apuntes¡Es gratis!
Acceso a todos los documentos
Mejora tus notas
Únete a millones de estudiantes
Knowunity AI
Asignaturas
Triangle Congruence and Similarity Theorems
Triangle Properties and Classification
Linear Equations and Graphs
Geometric Angle Relationships
Trigonometric Functions and Identities
Equation Solving Techniques
Circle Geometry Fundamentals
Division Operations and Methods
Basic Differentiation Rules
Exponent and Logarithm Properties
Mostrar todos los temas
Human Organ Systems
Reproductive Cell Cycles
Biological Sciences Subdisciplines
Cellular Energy Metabolism
Autotrophic Energy Processes
Inheritance Patterns and Principles
Biomolecular Structure and Organization
Cell Cycle and Division Mechanics
Cellular Organization and Development
Biological Structural Organization
Mostrar todos los temas
Chemical Sciences and Applications
Atomic Structure and Composition
Molecular Electron Structure Representation
Atomic Electron Behavior
Matter Properties and Water
Mole Concept and Calculations
Gas Laws and Behavior
Periodic Table Organization
Chemical Thermodynamics Fundamentals
Chemical Bond Types and Properties
Mostrar todos los temas
European Renaissance and Enlightenment
European Cultural Movements 800-1920
American Revolution Era 1763-1797
American Civil War 1861-1865
Global Imperial Systems
Mongol and Chinese Dynasties
U.S. Presidents and World Leaders
Historical Sources and Documentation
World Wars Era and Impact
World Religious Systems
Mostrar todos los temas
Classic and Contemporary Novels
Literary Character Analysis
Rhetorical Theory and Practice
Classic Literary Narratives
Reading Analysis and Interpretation
Narrative Structure and Techniques
English Language Components
Influential English-Language Authors
Basic Sentence Structure
Narrative Voice and Perspective
Mostrar todos los temas
341
•
Actualizado Apr 8, 2026
•
Jennifer Andrea Fernandez Villegas
@enniferndreaernandezillegas_dqpp
El valor absoluto es un concepto matemático que mide la... Mostrar más







Imaginate que el valor absoluto es como un GPS matemático que te dice exactamente qué tan lejos está un número del punto cero. No importa si vas hacia la derecha (números positivos) or hacia la izquierda (números negativos) en la recta numérica.
La definición matemática es súper clara: |a| = a si el número es positivo o cero, y |a| = -a si el número es negativo. Por ejemplo, |-5| = 5 y |3| = 3.
El resultado siempre es un número positivo o cero. ¡Nunca vas a obtener un valor absoluto negativo!
💡 Tip clave: El valor absoluto convierte cualquier número en su versión "sin signo". Es como quitarle el signo negativo si lo tiene.

Estas propiedades del valor absoluto son las reglas básicas que siempre se cumplen. Son como las leyes de tránsito pero para las matemáticas.
Las más importantes son: |a| ≥ 0 (siempre positivo), |a| = 0 solo cuando a = 0, y |a·b| = |a|·|b| (se puede distribuir en multiplicaciones). También tienes la desigualdad triangular: |a + b| ≤ |a| + |b|.
Para resolver ecuaciones, recordá estas dos reglas de oro: |x| < k significa que -k < x < k, y |x| > k significa que x > k o x < -k.
💡 Tip clave: Cuando veas |x| = k, siempre vas a tener dos posibles respuestas: x = k y x = -k.

Cuando resolvés ecuaciones con valor absoluto, pensá que siempre hay dos escenarios posibles. Es como tener dos caminos para llegar al mismo destino.
Para |2x + 3| = 8, planteás dos casos: 2x + 3 = 8 y 2x + 3 = -8. Resolviendo cada uno por separado obtenés x = 5/2 y x = -11/2. ¡Siempre verificá tus respuestas sustituyendo en la ecuación original!
