Los números complejos son una extensión de los números reales... Mostrar más
Inscríbete para ver los apuntes¡Es gratis!
Acceso a todos los documentos
Mejora tus notas
Únete a millones de estudiantes
Knowunity AI
Asignaturas
Triangle Congruence and Similarity Theorems
Triangle Properties and Classification
Linear Equations and Graphs
Geometric Angle Relationships
Trigonometric Functions and Identities
Equation Solving Techniques
Circle Geometry Fundamentals
Division Operations and Methods
Basic Differentiation Rules
Exponent and Logarithm Properties
Mostrar todos los temas
Human Organ Systems
Reproductive Cell Cycles
Biological Sciences Subdisciplines
Cellular Energy Metabolism
Autotrophic Energy Processes
Inheritance Patterns and Principles
Biomolecular Structure and Organization
Cell Cycle and Division Mechanics
Cellular Organization and Development
Biological Structural Organization
Mostrar todos los temas
Chemical Sciences and Applications
Atomic Structure and Composition
Molecular Electron Structure Representation
Atomic Electron Behavior
Matter Properties and Water
Mole Concept and Calculations
Gas Laws and Behavior
Periodic Table Organization
Chemical Thermodynamics Fundamentals
Chemical Bond Types and Properties
Mostrar todos los temas
European Renaissance and Enlightenment
European Cultural Movements 800-1920
American Revolution Era 1763-1797
American Civil War 1861-1865
Global Imperial Systems
Mongol and Chinese Dynasties
U.S. Presidents and World Leaders
Historical Sources and Documentation
World Wars Era and Impact
World Religious Systems
Mostrar todos los temas
Classic and Contemporary Novels
Literary Character Analysis
Rhetorical Theory and Practice
Classic Literary Narratives
Reading Analysis and Interpretation
Narrative Structure and Techniques
English Language Components
Influential English-Language Authors
Basic Sentence Structure
Narrative Voice and Perspective
Mostrar todos los temas
111
•
Actualizado Apr 2, 2026
•
Keiner Ramirez
@sebit_as006
Los números complejos son una extensión de los números reales... Mostrar más












¿Alguna vez te has preguntado qué pasa cuando intentas sacar la raíz cuadrada de un número negativo? Aquí es donde aparecen los números imaginarios. La unidad imaginaria se representa como i = √(-1) y tiene un patrón súper útil que se repite cada cuatro potencias.
Las cuatro potencias básicas de i son: i⁰ = 1, i¹ = i, i² = -1, i³ = -i. Después de i³, el patrón se repite. Para calcular potencias altas como i⁹², solo divides el exponente entre 4 y usas el residuo.
Para resolver raíces de números negativos, separas el signo negativo: √(-4) = √(4)√(-1) = 2i. Es así de simple una vez que entiendes el truco.
Tip clave: Para potencias de i, divide el exponente entre 4 y usa el residuo para determinar el resultado.

Un número complejo tiene la forma Z = a + bi, donde 'a' y 'b' son números reales. La parte 'a' se llama parte real y 'b' es la parte imaginaria. Esta representación se conoce como forma cartesiana.
Para identificar las partes de un número complejo, solo tienes que mirar los coeficientes. En Z = 3 - 2i, la parte real es 3 y la parte imaginaria es -2. Si solo tienes un número real como Z = 5, entonces la parte imaginaria es 0.
Los números complejos se pueden graficar en el plano complejo, donde el eje x representa la parte real y el eje y la parte imaginaria. Así, Z = a + bi se puede escribir como el punto (a, b).
Recuerda: La parte imaginaria es solo el coeficiente de i, no incluye la i misma.

En el plano complejo, cada número se representa como un punto usando sus coordenadas (parte real, parte imaginaria). Esto hace que visualizar los números complejos sea mucho más fácil y te ayuda a entender mejor las operaciones.
El conjugado de un número complejo Z = a + bi es Z̄ = a - bi. Básicamente, cambias el signo de la parte imaginaria. Los conjugados tienen propiedades importantes que facilitan las operaciones con números complejos.
Gráficamente, el conjugado de un número es su reflejo respecto al eje real. Si tienes Z₁ = 2 + 3i, su conjugado es Z̄₁ = 2 - 3i.
Dato útil: El conjugado de números reales puros es el mismo número, y el conjugado de números imaginarios puros solo cambia el signo.

Encontrar el conjugado es súper directo: solo cambias el signo de la parte imaginaria. Para Z = 3 - 2i, el conjugado es Z̄ = 3 + 2i. Para números reales como Z = 5, el conjugado es el mismo: Z̄ = 5.
La forma polar de un número complejo usa el módulo (r) y el argumento (θ). El módulo se calcula como r = √ y el argumento como θ = tan⁻¹.
En forma polar, escribimos Z = r. Esta representación es especialmente útil para multiplicar y dividir números complejos, ya que las operaciones se vuelven mucho más simples.
Fórmula clave: Para convertir a polar, necesitas r = √ y θ = tan⁻¹.

