En el archivo está explicado todo los relacionado a Área entre las curvas junto con ejercicios resueltos y de práctica
Inscríbete para ver los apuntes¡Es gratis!
Acceso a todos los documentos
Mejora tus notas
Únete a millones de estudiantes
Al registrarte aceptas las Condiciones del servicio y la Política de privacidad.








![Guía de Caleulo Integral
Fecha: Abril 20 al 25 del 2020.
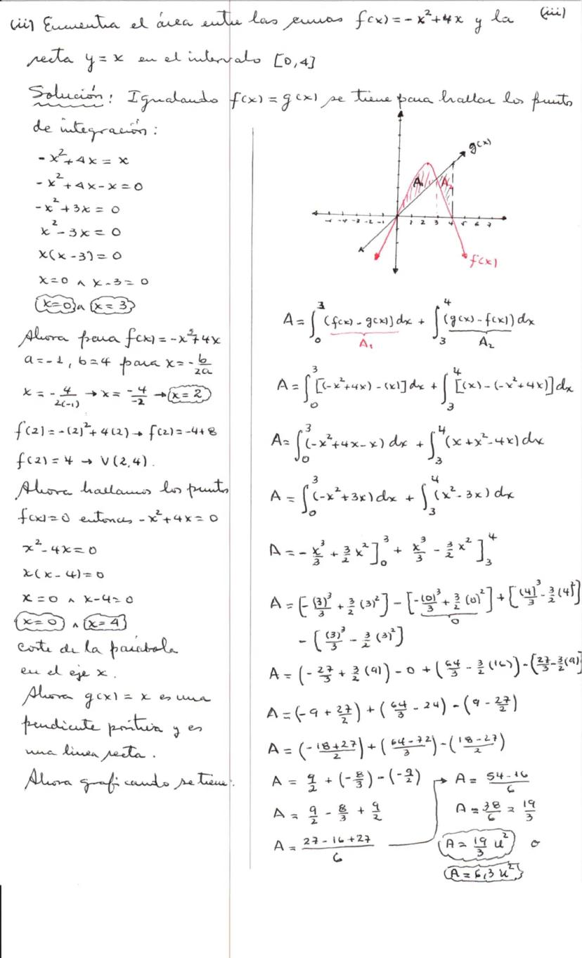
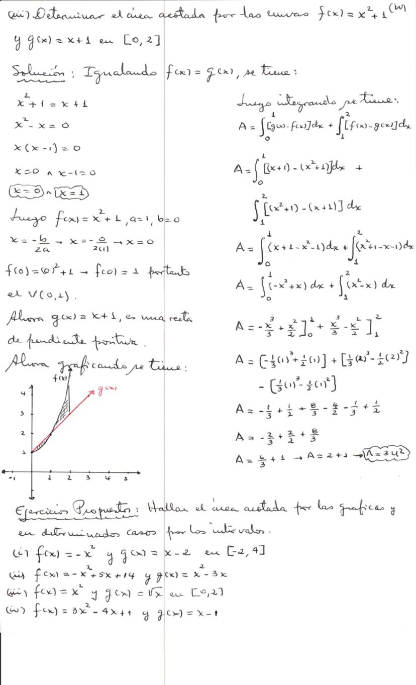
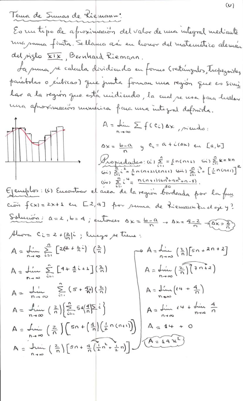
Tema: Area entre cuvas
(2)
Sea f y g son funciones continuas sobre un [a, b], enton](/_next/image?url=https%3A%2F%2Fcontent-eu-central-1.knowunity.com%2FCONTENT%2F0196cef6-2251-710a-a7b5-222a21915dfc_image_page_1.webp&w=2048&q=75)
![Guía de Caleulo Integral
Fecha: Abril 20 al 25 del 2020.
Tema: Area entre cuvas
(2)
Sea f y g son funciones continuas sobre un [a, b], enton](/_next/image?url=https%3A%2F%2Fcontent-eu-central-1.knowunity.com%2FCONTENT%2F0196cef6-2251-710a-a7b5-222a21915dfc_image_page_2.webp&w=2048&q=75)
![Guía de Caleulo Integral
Fecha: Abril 20 al 25 del 2020.
Tema: Area entre cuvas
(2)
Sea f y g son funciones continuas sobre un [a, b], enton](/_next/image?url=https%3A%2F%2Fcontent-eu-central-1.knowunity.com%2FCONTENT%2F0196cef6-2251-710a-a7b5-222a21915dfc_image_page_3.webp&w=2048&q=75)
![Guía de Caleulo Integral
Fecha: Abril 20 al 25 del 2020.
Tema: Area entre cuvas
(2)
Sea f y g son funciones continuas sobre un [a, b], enton](/_next/image?url=https%3A%2F%2Fcontent-eu-central-1.knowunity.com%2FCONTENT%2F0196cef6-2251-710a-a7b5-222a21915dfc_image_page_4.webp&w=2048&q=75)
![Guía de Caleulo Integral
Fecha: Abril 20 al 25 del 2020.
Tema: Area entre cuvas
(2)
Sea f y g son funciones continuas sobre un [a, b], enton](/_next/image?url=https%3A%2F%2Fcontent-eu-central-1.knowunity.com%2FCONTENT%2F0196cef6-2251-710a-a7b5-222a21915dfc_image_page_5.webp&w=2048&q=75)
![Guía de Caleulo Integral
Fecha: Abril 20 al 25 del 2020.
Tema: Area entre cuvas
(2)
Sea f y g son funciones continuas sobre un [a, b], enton](/_next/image?url=https%3A%2F%2Fcontent-eu-central-1.knowunity.com%2FCONTENT%2F0196cef6-2251-710a-a7b5-222a21915dfc_image_page_6.webp&w=2048&q=75)
![Guía de Caleulo Integral
Fecha: Abril 20 al 25 del 2020.
Tema: Area entre cuvas
(2)
Sea f y g son funciones continuas sobre un [a, b], enton](/_next/image?url=https%3A%2F%2Fcontent-eu-central-1.knowunity.com%2FCONTENT%2F0196cef6-2251-710a-a7b5-222a21915dfc_image_page_7.webp&w=2048&q=75)