¡Prepárate para dominar dos temas súper importantes en física! Primero... Mostrar más
Inscríbete para ver los apuntes¡Es gratis!
Acceso a todos los documentos
Mejora tus notas
Únete a millones de estudiantes
Knowunity AI
Asignaturas
Triangle Congruence and Similarity Theorems
Triangle Properties and Classification
Linear Equations and Graphs
Geometric Angle Relationships
Trigonometric Functions and Identities
Equation Solving Techniques
Circle Geometry Fundamentals
Division Operations and Methods
Basic Differentiation Rules
Exponent and Logarithm Properties
Mostrar todos los temas
Human Organ Systems
Reproductive Cell Cycles
Biological Sciences Subdisciplines
Cellular Energy Metabolism
Autotrophic Energy Processes
Inheritance Patterns and Principles
Biomolecular Structure and Organization
Cell Cycle and Division Mechanics
Cellular Organization and Development
Biological Structural Organization
Mostrar todos los temas
Chemical Sciences and Applications
Atomic Structure and Composition
Molecular Electron Structure Representation
Atomic Electron Behavior
Matter Properties and Water
Mole Concept and Calculations
Gas Laws and Behavior
Periodic Table Organization
Chemical Thermodynamics Fundamentals
Chemical Bond Types and Properties
Mostrar todos los temas
European Renaissance and Enlightenment
European Cultural Movements 800-1920
American Revolution Era 1763-1797
American Civil War 1861-1865
Global Imperial Systems
Mongol and Chinese Dynasties
U.S. Presidents and World Leaders
Historical Sources and Documentation
World Wars Era and Impact
World Religious Systems
Mostrar todos los temas
Classic and Contemporary Novels
Literary Character Analysis
Rhetorical Theory and Practice
Classic Literary Narratives
Reading Analysis and Interpretation
Narrative Structure and Techniques
English Language Components
Influential English-Language Authors
Basic Sentence Structure
Narrative Voice and Perspective
Mostrar todos los temas
44
•
Actualizado May 16, 2026
•
Santorini
@santorini
¡Prepárate para dominar dos temas súper importantes en física! Primero... Mostrar más
































































¿Alguna vez te has preguntado cómo los físicos "rompen" una fuerza en pedacitos más fáciles de manejar? Eso es exactamente lo que hacemos con las componentes de vectores. Es como desarmar un juguete para entender cómo funciona cada parte.
Para encontrar las componentes de cualquier vector, usas las funciones trigonométricas básicas. Si tienes un vector con magnitud F y ángulo θ, entonces: Fx = F cos θ y Fy = F sen θ. Es así de simple.
Los ejemplos muestran vectores de diferentes magnitudes (como fuerzas de 4000 lb y 3200 lb) donde necesitas encontrar sus componentes x e y. Una vez que tienes todas las componentes, puedes sumar vectores fácilmente: solo sumas todas las componentes x por separado y todas las y por separado.
¡Tip clave! Siempre dibuja el vector y marca el ángulo claramente. Esto te ayudará a no confundirte con los signos positivos y negativos.

La electroestática es básicamente el estudio de las cargas eléctricas cuando no se mueven. Piensa en cuando frotas un globo en tu cabello y luego lo pegas a la pared - ¡esa es electroestática en acción!
Todo empieza con los átomos. Normalmente están neutros porque tienen el mismo número de protones (+) y electrones (-). Pero cuando los electrones se mueven de un lugar a otro, ¡ahí empiezan los fuegos artificiales! Los materiales conductores dejan que los electrones fluyan fácilmente, mientras que los aislantes los mantienen quietecitos.
La regla de oro es súper simple: cargas iguales se repelen, cargas diferentes se atraen. Es como cuando intentas juntar dos imanes por el mismo polo - se rechazan con fuerza.
La Ley de Coulomb nos dice exactamente qué tan fuerte es esa fuerza: F = k(|q₁||q₂|)/r². La constante k = 8.98×10⁹ N·m²/C² es tu número mágico que siempre vas a usar.
¡Importante! La carga de un electrón es -1.602×10⁻¹⁹ C. Este numerito aparece en muchos problemas.

¿Listos para resolver problemas reales? Aquí es donde la Ley de Coulomb se vuelve tu mejor amiga. Los problemas típicos te dan dos o más cargas separadas por cierta distancia, y tú calculas las fuerzas entre ellas.
El proceso siempre es el mismo: tomas F = k(|q₁||q₂|)/r², sustituyes los valores, y calculas. Por ejemplo, con cargas de 3μC y 2μC separadas por 4cm, obtienes fuerzas del orden de 33.67 N. ¡Eso es bastante fuerte para cargas tan pequeñas!
Lo interesante es que estas fuerzas son vectores, así que necesitas usar lo que aprendiste en la página 1. Tienes que encontrar el vector unitario que apunta de una carga hacia la otra, y multiplicar tu fuerza por ese vector.
Cuando tienes múltiples cargas, simplemente sumas todas las fuerzas vectorialmente. Es como un juego de tira y afloja en múltiples direcciones.
¡Recuerda! Siempre convierte las unidades: centímetros a metros, microcoulombs a coulombs. Es donde más errores se cometen.