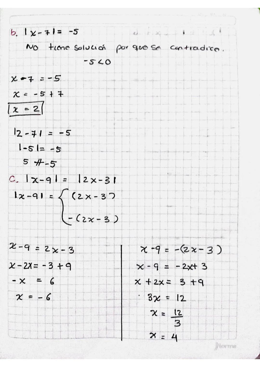
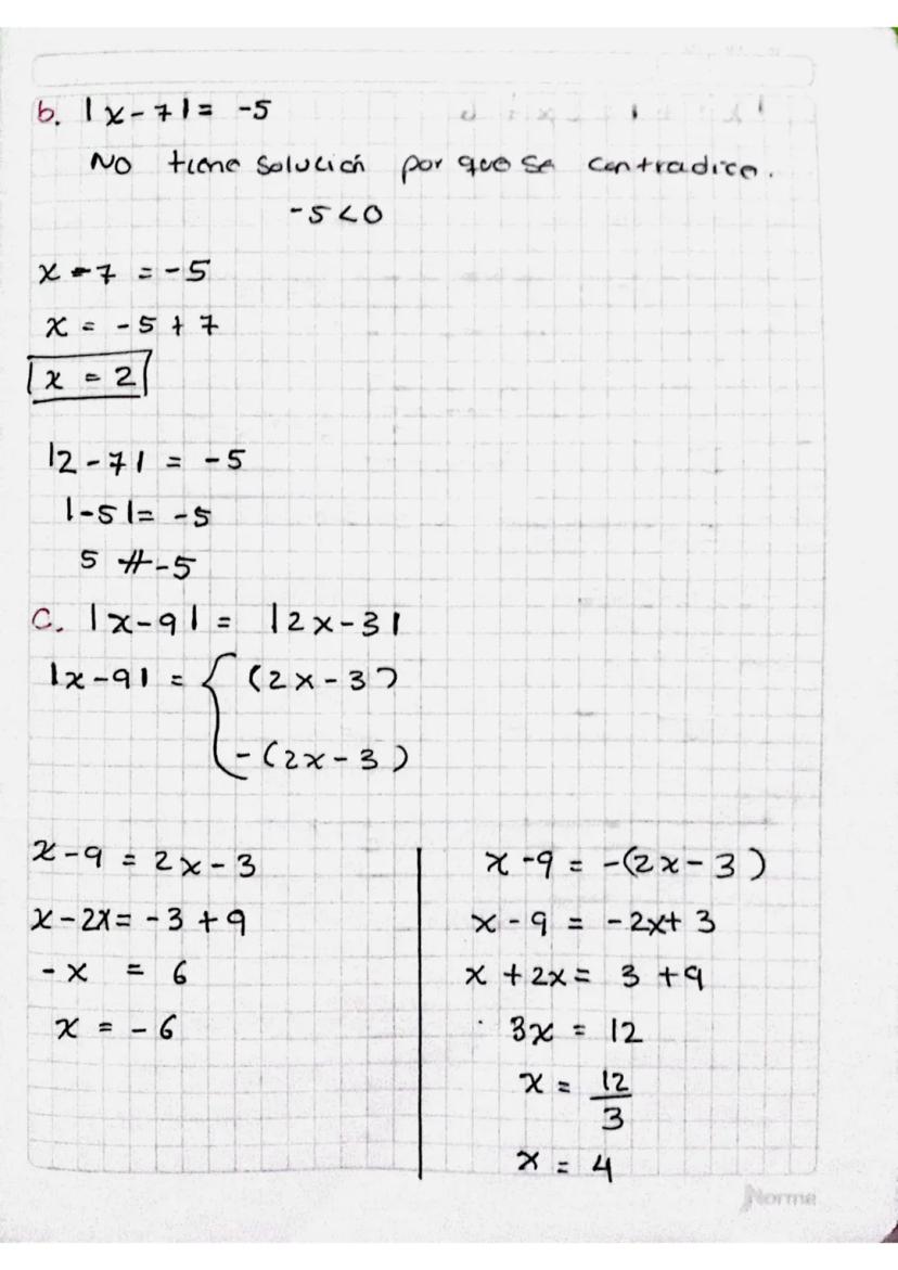
Si la ecuación es |x - 7| = -5, no tiene solución porque el valor absoluto nunca puede ser negativo. Es una contradicción matemática.