La forma exponencial usa la increíble fórmula de Euler: e^(iθ) = cos θ + i sen θ. Esto significa que Z = re^(iθ) es equivalente a la forma polar. Es una de las fórmulas más elegantes de las matemáticas.
Para encontrar el ángulo correcto según el cuadrante, tienes que ajustar lo que te da la calculadora. En el primer cuadrante usas el valor directo, en el segundo y tercero sumas 180°, y en el cuarto sumas 360°.
Si obtienes un ángulo mayor a 360°, simplemente le restas 360° hasta que esté entre 0° y 360°. Esto te da el ángulo principal.
Recuerda: La fórmula de Euler conecta las funciones trigonométricas con las exponenciales de manera brillante.

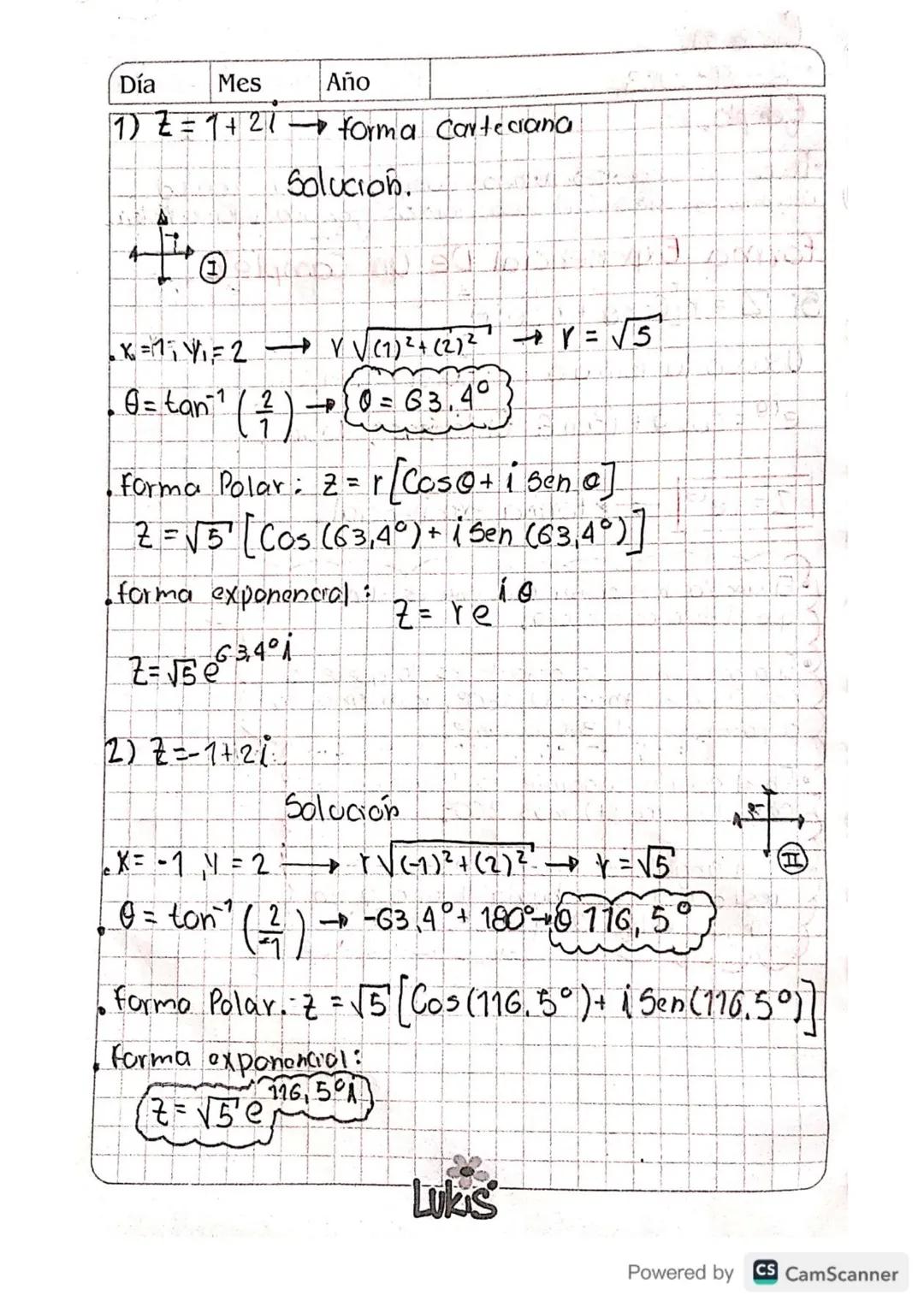
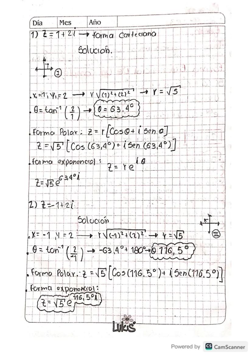
Vamos a practicar con ejemplos concretos. Para Z = 1 + 2i, calculamos r = √(1² + 2²) = √5 y θ = tan⁻¹(2/1) = 63.4°. Como está en el primer cuadrante, usamos el ángulo directo.
Para Z = -1 + 2i (segundo cuadrante), r = √5 pero θ = -63.4° + 180° = 116.5°. Siempre debes ajustar según el cuadrante donde esté ubicado tu número complejo.
La forma polar queda Z = √5 y la exponencial Z = √5e^(i63.4°). Ambas representan exactamente el mismo número, solo en diferentes formas.
Tip práctico: Identifica primero el cuadrante para ajustar correctamente el ángulo que te da la calculadora.