Ahora viene lo genial: el campo eléctrico. Imagínate que cada carga crea una "zona de influencia" invisible alrededor de ella. Esa zona es el campo eléctrico, y se mide en N/C (newtons por coulomb).
La fórmula es súper parecida a la de Coulomb: E = k|q|/r², pero ahora no necesitas saber qué carga vas a poner ahí. El campo existe aunque no haya nada que lo sienta. Es como la gravedad - está ahí aunque no haya nada cayendo.
Las líneas de campo eléctrico son como mapas que muestran hacia dónde apunta el campo. Salen de las cargas positivas y llegan a las negativas. Mientras más juntas estén las líneas, más fuerte es el campo.
Cuando tienes varias cargas, el campo total en cualquier punto es simplemente la suma vectorial de todos los campos individuales. ¡Matemáticas de vectores otra vez!
¡Visualiza! Dibuja siempre las líneas de campo. Te ayudan a entender hacia dónde van las fuerzas antes de hacer cualquier cálculo.

Los problemas típicos te piden encontrar el campo eléctrico total en un punto específico debido a varias cargas. Es como un problema de vectores disfrazado de electroestática.
El proceso es sistemático: para cada carga, calculas E = k|q|/r², encuentras el vector unitario desde la carga hasta el punto, y multiplicas. Después sumas todos estos vectores usando componentes i y j.
En los ejemplos típicos, con cargas de algunos microcoulombs separadas por centímetros, obtienes campos de miles de N/C. El resultado final te da tanto la magnitud del campo como su dirección .
Una cosa cool: si el problema te pregunta qué carga necesitas para eliminar el campo en un punto, simplemente igualas el campo total a cero y despejas la carga desconocida.
¡Estrategia ganadora! Haz una tabla con cada carga, su distancia al punto, su campo individual, y su vector unitario. Te organizará la mente.

¿Qué pasa cuando no tienes cargas puntuales sino distribuciones continuas? ¡Aquí es donde el cálculo integral salva el día! Pero no te asustes, los conceptos siguen siendo los mismos.
Tienes tres tipos principales: distribución lineal , distribución superficial , y distribución volumétrica . Cada una describe cómo está repartida la carga.
Para calcular el campo, divides la distribución en pedacitos infinitesimales dq, calculas el campo de cada pedacito, y los integras todos. Es como sumar infinitas cargas puntuales súper pequeñas.
El ejemplo clásico es una barra cargada uniformemente. La fórmula final para el campo a una distancia h de una barra de longitud L es: E = (2kλL)/. Si la barra es mucho más larga que tu distancia (L >> h), se simplifica a E = 2kλ/h.
¡Tip de física! Cuando L >> h, puedes tratar la barra como si fuera infinita. Esto simplifica muchísimo los cálculos.

Los problemas más interesantes combinan cargas puntuales y distribuciones continuas. Aquí es donde realmente demuestras que dominas la electroestática.
El enfoque es híbrido: calculas el campo debido a cada carga puntual usando E = k|q|/r², y el campo debido a cada distribución usando las fórmulas integrales. Después sumas todo vectorialmente.
En el ejemplo mostrado, tienes un protón (carga puntual) y varias distribuciones lineales. El campo del protón da -4495 N/C en dirección î, mientras que las distribuciones contribuyen en dirección ĵ. El resultado final se obtiene sumando todas las componentes.
Los números pueden ser grandes , pero eso es normal cuando trabajas con distancias muy pequeñas. Lo importante es mantener la organización y no perderte en los cálculos vectoriales.
¡Clave del éxito! Separa siempre las contribuciones puntuales de las continuas. Resuélvelas por separado y después suma.
























