💡 Tip clave: Si el lado derecho de la ecuación es negativo, la ecuación no tiene solución. El valor absoluto siempre es positivo o cero.

Las ecuaciones con dos valores absolutos requieren más cuidado. Para |x - 9| = |2x - 3|, tenés que considerar cuatro casos posibles, pero algunos se simplifican.
Los dos casos principales son: x - 9 = 2x - 3 y x - 9 = - . Cada caso representa una situación diferente sobre los signos de las expresiones dentro del valor absoluto.
Siempre dibujá una recta numérica para visualizar mejor las soluciones. Te ayuda a entender qué está pasando geométricamente.
💡 Tip clave: Con dos valores absolutos, empezá por los casos más simples: cuando ambas expresiones tienen el mismo signo.

Las inecuaciones con valor absoluto son diferentes porque pueden tener intervalos de soluciones en lugar de puntos específicos. Acá la recta numérica es tu mejor amiga.
Para resolver |x + 7| = 2x + 6, primero asegurate de que el lado derecho sea positivo . Después planteás los dos casos como siempre.
La solución final puede ser un conjunto o un intervalo. En este ejemplo, parte de la solución es x ≥ -3, que representa todos los números mayores o iguales a -3.
💡 Tip clave: En las inecuaciones, siempre verificá que el lado derecho sea positivo antes de resolver.

Estos ejercicios adicionales te muestran la variedad de ecuaciones lineales con valor absoluto que podés encontrar en los exámenes.
Para |x + 6| = 12, tenés x + 6 = 12 y x + 6 = -12 . Para |x/2| = 3, obtenés x/2 = 3 y x/2 = -3 .
La ecuación |3x - 9| = |x - 2| te da x = 2 y x = 7/4. Recordá siempre verificar tus respuestas sustituyendo en la ecuación original para estar seguro.
💡 Tip clave: Practicá con diferentes tipos de ecuaciones para ganar confianza. La clave está en identificar el patrón de "dos casos posibles".
Nuestro compañero de IA está específicamente adaptado a las necesidades de los estudiantes. Basándonos en los millones de contenidos que tenemos en la plataforma, podemos dar a los estudiantes respuestas realmente significativas y relevantes. Pero no se trata solo de respuestas, el compañero también guía a los estudiantes a través de sus retos de aprendizaje diarios, con planes de aprendizaje personalizados, cuestionarios o contenidos en el chat y una personalización del 100% basada en las habilidades y el desarrollo de los estudiantes.
Puedes descargar la app en Google Play Store y Apple App Store.
¡Sí lo es! Tienes acceso totalmente gratuito a todo el contenido de la app, puedes chatear con otros alumnos y recibir ayuda inmeditamente. Puedes ganar dinero utilizando la aplicación, que te permitirá acceder a determinadas funciones.
Números enteros y operaciones entre números enteros (Suma, Resta, Multiplicación y División)
App Store
Google Play
La app es muy fácil de usar y está muy bien diseñada. Hasta ahora he encontrado todo lo que estaba buscando y he podido aprender mucho de las presentaciones. Definitivamente utilizaré la aplicación para un examen de clase. Y, por supuesto, también me sirve mucho de inspiración.
Pablo
usuario de iOS
Esta app es realmente genial. Hay tantos apuntes de clase y ayuda [...]. Tengo problemas con matemáticas, por ejemplo, y la aplicación tiene muchas opciones de ayuda. Gracias a Knowunity, he mejorado en mates. Se la recomiendo a todo el mundo.