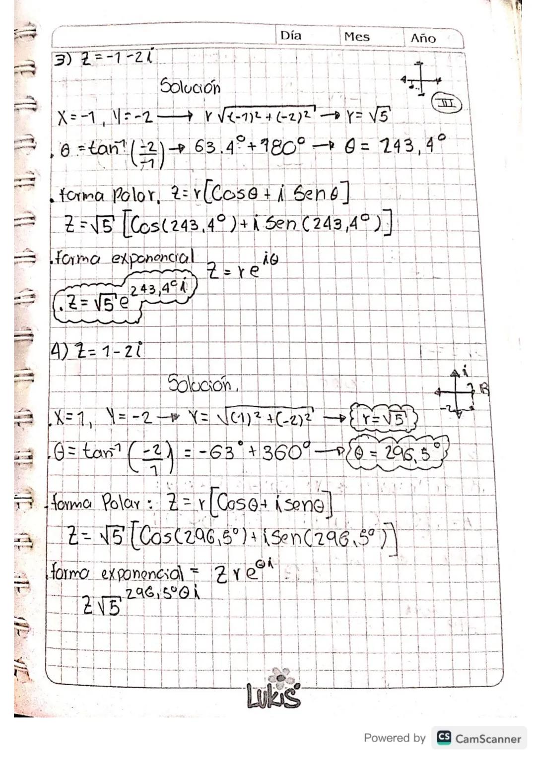
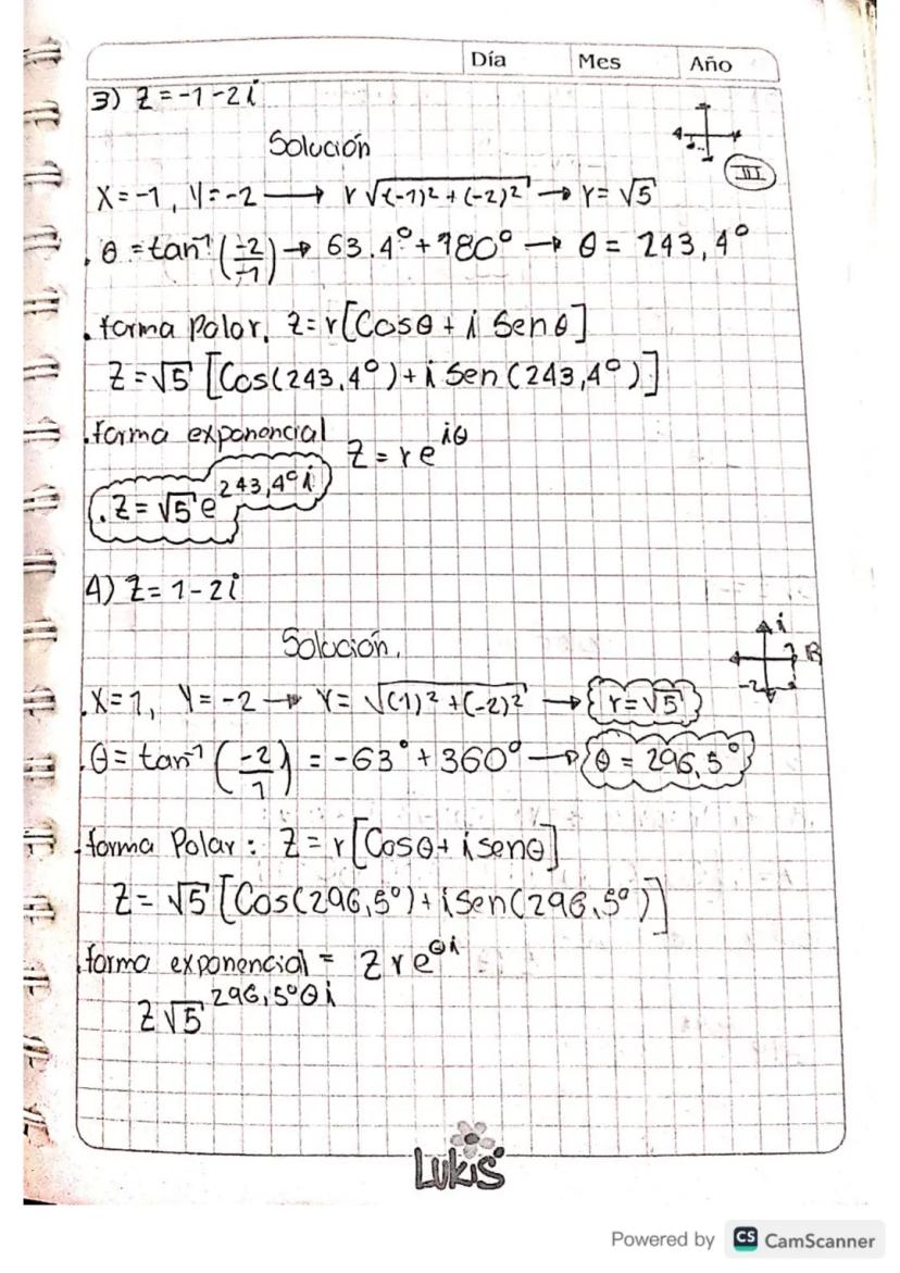
Para números en el tercer cuadrante como Z = -1 - 2i, el ángulo se calcula como 63.4° + 180° = 243.4°. El módulo sigue siendo √5 porque las coordenadas se elevan al cuadrado.
En el cuarto cuadrante, Z = 1 - 2i da θ = -63.4° + 360° = 296.5°. Siempre sumamos 360° cuando el ángulo inicial es negativo para mantenerlo en el rango de 0° a 360°.
La clave está en recordar que el módulo siempre es positivo (es una distancia), pero el argumento cambia según la posición del punto en el plano complejo.
Importante: El módulo es siempre la distancia desde el origen, sin importar el cuadrante.