Nuestro compañero de IA está específicamente adaptado a las necesidades de los estudiantes. Basándonos en los millones de contenidos que tenemos en la plataforma, podemos dar a los estudiantes respuestas realmente significativas y relevantes. Pero no se trata solo de respuestas, el compañero también guía a los estudiantes a través de sus retos de aprendizaje diarios, con planes de aprendizaje personalizados, cuestionarios o contenidos en el chat y una personalización del 100% basada en las habilidades y el desarrollo de los estudiantes.
Puedes descargar la app en Google Play Store y Apple App Store.
¡Sí lo es! Tienes acceso totalmente gratuito a todo el contenido de la app, puedes chatear con otros alumnos y recibir ayuda inmeditamente. Puedes ganar dinero utilizando la aplicación, que te permitirá acceder a determinadas funciones.
App Store
Google Play
La app es muy fácil de usar y está muy bien diseñada. Hasta ahora he encontrado todo lo que estaba buscando y he podido aprender mucho de las presentaciones. Definitivamente utilizaré la aplicación para un examen de clase. Y, por supuesto, también me sirve mucho de inspiración.
Pablo
usuario de iOS
Esta app es realmente genial. Hay tantos apuntes de clase y ayuda [...]. Tengo problemas con matemáticas, por ejemplo, y la aplicación tiene muchas opciones de ayuda. Gracias a Knowunity, he mejorado en mates. Se la recomiendo a todo el mundo.
Elena
usuaria de Android
Vaya, estoy realmente sorprendida. Acabo de probar la app porque la he visto anunciada muchas veces y me he quedado absolutamente alucinada. Esta app es LA AYUDA que quieres para el insti y, sobre todo, ofrece muchísimas cosas, como ejercicios y hojas informativas, que a mí personalmente me han sido MUY útiles.
Ana
usuaria de iOS
Solía tener problemas para completar mis tareas a tiempo hasta que descubrí Knowunity, que no solo facilita subir mi propio contenido sino que también proporciona excelentes resúmenes que hacen mi trabajo más rápido y eficiente.
Thomas R
usuario de iOS
Siempre era un desafío encontrar toda la información importante para mis tareas – desde que comencé a usar Knowunity, puedo simplemente subir mi contenido y beneficiarme de los resúmenes de otros, lo que me ayuda mucho con la organización.
Lisa M
usuaria de Android
A menudo sentía que no tenía suficiente visión general al estudiar, pero desde que comencé a usar Knowunity, eso ya no es un problema – subo mi contenido y siempre encuentro resúmenes útiles en la plataforma, lo que hace mi aprendizaje mucho más fácil.
David K
usuario de iOS
¡La app es buenísima! Sólo tengo que introducir el tema en la barra de búsqueda y recibo la respuesta muy rápido. No tengo que ver 10 vídeos de YouTube para entender algo, así que me ahorro tiempo. ¡Muy recomendable!
Sara
usuaria de Android
En el instituto era muy malo en matemáticas, pero gracias a la app, ahora saco mejores notas. Os agradezco mucho que hayáis creado la aplicación.
Roberto
usuario de Android
Solía ser realmente difícil recopilar toda la información para mis presentaciones. Pero desde que comencé a usar Knowunity, solo subo mis apuntes y encuentro increíbles resúmenes de otros – ¡hace mi estudio mucho más eficiente!
Julia S
usuaria de Android
Estaba constantemente estresado con todo el material de estudio, pero desde que comencé a usar Knowunity, subo mis cosas y reviso los geniales resúmenes de otros – realmente me ayuda a gestionar todo mejor y es mucho menos estresante.
Marco B
usuario de iOS
LOS QUIZ Y FLASHCARDS SON SÚPER ÚTILES Y ME ENCANTA Knowunity IA. ADEMÁS ES LITERALMENTE COMO CHATGPT PERO MÁS LISTO!! ME AYUDÓ TAMBIÉN CON MIS PROBLEMAS DE MÁSCARA!! Y CON MIS ASIGNATURAS DE VERDAD! OBVIO 😍😁😲🤑💗✨🎀😮
Sarah L
usuaria de Android
Antes pasaba horas buscando en Google materiales escolares, pero ahora solo subo mis cosas a Knowunity y reviso los útiles resúmenes de otros - me siento mucho más seguro al prepararme para los exámenes.
Paul T
usuario de iOS
La app es muy fácil de usar y está muy bien diseñada. Hasta ahora he encontrado todo lo que estaba buscando y he podido aprender mucho de las presentaciones. Definitivamente utilizaré la aplicación para un examen de clase. Y, por supuesto, también me sirve mucho de inspiración.
Pablo
usuario de iOS
Esta app es realmente genial. Hay tantos apuntes de clase y ayuda [...]. Tengo problemas con matemáticas, por ejemplo, y la aplicación tiene muchas opciones de ayuda. Gracias a Knowunity, he mejorado en mates. Se la recomiendo a todo el mundo.
Elena
usuaria de Android
Vaya, estoy realmente sorprendida. Acabo de probar la app porque la he visto anunciada muchas veces y me he quedado absolutamente alucinada. Esta app es LA AYUDA que quieres para el insti y, sobre todo, ofrece muchísimas cosas, como ejercicios y hojas informativas, que a mí personalmente me han sido MUY útiles.
Ana
usuaria de iOS
Solía tener problemas para completar mis tareas a tiempo hasta que descubrí Knowunity, que no solo facilita subir mi propio contenido sino que también proporciona excelentes resúmenes que hacen mi trabajo más rápido y eficiente.
Thomas R
usuario de iOS
Siempre era un desafío encontrar toda la información importante para mis tareas – desde que comencé a usar Knowunity, puedo simplemente subir mi contenido y beneficiarme de los resúmenes de otros, lo que me ayuda mucho con la organización.
Lisa M
usuaria de Android
A menudo sentía que no tenía suficiente visión general al estudiar, pero desde que comencé a usar Knowunity, eso ya no es un problema – subo mi contenido y siempre encuentro resúmenes útiles en la plataforma, lo que hace mi aprendizaje mucho más fácil.
David K
usuario de iOS
¡La app es buenísima! Sólo tengo que introducir el tema en la barra de búsqueda y recibo la respuesta muy rápido. No tengo que ver 10 vídeos de YouTube para entender algo, así que me ahorro tiempo. ¡Muy recomendable!
Sara
usuaria de Android
En el instituto era muy malo en matemáticas, pero gracias a la app, ahora saco mejores notas. Os agradezco mucho que hayáis creado la aplicación.
Roberto
usuario de Android
Solía ser realmente difícil recopilar toda la información para mis presentaciones. Pero desde que comencé a usar Knowunity, solo subo mis apuntes y encuentro increíbles resúmenes de otros – ¡hace mi estudio mucho más eficiente!
Julia S
usuaria de Android
Estaba constantemente estresado con todo el material de estudio, pero desde que comencé a usar Knowunity, subo mis cosas y reviso los geniales resúmenes de otros – realmente me ayuda a gestionar todo mejor y es mucho menos estresante.
Marco B
usuario de iOS
LOS QUIZ Y FLASHCARDS SON SÚPER ÚTILES Y ME ENCANTA Knowunity IA. ADEMÁS ES LITERALMENTE COMO CHATGPT PERO MÁS LISTO!! ME AYUDÓ TAMBIÉN CON MIS PROBLEMAS DE MÁSCARA!! Y CON MIS ASIGNATURAS DE VERDAD! OBVIO 😍😁😲🤑💗✨🎀😮
Sarah L
usuaria de Android
Antes pasaba horas buscando en Google materiales escolares, pero ahora solo subo mis cosas a Knowunity y reviso los útiles resúmenes de otros - me siento mucho más seguro al prepararme para los exámenes.
Paul T
usuario de iOS
Santorini
@santorini
¡Prepárate para dominar dos temas súper importantes en física! Primero vamos a ver cómo descomponer vectores usando trigonometría (algo que usarás en casi todos los problemas de física), y después nos metemos de lleno en la electroestática, donde aprenderás por... Mostrar más