Elena
usuaria de Android
Vaya, estoy realmente sorprendida. Acabo de probar la app porque la he visto anunciada muchas veces y me he quedado absolutamente alucinada. Esta app es LA AYUDA que quieres para el insti y, sobre todo, ofrece muchísimas cosas, como ejercicios y hojas informativas, que a mí personalmente me han sido MUY útiles.
Ana
usuaria de iOS
Solía tener problemas para completar mis tareas a tiempo hasta que descubrí Knowunity, que no solo facilita subir mi propio contenido sino que también proporciona excelentes resúmenes que hacen mi trabajo más rápido y eficiente.
Thomas R
usuario de iOS
Siempre era un desafío encontrar toda la información importante para mis tareas – desde que comencé a usar Knowunity, puedo simplemente subir mi contenido y beneficiarme de los resúmenes de otros, lo que me ayuda mucho con la organización.
Lisa M
usuaria de Android
A menudo sentía que no tenía suficiente visión general al estudiar, pero desde que comencé a usar Knowunity, eso ya no es un problema – subo mi contenido y siempre encuentro resúmenes útiles en la plataforma, lo que hace mi aprendizaje mucho más fácil.
David K
usuario de iOS
¡La app es buenísima! Sólo tengo que introducir el tema en la barra de búsqueda y recibo la respuesta muy rápido. No tengo que ver 10 vídeos de YouTube para entender algo, así que me ahorro tiempo. ¡Muy recomendable!
Sara
usuaria de Android
En el instituto era muy malo en matemáticas, pero gracias a la app, ahora saco mejores notas. Os agradezco mucho que hayáis creado la aplicación.
Roberto
usuario de Android
Solía ser realmente difícil recopilar toda la información para mis presentaciones. Pero desde que comencé a usar Knowunity, solo subo mis apuntes y encuentro increíbles resúmenes de otros – ¡hace mi estudio mucho más eficiente!
Julia S
usuaria de Android
Estaba constantemente estresado con todo el material de estudio, pero desde que comencé a usar Knowunity, subo mis cosas y reviso los geniales resúmenes de otros – realmente me ayuda a gestionar todo mejor y es mucho menos estresante.
Marco B
usuario de iOS
LOS QUIZ Y FLASHCARDS SON SÚPER ÚTILES Y ME ENCANTA Knowunity IA. ADEMÁS ES LITERALMENTE COMO CHATGPT PERO MÁS LISTO!! ME AYUDÓ TAMBIÉN CON MIS PROBLEMAS DE MÁSCARA!! Y CON MIS ASIGNATURAS DE VERDAD! OBVIO 😍😁😲🤑💗✨🎀😮
Sarah L
usuaria de Android
Antes pasaba horas buscando en Google materiales escolares, pero ahora solo subo mis cosas a Knowunity y reviso los útiles resúmenes de otros - me siento mucho más seguro al prepararme para los exámenes.
Paul T
usuario de iOS
La app es muy fácil de usar y está muy bien diseñada. Hasta ahora he encontrado todo lo que estaba buscando y he podido aprender mucho de las presentaciones. Definitivamente utilizaré la aplicación para un examen de clase. Y, por supuesto, también me sirve mucho de inspiración.
Pablo
usuario de iOS
Esta app es realmente genial. Hay tantos apuntes de clase y ayuda [...]. Tengo problemas con matemáticas, por ejemplo, y la aplicación tiene muchas opciones de ayuda. Gracias a Knowunity, he mejorado en mates. Se la recomiendo a todo el mundo.
Elena
usuaria de Android
Vaya, estoy realmente sorprendida. Acabo de probar la app porque la he visto anunciada muchas veces y me he quedado absolutamente alucinada. Esta app es LA AYUDA que quieres para el insti y, sobre todo, ofrece muchísimas cosas, como ejercicios y hojas informativas, que a mí personalmente me han sido MUY útiles.