Los números reales puros son casos especiales súper fáciles. Para Z = 1, tenemos x = 1, y = 0, entonces r = 1 y θ = 0°. La forma polar es Z = 1.
Para Z = -1, tenemos x = -1, y = 0, así que r = 1 y θ = 180°. Esto tiene sentido porque -1 está sobre el eje real negativo.
Estos casos te ayudan a verificar si estás haciendo bien los cálculos. Los números reales positivos tienen argumento 0° y los negativos tienen argumento 180°.
Verificación: Los números reales puros siempre tienen argumentos de 0° o 180°.

Para números imaginarios puros como Z = 2i, tenemos x = 0, y = 2. El módulo es r = 2 y el argumento θ = 90°. Esto es lógico porque está sobre el eje imaginario positivo.
Para Z = -2i, tenemos x = 0, y = -2, entonces r = 2 y θ = 270°. Los números imaginarios puros siempre tienen argumentos de 90° (positivos) o 270° (negativos).
La forma exponencial para estos casos es muy limpia: 2e^(90°i) y 2e^(270°i) respectivamente.
Patrón útil: Los imaginarios puros tienen argumentos de 90° o 270° exactamente.

Ahora vamos en dirección opuesta: de polar a cartesiana. Si tienes Z = 8, solo calculas cada parte por separado: x = 8cos(120°) = -4 e y = 8sen(120°) = 4√3.
Para Z = 13, obtienes x = 13cos(300°) = 13/2 e y = 13sen(300°) = -13√3/2. La forma cartesiana final es Z = 13/2 - (13√3/2)i.
Esta conversión es directa: multiplicas el módulo por el coseno para la parte real y por el seno para la parte imaginaria. Las tres formas (cartesiana, polar y exponencial) representan el mismo número.
Fórmula directa: x = r cos θ, y = r sen θ para convertir de polar a cartesiana.