Acceso a todos los documentos
Mejora tus notas
Únete a millones de estudiantes
¿Alguna vez te has preguntado cómo los físicos "rompen" una fuerza en pedacitos más fáciles de manejar? Eso es exactamente lo que hacemos con las componentes de vectores. Es como desarmar un juguete para entender cómo funciona cada parte.
Para encontrar las componentes de cualquier vector, usas las funciones trigonométricas básicas. Si tienes un vector con magnitud F y ángulo θ, entonces: Fx = F cos θ y Fy = F sen θ. Es así de simple.
Los ejemplos muestran vectores de diferentes magnitudes (como fuerzas de 4000 lb y 3200 lb) donde necesitas encontrar sus componentes x e y. Una vez que tienes todas las componentes, puedes sumar vectores fácilmente: solo sumas todas las componentes x por separado y todas las y por separado.
¡Tip clave! Siempre dibuja el vector y marca el ángulo claramente. Esto te ayudará a no confundirte con los signos positivos y negativos.

Acceso a todos los documentos
Mejora tus notas
Únete a millones de estudiantes
La electroestática es básicamente el estudio de las cargas eléctricas cuando no se mueven. Piensa en cuando frotas un globo en tu cabello y luego lo pegas a la pared - ¡esa es electroestática en acción!
Todo empieza con los átomos. Normalmente están neutros porque tienen el mismo número de protones (+) y electrones (-). Pero cuando los electrones se mueven de un lugar a otro, ¡ahí empiezan los fuegos artificiales! Los materiales conductores dejan que los electrones fluyan fácilmente, mientras que los aislantes los mantienen quietecitos.
La regla de oro es súper simple: cargas iguales se repelen, cargas diferentes se atraen. Es como cuando intentas juntar dos imanes por el mismo polo - se rechazan con fuerza.
La Ley de Coulomb nos dice exactamente qué tan fuerte es esa fuerza: F = k(|q₁||q₂|)/r². La constante k = 8.98×10⁹ N·m²/C² es tu número mágico que siempre vas a usar.
¡Importante! La carga de un electrón es -1.602×10⁻¹⁹ C. Este numerito aparece en muchos problemas.