Ana
usuaria de iOS
Solía tener problemas para completar mis tareas a tiempo hasta que descubrí Knowunity, que no solo facilita subir mi propio contenido sino que también proporciona excelentes resúmenes que hacen mi trabajo más rápido y eficiente.
Thomas R
usuario de iOS
Siempre era un desafío encontrar toda la información importante para mis tareas – desde que comencé a usar Knowunity, puedo simplemente subir mi contenido y beneficiarme de los resúmenes de otros, lo que me ayuda mucho con la organización.
Lisa M
usuaria de Android
A menudo sentía que no tenía suficiente visión general al estudiar, pero desde que comencé a usar Knowunity, eso ya no es un problema – subo mi contenido y siempre encuentro resúmenes útiles en la plataforma, lo que hace mi aprendizaje mucho más fácil.
David K
usuario de iOS
¡La app es buenísima! Sólo tengo que introducir el tema en la barra de búsqueda y recibo la respuesta muy rápido. No tengo que ver 10 vídeos de YouTube para entender algo, así que me ahorro tiempo. ¡Muy recomendable!
Sara
usuaria de Android
En el instituto era muy malo en matemáticas, pero gracias a la app, ahora saco mejores notas. Os agradezco mucho que hayáis creado la aplicación.
Roberto
usuario de Android
Solía ser realmente difícil recopilar toda la información para mis presentaciones. Pero desde que comencé a usar Knowunity, solo subo mis apuntes y encuentro increíbles resúmenes de otros – ¡hace mi estudio mucho más eficiente!
Julia S
usuaria de Android
Estaba constantemente estresado con todo el material de estudio, pero desde que comencé a usar Knowunity, subo mis cosas y reviso los geniales resúmenes de otros – realmente me ayuda a gestionar todo mejor y es mucho menos estresante.
Marco B
usuario de iOS
LOS QUIZ Y FLASHCARDS SON SÚPER ÚTILES Y ME ENCANTA Knowunity IA. ADEMÁS ES LITERALMENTE COMO CHATGPT PERO MÁS LISTO!! ME AYUDÓ TAMBIÉN CON MIS PROBLEMAS DE MÁSCARA!! Y CON MIS ASIGNATURAS DE VERDAD! OBVIO 😍😁😲🤑💗✨🎀😮
Sarah L
usuaria de Android
Antes pasaba horas buscando en Google materiales escolares, pero ahora solo subo mis cosas a Knowunity y reviso los útiles resúmenes de otros - me siento mucho más seguro al prepararme para los exámenes.
Paul T
usuario de iOS
Jennifer Andrea Fernandez Villegas
@enniferndreaernandezillegas_dqpp
El valor absoluto es un concepto matemático que mide la distancia de cualquier número real hasta el cero. Es como preguntarte "¿qué tan lejos está este número del cero?", sin importar si es positivo o negativo.

Acceso a todos los documentos
Mejora tus notas
Únete a millones de estudiantes
Imaginate que el valor absoluto es como un GPS matemático que te dice exactamente qué tan lejos está un número del punto cero. No importa si vas hacia la derecha (números positivos) or hacia la izquierda (números negativos) en la recta numérica.
La definición matemática es súper clara: |a| = a si el número es positivo o cero, y |a| = -a si el número es negativo. Por ejemplo, |-5| = 5 y |3| = 3.
El resultado siempre es un número positivo o cero. ¡Nunca vas a obtener un valor absoluto negativo!
💡 Tip clave: El valor absoluto convierte cualquier número en su versión "sin signo". Es como quitarle el signo negativo si lo tiene.

Acceso a todos los documentos
Mejora tus notas
Únete a millones de estudiantes
Estas propiedades del valor absoluto son las reglas básicas que siempre se cumplen. Son como las leyes de tránsito pero para las matemáticas.