Nuestro compañero de IA está específicamente adaptado a las necesidades de los estudiantes. Basándonos en los millones de contenidos que tenemos en la plataforma, podemos dar a los estudiantes respuestas realmente significativas y relevantes. Pero no se trata solo de respuestas, el compañero también guía a los estudiantes a través de sus retos de aprendizaje diarios, con planes de aprendizaje personalizados, cuestionarios o contenidos en el chat y una personalización del 100% basada en las habilidades y el desarrollo de los estudiantes.
Puedes descargar la app en Google Play Store y Apple App Store.
¡Sí lo es! Tienes acceso totalmente gratuito a todo el contenido de la app, puedes chatear con otros alumnos y recibir ayuda inmeditamente. Puedes ganar dinero utilizando la aplicación, que te permitirá acceder a determinadas funciones.
Números enteros y operaciones entre números enteros (Suma, Resta, Multiplicación y División)
App Store
Google Play
La app es muy fácil de usar y está muy bien diseñada. Hasta ahora he encontrado todo lo que estaba buscando y he podido aprender mucho de las presentaciones. Definitivamente utilizaré la aplicación para un examen de clase. Y, por supuesto, también me sirve mucho de inspiración.
Pablo
usuario de iOS
Esta app es realmente genial. Hay tantos apuntes de clase y ayuda [...]. Tengo problemas con matemáticas, por ejemplo, y la aplicación tiene muchas opciones de ayuda. Gracias a Knowunity, he mejorado en mates. Se la recomiendo a todo el mundo.
Elena
usuaria de Android
Vaya, estoy realmente sorprendida. Acabo de probar la app porque la he visto anunciada muchas veces y me he quedado absolutamente alucinada. Esta app es LA AYUDA que quieres para el insti y, sobre todo, ofrece muchísimas cosas, como ejercicios y hojas informativas, que a mí personalmente me han sido MUY útiles.
Ana
usuaria de iOS
Solía tener problemas para completar mis tareas a tiempo hasta que descubrí Knowunity, que no solo facilita subir mi propio contenido sino que también proporciona excelentes resúmenes que hacen mi trabajo más rápido y eficiente.
Thomas R
usuario de iOS
Siempre era un desafío encontrar toda la información importante para mis tareas – desde que comencé a usar Knowunity, puedo simplemente subir mi contenido y beneficiarme de los resúmenes de otros, lo que me ayuda mucho con la organización.
Lisa M
usuaria de Android
A menudo sentía que no tenía suficiente visión general al estudiar, pero desde que comencé a usar Knowunity, eso ya no es un problema – subo mi contenido y siempre encuentro resúmenes útiles en la plataforma, lo que hace mi aprendizaje mucho más fácil.
David K
usuario de iOS
¡La app es buenísima! Sólo tengo que introducir el tema en la barra de búsqueda y recibo la respuesta muy rápido. No tengo que ver 10 vídeos de YouTube para entender algo, así que me ahorro tiempo. ¡Muy recomendable!
Sara
usuaria de Android
En el instituto era muy malo en matemáticas, pero gracias a la app, ahora saco mejores notas. Os agradezco mucho que hayáis creado la aplicación.
Roberto
usuario de Android
Solía ser realmente difícil recopilar toda la información para mis presentaciones. Pero desde que comencé a usar Knowunity, solo subo mis apuntes y encuentro increíbles resúmenes de otros – ¡hace mi estudio mucho más eficiente!
Julia S
usuaria de Android
Estaba constantemente estresado con todo el material de estudio, pero desde que comencé a usar Knowunity, subo mis cosas y reviso los geniales resúmenes de otros – realmente me ayuda a gestionar todo mejor y es mucho menos estresante.
Marco B
usuario de iOS
LOS QUIZ Y FLASHCARDS SON SÚPER ÚTILES Y ME ENCANTA Knowunity IA. ADEMÁS ES LITERALMENTE COMO CHATGPT PERO MÁS LISTO!! ME AYUDÓ TAMBIÉN CON MIS PROBLEMAS DE MÁSCARA!! Y CON MIS ASIGNATURAS DE VERDAD! OBVIO 😍😁😲🤑💗✨🎀😮
Sarah L
usuaria de Android
Antes pasaba horas buscando en Google materiales escolares, pero ahora solo subo mis cosas a Knowunity y reviso los útiles resúmenes de otros - me siento mucho más seguro al prepararme para los exámenes.
Paul T
usuario de iOS
La app es muy fácil de usar y está muy bien diseñada. Hasta ahora he encontrado todo lo que estaba buscando y he podido aprender mucho de las presentaciones. Definitivamente utilizaré la aplicación para un examen de clase. Y, por supuesto, también me sirve mucho de inspiración.
Pablo
usuario de iOS
Esta app es realmente genial. Hay tantos apuntes de clase y ayuda [...]. Tengo problemas con matemáticas, por ejemplo, y la aplicación tiene muchas opciones de ayuda. Gracias a Knowunity, he mejorado en mates. Se la recomiendo a todo el mundo.
Elena
usuaria de Android
Vaya, estoy realmente sorprendida. Acabo de probar la app porque la he visto anunciada muchas veces y me he quedado absolutamente alucinada. Esta app es LA AYUDA que quieres para el insti y, sobre todo, ofrece muchísimas cosas, como ejercicios y hojas informativas, que a mí personalmente me han sido MUY útiles.
Ana
usuaria de iOS
Solía tener problemas para completar mis tareas a tiempo hasta que descubrí Knowunity, que no solo facilita subir mi propio contenido sino que también proporciona excelentes resúmenes que hacen mi trabajo más rápido y eficiente.
Thomas R
usuario de iOS
Siempre era un desafío encontrar toda la información importante para mis tareas – desde que comencé a usar Knowunity, puedo simplemente subir mi contenido y beneficiarme de los resúmenes de otros, lo que me ayuda mucho con la organización.
Lisa M
usuaria de Android
A menudo sentía que no tenía suficiente visión general al estudiar, pero desde que comencé a usar Knowunity, eso ya no es un problema – subo mi contenido y siempre encuentro resúmenes útiles en la plataforma, lo que hace mi aprendizaje mucho más fácil.
David K
usuario de iOS
¡La app es buenísima! Sólo tengo que introducir el tema en la barra de búsqueda y recibo la respuesta muy rápido. No tengo que ver 10 vídeos de YouTube para entender algo, así que me ahorro tiempo. ¡Muy recomendable!
Sara
usuaria de Android
En el instituto era muy malo en matemáticas, pero gracias a la app, ahora saco mejores notas. Os agradezco mucho que hayáis creado la aplicación.
Roberto
usuario de Android
Solía ser realmente difícil recopilar toda la información para mis presentaciones. Pero desde que comencé a usar Knowunity, solo subo mis apuntes y encuentro increíbles resúmenes de otros – ¡hace mi estudio mucho más eficiente!
Julia S
usuaria de Android
Estaba constantemente estresado con todo el material de estudio, pero desde que comencé a usar Knowunity, subo mis cosas y reviso los geniales resúmenes de otros – realmente me ayuda a gestionar todo mejor y es mucho menos estresante.
Marco B
usuario de iOS
LOS QUIZ Y FLASHCARDS SON SÚPER ÚTILES Y ME ENCANTA Knowunity IA. ADEMÁS ES LITERALMENTE COMO CHATGPT PERO MÁS LISTO!! ME AYUDÓ TAMBIÉN CON MIS PROBLEMAS DE MÁSCARA!! Y CON MIS ASIGNATURAS DE VERDAD! OBVIO 😍😁😲🤑💗✨🎀😮
Sarah L
usuaria de Android
Antes pasaba horas buscando en Google materiales escolares, pero ahora solo subo mis cosas a Knowunity y reviso los útiles resúmenes de otros - me siento mucho más seguro al prepararme para los exámenes.
Paul T
usuario de iOS
Keiner Ramirez
@sebit_as006
Los números complejos son una extensión de los números reales que incluyen números imaginarios. Estos surgen cuando necesitamos hallar raíces cuadradas de números negativos y son esenciales en matemáticas avanzadas.