Acceso a todos los documentos
Mejora tus notas
Únete a millones de estudiantes
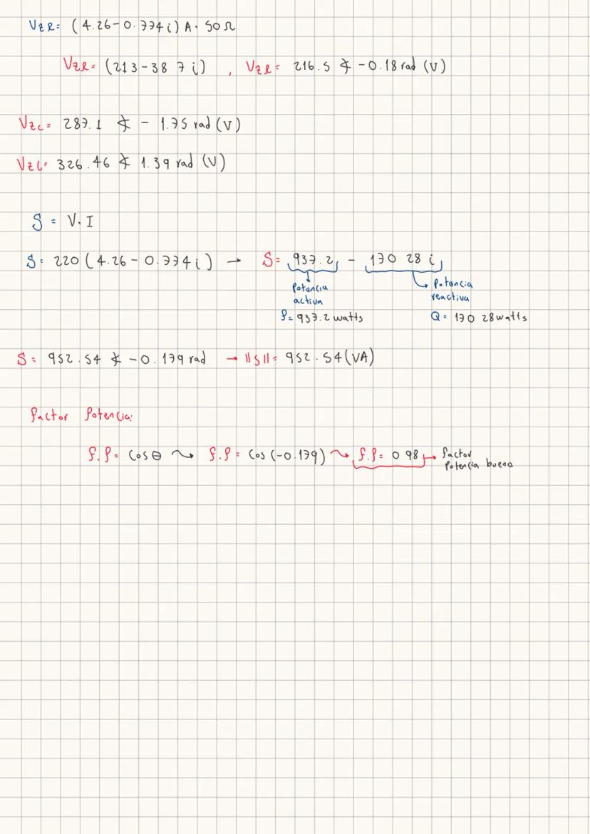
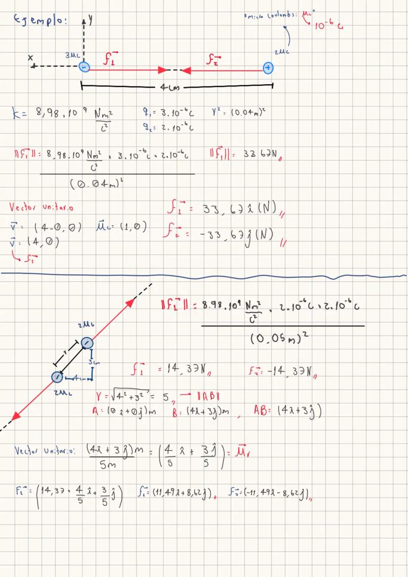
¿Listos para resolver problemas reales? Aquí es donde la Ley de Coulomb se vuelve tu mejor amiga. Los problemas típicos te dan dos o más cargas separadas por cierta distancia, y tú calculas las fuerzas entre ellas.
El proceso siempre es el mismo: tomas F = k(|q₁||q₂|)/r², sustituyes los valores, y calculas. Por ejemplo, con cargas de 3μC y 2μC separadas por 4cm, obtienes fuerzas del orden de 33.67 N. ¡Eso es bastante fuerte para cargas tan pequeñas!
Lo interesante es que estas fuerzas son vectores, así que necesitas usar lo que aprendiste en la página 1. Tienes que encontrar el vector unitario que apunta de una carga hacia la otra, y multiplicar tu fuerza por ese vector.
Cuando tienes múltiples cargas, simplemente sumas todas las fuerzas vectorialmente. Es como un juego de tira y afloja en múltiples direcciones.
¡Recuerda! Siempre convierte las unidades: centímetros a metros, microcoulombs a coulombs. Es donde más errores se cometen.

Acceso a todos los documentos
Mejora tus notas
Únete a millones de estudiantes
Ahora viene lo genial: el campo eléctrico. Imagínate que cada carga crea una "zona de influencia" invisible alrededor de ella. Esa zona es el campo eléctrico, y se mide en N/C (newtons por coulomb).
La fórmula es súper parecida a la de Coulomb: E = k|q|/r², pero ahora no necesitas saber qué carga vas a poner ahí. El campo existe aunque no haya nada que lo sienta. Es como la gravedad - está ahí aunque no haya nada cayendo.
Las líneas de campo eléctrico son como mapas que muestran hacia dónde apunta el campo. Salen de las cargas positivas y llegan a las negativas. Mientras más juntas estén las líneas, más fuerte es el campo.
Cuando tienes varias cargas, el campo total en cualquier punto es simplemente la suma vectorial de todos los campos individuales. ¡Matemáticas de vectores otra vez!
¡Visualiza! Dibuja siempre las líneas de campo. Te ayudan a entender hacia dónde van las fuerzas antes de hacer cualquier cálculo.

Acceso a todos los documentos
Mejora tus notas
Únete a millones de estudiantes
Los problemas típicos te piden encontrar el campo eléctrico total en un punto específico debido a varias cargas. Es como un problema de vectores disfrazado de electroestática.
El proceso es sistemático: para cada carga, calculas E = k|q|/r², encuentras el vector unitario desde la carga hasta el punto, y multiplicas. Después sumas todos estos vectores usando componentes i y j.
En los ejemplos típicos, con cargas de algunos microcoulombs separadas por centímetros, obtienes campos de miles de N/C. El resultado final te da tanto la magnitud del campo como su dirección .
Una cosa cool: si el problema te pregunta qué carga necesitas para eliminar el campo en un punto, simplemente igualas el campo total a cero y despejas la carga desconocida.
¡Estrategia ganadora! Haz una tabla con cada carga, su distancia al punto, su campo individual, y su vector unitario. Te organizará la mente.