Las más importantes son: |a| ≥ 0 (siempre positivo), |a| = 0 solo cuando a = 0, y |a·b| = |a|·|b| (se puede distribuir en multiplicaciones). También tienes la desigualdad triangular: |a + b| ≤ |a| + |b|.
Para resolver ecuaciones, recordá estas dos reglas de oro: |x| < k significa que -k < x < k, y |x| > k significa que x > k o x < -k.
💡 Tip clave: Cuando veas |x| = k, siempre vas a tener dos posibles respuestas: x = k y x = -k.

Acceso a todos los documentos
Mejora tus notas
Únete a millones de estudiantes
Cuando resolvés ecuaciones con valor absoluto, pensá que siempre hay dos escenarios posibles. Es como tener dos caminos para llegar al mismo destino.
Para |2x + 3| = 8, planteás dos casos: 2x + 3 = 8 y 2x + 3 = -8. Resolviendo cada uno por separado obtenés x = 5/2 y x = -11/2. ¡Siempre verificá tus respuestas sustituyendo en la ecuación original!
Si la ecuación es |x - 7| = -5, no tiene solución porque el valor absoluto nunca puede ser negativo. Es una contradicción matemática.
💡 Tip clave: Si el lado derecho de la ecuación es negativo, la ecuación no tiene solución. El valor absoluto siempre es positivo o cero.

Acceso a todos los documentos
Mejora tus notas
Únete a millones de estudiantes
Las ecuaciones con dos valores absolutos requieren más cuidado. Para |x - 9| = |2x - 3|, tenés que considerar cuatro casos posibles, pero algunos se simplifican.
Los dos casos principales son: x - 9 = 2x - 3 y x - 9 = - . Cada caso representa una situación diferente sobre los signos de las expresiones dentro del valor absoluto.
Siempre dibujá una recta numérica para visualizar mejor las soluciones. Te ayuda a entender qué está pasando geométricamente.
💡 Tip clave: Con dos valores absolutos, empezá por los casos más simples: cuando ambas expresiones tienen el mismo signo.

Acceso a todos los documentos
Mejora tus notas
Únete a millones de estudiantes
Las inecuaciones con valor absoluto son diferentes porque pueden tener intervalos de soluciones en lugar de puntos específicos. Acá la recta numérica es tu mejor amiga.
Para resolver |x + 7| = 2x + 6, primero asegurate de que el lado derecho sea positivo . Después planteás los dos casos como siempre.
La solución final puede ser un conjunto o un intervalo. En este ejemplo, parte de la solución es x ≥ -3, que representa todos los números mayores o iguales a -3.
💡 Tip clave: En las inecuaciones, siempre verificá que el lado derecho sea positivo antes de resolver.

Acceso a todos los documentos
Mejora tus notas
Únete a millones de estudiantes
Estos ejercicios adicionales te muestran la variedad de ecuaciones lineales con valor absoluto que podés encontrar en los exámenes.
Para |x + 6| = 12, tenés x + 6 = 12 y x + 6 = -12 . Para |x/2| = 3, obtenés x/2 = 3 y x/2 = -3 .
La ecuación |3x - 9| = |x - 2| te da x = 2 y x = 7/4. Recordá siempre verificar tus respuestas sustituyendo en la ecuación original para estar seguro.
💡 Tip clave: Practicá con diferentes tipos de ecuaciones para ganar confianza. La clave está en identificar el patrón de "dos casos posibles".
Nuestro compañero de IA está específicamente adaptado a las necesidades de los estudiantes. Basándonos en los millones de contenidos que tenemos en la plataforma, podemos dar a los estudiantes respuestas realmente significativas y relevantes. Pero no se trata solo de respuestas, el compañero también guía a los estudiantes a través de sus retos de aprendizaje diarios, con planes de aprendizaje personalizados, cuestionarios o contenidos en el chat y una personalización del 100% basada en las habilidades y el desarrollo de los estudiantes.