Acceso a todos los documentos
Mejora tus notas
Únete a millones de estudiantes
¿Alguna vez te has preguntado qué pasa cuando intentas sacar la raíz cuadrada de un número negativo? Aquí es donde aparecen los números imaginarios. La unidad imaginaria se representa como i = √(-1) y tiene un patrón súper útil que se repite cada cuatro potencias.
Las cuatro potencias básicas de i son: i⁰ = 1, i¹ = i, i² = -1, i³ = -i. Después de i³, el patrón se repite. Para calcular potencias altas como i⁹², solo divides el exponente entre 4 y usas el residuo.
Para resolver raíces de números negativos, separas el signo negativo: √(-4) = √(4)√(-1) = 2i. Es así de simple una vez que entiendes el truco.
Tip clave: Para potencias de i, divide el exponente entre 4 y usa el residuo para determinar el resultado.

Acceso a todos los documentos
Mejora tus notas
Únete a millones de estudiantes
Un número complejo tiene la forma Z = a + bi, donde 'a' y 'b' son números reales. La parte 'a' se llama parte real y 'b' es la parte imaginaria. Esta representación se conoce como forma cartesiana.
Para identificar las partes de un número complejo, solo tienes que mirar los coeficientes. En Z = 3 - 2i, la parte real es 3 y la parte imaginaria es -2. Si solo tienes un número real como Z = 5, entonces la parte imaginaria es 0.
Los números complejos se pueden graficar en el plano complejo, donde el eje x representa la parte real y el eje y la parte imaginaria. Así, Z = a + bi se puede escribir como el punto (a, b).
Recuerda: La parte imaginaria es solo el coeficiente de i, no incluye la i misma.

Acceso a todos los documentos
Mejora tus notas
Únete a millones de estudiantes
En el plano complejo, cada número se representa como un punto usando sus coordenadas (parte real, parte imaginaria). Esto hace que visualizar los números complejos sea mucho más fácil y te ayuda a entender mejor las operaciones.
El conjugado de un número complejo Z = a + bi es Z̄ = a - bi. Básicamente, cambias el signo de la parte imaginaria. Los conjugados tienen propiedades importantes que facilitan las operaciones con números complejos.
Gráficamente, el conjugado de un número es su reflejo respecto al eje real. Si tienes Z₁ = 2 + 3i, su conjugado es Z̄₁ = 2 - 3i.
Dato útil: El conjugado de números reales puros es el mismo número, y el conjugado de números imaginarios puros solo cambia el signo.

Acceso a todos los documentos
Mejora tus notas
Únete a millones de estudiantes
Encontrar el conjugado es súper directo: solo cambias el signo de la parte imaginaria. Para Z = 3 - 2i, el conjugado es Z̄ = 3 + 2i. Para números reales como Z = 5, el conjugado es el mismo: Z̄ = 5.
La forma polar de un número complejo usa el módulo (r) y el argumento (θ). El módulo se calcula como r = √ y el argumento como θ = tan⁻¹.
En forma polar, escribimos Z = r. Esta representación es especialmente útil para multiplicar y dividir números complejos, ya que las operaciones se vuelven mucho más simples.
Fórmula clave: Para convertir a polar, necesitas r = √ y θ = tan⁻¹.

Acceso a todos los documentos
Mejora tus notas
Únete a millones de estudiantes
La forma exponencial usa la increíble fórmula de Euler: e^(iθ) = cos θ + i sen θ. Esto significa que Z = re^(iθ) es equivalente a la forma polar. Es una de las fórmulas más elegantes de las matemáticas.
Para encontrar el ángulo correcto según el cuadrante, tienes que ajustar lo que te da la calculadora. En el primer cuadrante usas el valor directo, en el segundo y tercero sumas 180°, y en el cuarto sumas 360°.
Si obtienes un ángulo mayor a 360°, simplemente le restas 360° hasta que esté entre 0° y 360°. Esto te da el ángulo principal.
Recuerda: La fórmula de Euler conecta las funciones trigonométricas con las exponenciales de manera brillante.

Acceso a todos los documentos
Mejora tus notas
Únete a millones de estudiantes
Vamos a practicar con ejemplos concretos. Para Z = 1 + 2i, calculamos r = √(1² + 2²) = √5 y θ = tan⁻¹(2/1) = 63.4°. Como está en el primer cuadrante, usamos el ángulo directo.
Para Z = -1 + 2i (segundo cuadrante), r = √5 pero θ = -63.4° + 180° = 116.5°. Siempre debes ajustar según el cuadrante donde esté ubicado tu número complejo.
La forma polar queda Z = √5 y la exponencial Z = √5e^(i63.4°). Ambas representan exactamente el mismo número, solo en diferentes formas.
Tip práctico: Identifica primero el cuadrante para ajustar correctamente el ángulo que te da la calculadora.

Acceso a todos los documentos
Mejora tus notas
Únete a millones de estudiantes
Para números en el tercer cuadrante como Z = -1 - 2i, el ángulo se calcula como 63.4° + 180° = 243.4°. El módulo sigue siendo √5 porque las coordenadas se elevan al cuadrado.
En el cuarto cuadrante, Z = 1 - 2i da θ = -63.4° + 360° = 296.5°. Siempre sumamos 360° cuando el ángulo inicial es negativo para mantenerlo en el rango de 0° a 360°.
La clave está en recordar que el módulo siempre es positivo (es una distancia), pero el argumento cambia según la posición del punto en el plano complejo.
Importante: El módulo es siempre la distancia desde el origen, sin importar el cuadrante.