Acceso a todos los documentos
Mejora tus notas
Únete a millones de estudiantes
¿Qué pasa cuando no tienes cargas puntuales sino distribuciones continuas? ¡Aquí es donde el cálculo integral salva el día! Pero no te asustes, los conceptos siguen siendo los mismos.
Tienes tres tipos principales: distribución lineal , distribución superficial , y distribución volumétrica . Cada una describe cómo está repartida la carga.
Para calcular el campo, divides la distribución en pedacitos infinitesimales dq, calculas el campo de cada pedacito, y los integras todos. Es como sumar infinitas cargas puntuales súper pequeñas.
El ejemplo clásico es una barra cargada uniformemente. La fórmula final para el campo a una distancia h de una barra de longitud L es: E = (2kλL)/. Si la barra es mucho más larga que tu distancia (L >> h), se simplifica a E = 2kλ/h.
¡Tip de física! Cuando L >> h, puedes tratar la barra como si fuera infinita. Esto simplifica muchísimo los cálculos.

Acceso a todos los documentos
Mejora tus notas
Únete a millones de estudiantes
Los problemas más interesantes combinan cargas puntuales y distribuciones continuas. Aquí es donde realmente demuestras que dominas la electroestática.
El enfoque es híbrido: calculas el campo debido a cada carga puntual usando E = k|q|/r², y el campo debido a cada distribución usando las fórmulas integrales. Después sumas todo vectorialmente.
En el ejemplo mostrado, tienes un protón (carga puntual) y varias distribuciones lineales. El campo del protón da -4495 N/C en dirección î, mientras que las distribuciones contribuyen en dirección ĵ. El resultado final se obtiene sumando todas las componentes.
Los números pueden ser grandes , pero eso es normal cuando trabajas con distancias muy pequeñas. Lo importante es mantener la organización y no perderte en los cálculos vectoriales.
¡Clave del éxito! Separa siempre las contribuciones puntuales de las continuas. Resuélvelas por separado y después suma.