Puedes descargar la app en Google Play Store y Apple App Store.
¡Sí lo es! Tienes acceso totalmente gratuito a todo el contenido de la app, puedes chatear con otros alumnos y recibir ayuda inmeditamente. Puedes ganar dinero utilizando la aplicación, que te permitirá acceder a determinadas funciones.
2
Herramientas Inteligentes NUEVO
Transforma estos apuntes en: ✓ 50+ Preguntas de Práctica ✓ Fichas Interactivas ✓ Examen Completo de Práctica ✓ Esquemas de Ensayo
Números enteros y operaciones entre números enteros (Suma, Resta, Multiplicación y División)
App Store
Google Play
La app es muy fácil de usar y está muy bien diseñada. Hasta ahora he encontrado todo lo que estaba buscando y he podido aprender mucho de las presentaciones. Definitivamente utilizaré la aplicación para un examen de clase. Y, por supuesto, también me sirve mucho de inspiración.
Pablo
usuario de iOS
Esta app es realmente genial. Hay tantos apuntes de clase y ayuda [...]. Tengo problemas con matemáticas, por ejemplo, y la aplicación tiene muchas opciones de ayuda. Gracias a Knowunity, he mejorado en mates. Se la recomiendo a todo el mundo.
Elena
usuaria de Android
Vaya, estoy realmente sorprendida. Acabo de probar la app porque la he visto anunciada muchas veces y me he quedado absolutamente alucinada. Esta app es LA AYUDA que quieres para el insti y, sobre todo, ofrece muchísimas cosas, como ejercicios y hojas informativas, que a mí personalmente me han sido MUY útiles.
Ana
usuaria de iOS
Solía tener problemas para completar mis tareas a tiempo hasta que descubrí Knowunity, que no solo facilita subir mi propio contenido sino que también proporciona excelentes resúmenes que hacen mi trabajo más rápido y eficiente.
Thomas R
usuario de iOS
Siempre era un desafío encontrar toda la información importante para mis tareas – desde que comencé a usar Knowunity, puedo simplemente subir mi contenido y beneficiarme de los resúmenes de otros, lo que me ayuda mucho con la organización.
Lisa M
usuaria de Android
A menudo sentía que no tenía suficiente visión general al estudiar, pero desde que comencé a usar Knowunity, eso ya no es un problema – subo mi contenido y siempre encuentro resúmenes útiles en la plataforma, lo que hace mi aprendizaje mucho más fácil.
David K
usuario de iOS
¡La app es buenísima! Sólo tengo que introducir el tema en la barra de búsqueda y recibo la respuesta muy rápido. No tengo que ver 10 vídeos de YouTube para entender algo, así que me ahorro tiempo. ¡Muy recomendable!
Sara
usuaria de Android
En el instituto era muy malo en matemáticas, pero gracias a la app, ahora saco mejores notas. Os agradezco mucho que hayáis creado la aplicación.
Roberto
usuario de Android
Solía ser realmente difícil recopilar toda la información para mis presentaciones. Pero desde que comencé a usar Knowunity, solo subo mis apuntes y encuentro increíbles resúmenes de otros – ¡hace mi estudio mucho más eficiente!
Julia S
usuaria de Android
Estaba constantemente estresado con todo el material de estudio, pero desde que comencé a usar Knowunity, subo mis cosas y reviso los geniales resúmenes de otros – realmente me ayuda a gestionar todo mejor y es mucho menos estresante.
Marco B
usuario de iOS
LOS QUIZ Y FLASHCARDS SON SÚPER ÚTILES Y ME ENCANTA Knowunity IA. ADEMÁS ES LITERALMENTE COMO CHATGPT PERO MÁS LISTO!! ME AYUDÓ TAMBIÉN CON MIS PROBLEMAS DE MÁSCARA!! Y CON MIS ASIGNATURAS DE VERDAD! OBVIO 😍😁😲🤑💗✨🎀😮
Sarah L
usuaria de Android
Antes pasaba horas buscando en Google materiales escolares, pero ahora solo subo mis cosas a Knowunity y reviso los útiles resúmenes de otros - me siento mucho más seguro al prepararme para los exámenes.