Acceso a todos los documentos
Mejora tus notas
Únete a millones de estudiantes
Los números reales puros son casos especiales súper fáciles. Para Z = 1, tenemos x = 1, y = 0, entonces r = 1 y θ = 0°. La forma polar es Z = 1.
Para Z = -1, tenemos x = -1, y = 0, así que r = 1 y θ = 180°. Esto tiene sentido porque -1 está sobre el eje real negativo.
Estos casos te ayudan a verificar si estás haciendo bien los cálculos. Los números reales positivos tienen argumento 0° y los negativos tienen argumento 180°.
Verificación: Los números reales puros siempre tienen argumentos de 0° o 180°.

Acceso a todos los documentos
Mejora tus notas
Únete a millones de estudiantes
Para números imaginarios puros como Z = 2i, tenemos x = 0, y = 2. El módulo es r = 2 y el argumento θ = 90°. Esto es lógico porque está sobre el eje imaginario positivo.
Para Z = -2i, tenemos x = 0, y = -2, entonces r = 2 y θ = 270°. Los números imaginarios puros siempre tienen argumentos de 90° (positivos) o 270° (negativos).
La forma exponencial para estos casos es muy limpia: 2e^(90°i) y 2e^(270°i) respectivamente.
Patrón útil: Los imaginarios puros tienen argumentos de 90° o 270° exactamente.

Acceso a todos los documentos
Mejora tus notas
Únete a millones de estudiantes
Ahora vamos en dirección opuesta: de polar a cartesiana. Si tienes Z = 8, solo calculas cada parte por separado: x = 8cos(120°) = -4 e y = 8sen(120°) = 4√3.
Para Z = 13, obtienes x = 13cos(300°) = 13/2 e y = 13sen(300°) = -13√3/2. La forma cartesiana final es Z = 13/2 - (13√3/2)i.
Esta conversión es directa: multiplicas el módulo por el coseno para la parte real y por el seno para la parte imaginaria. Las tres formas (cartesiana, polar y exponencial) representan el mismo número.
Fórmula directa: x = r cos θ, y = r sen θ para convertir de polar a cartesiana.