Acceso a todos los documentos
Mejora tus notas
Únete a millones de estudiantes

Acceso a todos los documentos
Mejora tus notas
Únete a millones de estudiantes

Acceso a todos los documentos
Mejora tus notas
Únete a millones de estudiantes

Acceso a todos los documentos
Mejora tus notas
Únete a millones de estudiantes

Acceso a todos los documentos
Mejora tus notas
Únete a millones de estudiantes

Acceso a todos los documentos
Mejora tus notas
Únete a millones de estudiantes

Acceso a todos los documentos
Mejora tus notas
Únete a millones de estudiantes

Acceso a todos los documentos
Mejora tus notas
Únete a millones de estudiantes

Acceso a todos los documentos
Mejora tus notas
Únete a millones de estudiantes

Acceso a todos los documentos
Mejora tus notas
Únete a millones de estudiantes

Acceso a todos los documentos
Mejora tus notas
Únete a millones de estudiantes

Acceso a todos los documentos
Mejora tus notas
Únete a millones de estudiantes

Acceso a todos los documentos
Mejora tus notas
Únete a millones de estudiantes

Acceso a todos los documentos
Mejora tus notas
Únete a millones de estudiantes

Acceso a todos los documentos
Mejora tus notas
Únete a millones de estudiantes

Acceso a todos los documentos
Mejora tus notas
Únete a millones de estudiantes

Acceso a todos los documentos
Mejora tus notas
Únete a millones de estudiantes

Acceso a todos los documentos
Mejora tus notas
Únete a millones de estudiantes

Acceso a todos los documentos
Mejora tus notas
Únete a millones de estudiantes

Acceso a todos los documentos
Mejora tus notas
Únete a millones de estudiantes

Acceso a todos los documentos
Mejora tus notas
Únete a millones de estudiantes

Acceso a todos los documentos
Mejora tus notas
Únete a millones de estudiantes

Acceso a todos los documentos
Mejora tus notas
Únete a millones de estudiantes

Acceso a todos los documentos
Mejora tus notas
Únete a millones de estudiantes

Acceso a todos los documentos
Mejora tus notas
Únete a millones de estudiantes

Acceso a todos los documentos
Mejora tus notas
Únete a millones de estudiantes

Acceso a todos los documentos
Mejora tus notas
Únete a millones de estudiantes

Acceso a todos los documentos
Mejora tus notas
Únete a millones de estudiantes

Acceso a todos los documentos
Mejora tus notas
Únete a millones de estudiantes

Acceso a todos los documentos
Mejora tus notas
Únete a millones de estudiantes

Acceso a todos los documentos
Mejora tus notas
Únete a millones de estudiantes

Acceso a todos los documentos
Mejora tus notas
Únete a millones de estudiantes

Acceso a todos los documentos
Mejora tus notas
Únete a millones de estudiantes

Acceso a todos los documentos
Mejora tus notas
Únete a millones de estudiantes

Acceso a todos los documentos
Mejora tus notas
Únete a millones de estudiantes

Acceso a todos los documentos
Mejora tus notas
Únete a millones de estudiantes

Acceso a todos los documentos
Mejora tus notas
Únete a millones de estudiantes

Acceso a todos los documentos
Mejora tus notas
Únete a millones de estudiantes

Acceso a todos los documentos
Mejora tus notas
Únete a millones de estudiantes

Acceso a todos los documentos
Mejora tus notas
Únete a millones de estudiantes

Acceso a todos los documentos
Mejora tus notas
Únete a millones de estudiantes

Acceso a todos los documentos
Mejora tus notas
Únete a millones de estudiantes

Acceso a todos los documentos
Mejora tus notas
Únete a millones de estudiantes

Acceso a todos los documentos
Mejora tus notas
Únete a millones de estudiantes

Acceso a todos los documentos
Mejora tus notas
Únete a millones de estudiantes

Acceso a todos los documentos
Mejora tus notas
Únete a millones de estudiantes

Acceso a todos los documentos
Mejora tus notas
Únete a millones de estudiantes

Acceso a todos los documentos
Mejora tus notas
Únete a millones de estudiantes

Acceso a todos los documentos
Mejora tus notas
Únete a millones de estudiantes

Acceso a todos los documentos
Mejora tus notas
Únete a millones de estudiantes

Acceso a todos los documentos
Mejora tus notas
Únete a millones de estudiantes

Acceso a todos los documentos
Mejora tus notas
Únete a millones de estudiantes

Acceso a todos los documentos
Mejora tus notas
Únete a millones de estudiantes

Acceso a todos los documentos
Mejora tus notas
Únete a millones de estudiantes

Acceso a todos los documentos
Mejora tus notas
Únete a millones de estudiantes

Acceso a todos los documentos
Mejora tus notas
Únete a millones de estudiantes
Nuestro compañero de IA está específicamente adaptado a las necesidades de los estudiantes. Basándonos en los millones de contenidos que tenemos en la plataforma, podemos dar a los estudiantes respuestas realmente significativas y relevantes. Pero no se trata solo de respuestas, el compañero también guía a los estudiantes a través de sus retos de aprendizaje diarios, con planes de aprendizaje personalizados, cuestionarios o contenidos en el chat y una personalización del 100% basada en las habilidades y el desarrollo de los estudiantes.
Puedes descargar la app en Google Play Store y Apple App Store.
¡Sí lo es! Tienes acceso totalmente gratuito a todo el contenido de la app, puedes chatear con otros alumnos y recibir ayuda inmeditamente. Puedes ganar dinero utilizando la aplicación, que te permitirá acceder a determinadas funciones.
1
Herramientas Inteligentes NUEVO
Transforma estos apuntes en: ✓ 50+ Preguntas de Práctica ✓ Fichas Interactivas ✓ Examen Completo de Práctica ✓ Esquemas de Ensayo
App Store
Google Play
La app es muy fácil de usar y está muy bien diseñada. Hasta ahora he encontrado todo lo que estaba buscando y he podido aprender mucho de las presentaciones. Definitivamente utilizaré la aplicación para un examen de clase. Y, por supuesto, también me sirve mucho de inspiración.
Pablo
usuario de iOS