Paul T
usuario de iOS
La app es muy fácil de usar y está muy bien diseñada. Hasta ahora he encontrado todo lo que estaba buscando y he podido aprender mucho de las presentaciones. Definitivamente utilizaré la aplicación para un examen de clase. Y, por supuesto, también me sirve mucho de inspiración.
Pablo
usuario de iOS
Esta app es realmente genial. Hay tantos apuntes de clase y ayuda [...]. Tengo problemas con matemáticas, por ejemplo, y la aplicación tiene muchas opciones de ayuda. Gracias a Knowunity, he mejorado en mates. Se la recomiendo a todo el mundo.
Elena
usuaria de Android
Vaya, estoy realmente sorprendida. Acabo de probar la app porque la he visto anunciada muchas veces y me he quedado absolutamente alucinada. Esta app es LA AYUDA que quieres para el insti y, sobre todo, ofrece muchísimas cosas, como ejercicios y hojas informativas, que a mí personalmente me han sido MUY útiles.
Ana
usuaria de iOS
Solía tener problemas para completar mis tareas a tiempo hasta que descubrí Knowunity, que no solo facilita subir mi propio contenido sino que también proporciona excelentes resúmenes que hacen mi trabajo más rápido y eficiente.
Thomas R
usuario de iOS
Siempre era un desafío encontrar toda la información importante para mis tareas – desde que comencé a usar Knowunity, puedo simplemente subir mi contenido y beneficiarme de los resúmenes de otros, lo que me ayuda mucho con la organización.
Lisa M
usuaria de Android
A menudo sentía que no tenía suficiente visión general al estudiar, pero desde que comencé a usar Knowunity, eso ya no es un problema – subo mi contenido y siempre encuentro resúmenes útiles en la plataforma, lo que hace mi aprendizaje mucho más fácil.
David K
usuario de iOS
¡La app es buenísima! Sólo tengo que introducir el tema en la barra de búsqueda y recibo la respuesta muy rápido. No tengo que ver 10 vídeos de YouTube para entender algo, así que me ahorro tiempo. ¡Muy recomendable!
Sara
usuaria de Android
En el instituto era muy malo en matemáticas, pero gracias a la app, ahora saco mejores notas. Os agradezco mucho que hayáis creado la aplicación.
Roberto
usuario de Android
Solía ser realmente difícil recopilar toda la información para mis presentaciones. Pero desde que comencé a usar Knowunity, solo subo mis apuntes y encuentro increíbles resúmenes de otros – ¡hace mi estudio mucho más eficiente!
Julia S
usuaria de Android
Estaba constantemente estresado con todo el material de estudio, pero desde que comencé a usar Knowunity, subo mis cosas y reviso los geniales resúmenes de otros – realmente me ayuda a gestionar todo mejor y es mucho menos estresante.
Marco B
usuario de iOS
LOS QUIZ Y FLASHCARDS SON SÚPER ÚTILES Y ME ENCANTA Knowunity IA. ADEMÁS ES LITERALMENTE COMO CHATGPT PERO MÁS LISTO!! ME AYUDÓ TAMBIÉN CON MIS PROBLEMAS DE MÁSCARA!! Y CON MIS ASIGNATURAS DE VERDAD! OBVIO 😍😁😲🤑💗✨🎀😮
Sarah L
usuaria de Android
Antes pasaba horas buscando en Google materiales escolares, pero ahora solo subo mis cosas a Knowunity y reviso los útiles resúmenes de otros - me siento mucho más seguro al prepararme para los exámenes.
Paul T
usuario de iOS