Acceso a todos los documentos
Mejora tus notas
Únete a millones de estudiantes
Nuestro compañero de IA está específicamente adaptado a las necesidades de los estudiantes. Basándonos en los millones de contenidos que tenemos en la plataforma, podemos dar a los estudiantes respuestas realmente significativas y relevantes. Pero no se trata solo de respuestas, el compañero también guía a los estudiantes a través de sus retos de aprendizaje diarios, con planes de aprendizaje personalizados, cuestionarios o contenidos en el chat y una personalización del 100% basada en las habilidades y el desarrollo de los estudiantes.
Puedes descargar la app en Google Play Store y Apple App Store.
¡Sí lo es! Tienes acceso totalmente gratuito a todo el contenido de la app, puedes chatear con otros alumnos y recibir ayuda inmeditamente. Puedes ganar dinero utilizando la aplicación, que te permitirá acceder a determinadas funciones.
0
Herramientas Inteligentes NUEVO
Transforma estos apuntes en: ✓ 50+ Preguntas de Práctica ✓ Fichas Interactivas ✓ Examen Completo de Práctica ✓ Esquemas de Ensayo
Números enteros y operaciones entre números enteros (Suma, Resta, Multiplicación y División)
App Store
Google Play
La app es muy fácil de usar y está muy bien diseñada. Hasta ahora he encontrado todo lo que estaba buscando y he podido aprender mucho de las presentaciones. Definitivamente utilizaré la aplicación para un examen de clase. Y, por supuesto, también me sirve mucho de inspiración.
Pablo
usuario de iOS
Esta app es realmente genial. Hay tantos apuntes de clase y ayuda [...]. Tengo problemas con matemáticas, por ejemplo, y la aplicación tiene muchas opciones de ayuda. Gracias a Knowunity, he mejorado en mates. Se la recomiendo a todo el mundo.
Elena
usuaria de Android
Vaya, estoy realmente sorprendida. Acabo de probar la app porque la he visto anunciada muchas veces y me he quedado absolutamente alucinada. Esta app es LA AYUDA que quieres para el insti y, sobre todo, ofrece muchísimas cosas, como ejercicios y hojas informativas, que a mí personalmente me han sido MUY útiles.
Ana
usuaria de iOS
Solía tener problemas para completar mis tareas a tiempo hasta que descubrí Knowunity, que no solo facilita subir mi propio contenido sino que también proporciona excelentes resúmenes que hacen mi trabajo más rápido y eficiente.
Thomas R
usuario de iOS
Siempre era un desafío encontrar toda la información importante para mis tareas – desde que comencé a usar Knowunity, puedo simplemente subir mi contenido y beneficiarme de los resúmenes de otros, lo que me ayuda mucho con la organización.
Lisa M
usuaria de Android
A menudo sentía que no tenía suficiente visión general al estudiar, pero desde que comencé a usar Knowunity, eso ya no es un problema – subo mi contenido y siempre encuentro resúmenes útiles en la plataforma, lo que hace mi aprendizaje mucho más fácil.
David K
usuario de iOS
¡La app es buenísima! Sólo tengo que introducir el tema en la barra de búsqueda y recibo la respuesta muy rápido. No tengo que ver 10 vídeos de YouTube para entender algo, así que me ahorro tiempo. ¡Muy recomendable!
Sara
usuaria de Android
En el instituto era muy malo en matemáticas, pero gracias a la app, ahora saco mejores notas. Os agradezco mucho que hayáis creado la aplicación.
Roberto
usuario de Android
Solía ser realmente difícil recopilar toda la información para mis presentaciones. Pero desde que comencé a usar Knowunity, solo subo mis apuntes y encuentro increíbles resúmenes de otros – ¡hace mi estudio mucho más eficiente!
Julia S
usuaria de Android
Estaba constantemente estresado con todo el material de estudio, pero desde que comencé a usar Knowunity, subo mis cosas y reviso los geniales resúmenes de otros – realmente me ayuda a gestionar todo mejor y es mucho menos estresante.
Marco B
usuario de iOS
LOS QUIZ Y FLASHCARDS SON SÚPER ÚTILES Y ME ENCANTA Knowunity IA. ADEMÁS ES LITERALMENTE COMO CHATGPT PERO MÁS LISTO!! ME AYUDÓ TAMBIÉN CON MIS PROBLEMAS DE MÁSCARA!! Y CON MIS ASIGNATURAS DE VERDAD! OBVIO 😍😁😲🤑💗✨🎀😮
Sarah L
usuaria de Android
Antes pasaba horas buscando en Google materiales escolares, pero ahora solo subo mis cosas a Knowunity y reviso los útiles resúmenes de otros - me siento mucho más seguro al prepararme para los exámenes.
Paul T
usuario de iOS
La app es muy fácil de usar y está muy bien diseñada. Hasta ahora he encontrado todo lo que estaba buscando y he podido aprender mucho de las presentaciones. Definitivamente utilizaré la aplicación para un examen de clase. Y, por supuesto, también me sirve mucho de inspiración.
Pablo
usuario de iOS
Esta app es realmente genial. Hay tantos apuntes de clase y ayuda [...]. Tengo problemas con matemáticas, por ejemplo, y la aplicación tiene muchas opciones de ayuda. Gracias a Knowunity, he mejorado en mates. Se la recomiendo a todo el mundo.
Elena
usuaria de Android
Vaya, estoy realmente sorprendida. Acabo de probar la app porque la he visto anunciada muchas veces y me he quedado absolutamente alucinada. Esta app es LA AYUDA que quieres para el insti y, sobre todo, ofrece muchísimas cosas, como ejercicios y hojas informativas, que a mí personalmente me han sido MUY útiles.
Ana
usuaria de iOS
Solía tener problemas para completar mis tareas a tiempo hasta que descubrí Knowunity, que no solo facilita subir mi propio contenido sino que también proporciona excelentes resúmenes que hacen mi trabajo más rápido y eficiente.
Thomas R
usuario de iOS
Siempre era un desafío encontrar toda la información importante para mis tareas – desde que comencé a usar Knowunity, puedo simplemente subir mi contenido y beneficiarme de los resúmenes de otros, lo que me ayuda mucho con la organización.
Lisa M
usuaria de Android
A menudo sentía que no tenía suficiente visión general al estudiar, pero desde que comencé a usar Knowunity, eso ya no es un problema – subo mi contenido y siempre encuentro resúmenes útiles en la plataforma, lo que hace mi aprendizaje mucho más fácil.
David K
usuario de iOS
¡La app es buenísima! Sólo tengo que introducir el tema en la barra de búsqueda y recibo la respuesta muy rápido. No tengo que ver 10 vídeos de YouTube para entender algo, así que me ahorro tiempo. ¡Muy recomendable!
Sara
usuaria de Android
En el instituto era muy malo en matemáticas, pero gracias a la app, ahora saco mejores notas. Os agradezco mucho que hayáis creado la aplicación.
Roberto
usuario de Android
Solía ser realmente difícil recopilar toda la información para mis presentaciones. Pero desde que comencé a usar Knowunity, solo subo mis apuntes y encuentro increíbles resúmenes de otros – ¡hace mi estudio mucho más eficiente!
Julia S
usuaria de Android
Estaba constantemente estresado con todo el material de estudio, pero desde que comencé a usar Knowunity, subo mis cosas y reviso los geniales resúmenes de otros – realmente me ayuda a gestionar todo mejor y es mucho menos estresante.
Marco B
usuario de iOS
LOS QUIZ Y FLASHCARDS SON SÚPER ÚTILES Y ME ENCANTA Knowunity IA. ADEMÁS ES LITERALMENTE COMO CHATGPT PERO MÁS LISTO!! ME AYUDÓ TAMBIÉN CON MIS PROBLEMAS DE MÁSCARA!! Y CON MIS ASIGNATURAS DE VERDAD! OBVIO 😍😁😲🤑💗✨🎀😮
Sarah L
usuaria de Android
Antes pasaba horas buscando en Google materiales escolares, pero ahora solo subo mis cosas a Knowunity y reviso los útiles resúmenes de otros - me siento mucho más seguro al prepararme para los exámenes.
Paul T
usuario de iOS