Esta app es realmente genial. Hay tantos apuntes de clase y ayuda [...]. Tengo problemas con matemáticas, por ejemplo, y la aplicación tiene muchas opciones de ayuda. Gracias a Knowunity, he mejorado en mates. Se la recomiendo a todo el mundo.
Elena
usuaria de Android
Vaya, estoy realmente sorprendida. Acabo de probar la app porque la he visto anunciada muchas veces y me he quedado absolutamente alucinada. Esta app es LA AYUDA que quieres para el insti y, sobre todo, ofrece muchísimas cosas, como ejercicios y hojas informativas, que a mí personalmente me han sido MUY útiles.
Ana
usuaria de iOS
Solía tener problemas para completar mis tareas a tiempo hasta que descubrí Knowunity, que no solo facilita subir mi propio contenido sino que también proporciona excelentes resúmenes que hacen mi trabajo más rápido y eficiente.
Thomas R
usuario de iOS
Siempre era un desafío encontrar toda la información importante para mis tareas – desde que comencé a usar Knowunity, puedo simplemente subir mi contenido y beneficiarme de los resúmenes de otros, lo que me ayuda mucho con la organización.
Lisa M
usuaria de Android
A menudo sentía que no tenía suficiente visión general al estudiar, pero desde que comencé a usar Knowunity, eso ya no es un problema – subo mi contenido y siempre encuentro resúmenes útiles en la plataforma, lo que hace mi aprendizaje mucho más fácil.
David K
usuario de iOS
¡La app es buenísima! Sólo tengo que introducir el tema en la barra de búsqueda y recibo la respuesta muy rápido. No tengo que ver 10 vídeos de YouTube para entender algo, así que me ahorro tiempo. ¡Muy recomendable!
Sara
usuaria de Android
En el instituto era muy malo en matemáticas, pero gracias a la app, ahora saco mejores notas. Os agradezco mucho que hayáis creado la aplicación.
Roberto
usuario de Android
Solía ser realmente difícil recopilar toda la información para mis presentaciones. Pero desde que comencé a usar Knowunity, solo subo mis apuntes y encuentro increíbles resúmenes de otros – ¡hace mi estudio mucho más eficiente!
Julia S
usuaria de Android
Estaba constantemente estresado con todo el material de estudio, pero desde que comencé a usar Knowunity, subo mis cosas y reviso los geniales resúmenes de otros – realmente me ayuda a gestionar todo mejor y es mucho menos estresante.
Marco B
usuario de iOS
LOS QUIZ Y FLASHCARDS SON SÚPER ÚTILES Y ME ENCANTA Knowunity IA. ADEMÁS ES LITERALMENTE COMO CHATGPT PERO MÁS LISTO!! ME AYUDÓ TAMBIÉN CON MIS PROBLEMAS DE MÁSCARA!! Y CON MIS ASIGNATURAS DE VERDAD! OBVIO 😍😁😲🤑💗✨🎀😮
Sarah L
usuaria de Android
Antes pasaba horas buscando en Google materiales escolares, pero ahora solo subo mis cosas a Knowunity y reviso los útiles resúmenes de otros - me siento mucho más seguro al prepararme para los exámenes.
Paul T
usuario de iOS
La app es muy fácil de usar y está muy bien diseñada. Hasta ahora he encontrado todo lo que estaba buscando y he podido aprender mucho de las presentaciones. Definitivamente utilizaré la aplicación para un examen de clase. Y, por supuesto, también me sirve mucho de inspiración.
Pablo
usuario de iOS
Esta app es realmente genial. Hay tantos apuntes de clase y ayuda [...]. Tengo problemas con matemáticas, por ejemplo, y la aplicación tiene muchas opciones de ayuda. Gracias a Knowunity, he mejorado en mates. Se la recomiendo a todo el mundo.
Elena
usuaria de Android
Vaya, estoy realmente sorprendida. Acabo de probar la app porque la he visto anunciada muchas veces y me he quedado absolutamente alucinada. Esta app es LA AYUDA que quieres para el insti y, sobre todo, ofrece muchísimas cosas, como ejercicios y hojas informativas, que a mí personalmente me han sido MUY útiles.
Ana
usuaria de iOS
Solía tener problemas para completar mis tareas a tiempo hasta que descubrí Knowunity, que no solo facilita subir mi propio contenido sino que también proporciona excelentes resúmenes que hacen mi trabajo más rápido y eficiente.
Thomas R
usuario de iOS
Siempre era un desafío encontrar toda la información importante para mis tareas – desde que comencé a usar Knowunity, puedo simplemente subir mi contenido y beneficiarme de los resúmenes de otros, lo que me ayuda mucho con la organización.
Lisa M
usuaria de Android
A menudo sentía que no tenía suficiente visión general al estudiar, pero desde que comencé a usar Knowunity, eso ya no es un problema – subo mi contenido y siempre encuentro resúmenes útiles en la plataforma, lo que hace mi aprendizaje mucho más fácil.
David K
usuario de iOS
¡La app es buenísima! Sólo tengo que introducir el tema en la barra de búsqueda y recibo la respuesta muy rápido. No tengo que ver 10 vídeos de YouTube para entender algo, así que me ahorro tiempo. ¡Muy recomendable!
Sara
usuaria de Android
En el instituto era muy malo en matemáticas, pero gracias a la app, ahora saco mejores notas. Os agradezco mucho que hayáis creado la aplicación.
Roberto
usuario de Android
Solía ser realmente difícil recopilar toda la información para mis presentaciones. Pero desde que comencé a usar Knowunity, solo subo mis apuntes y encuentro increíbles resúmenes de otros – ¡hace mi estudio mucho más eficiente!
Julia S
usuaria de Android
Estaba constantemente estresado con todo el material de estudio, pero desde que comencé a usar Knowunity, subo mis cosas y reviso los geniales resúmenes de otros – realmente me ayuda a gestionar todo mejor y es mucho menos estresante.
Marco B
usuario de iOS
LOS QUIZ Y FLASHCARDS SON SÚPER ÚTILES Y ME ENCANTA Knowunity IA. ADEMÁS ES LITERALMENTE COMO CHATGPT PERO MÁS LISTO!! ME AYUDÓ TAMBIÉN CON MIS PROBLEMAS DE MÁSCARA!! Y CON MIS ASIGNATURAS DE VERDAD! OBVIO 😍😁😲🤑💗✨🎀😮
Sarah L
usuaria de Android
Antes pasaba horas buscando en Google materiales escolares, pero ahora solo subo mis cosas a Knowunity y reviso los útiles resúmenes de otros - me siento mucho más seguro al prepararme para los exámenes.
Paul T
usuario de iOS