¿Te has preguntado por qué los objetos se mantienen en... Mostrar más
Inscríbete para ver los apuntes¡Es gratis!
Acceso a todos los documentos
Mejora tus notas
Únete a millones de estudiantes
Knowunity AI
Asignaturas
Triangle Congruence and Similarity Theorems
Triangle Properties and Classification
Linear Equations and Graphs
Geometric Angle Relationships
Trigonometric Functions and Identities
Equation Solving Techniques
Circle Geometry Fundamentals
Division Operations and Methods
Basic Differentiation Rules
Exponent and Logarithm Properties
Mostrar todos los temas
Human Organ Systems
Reproductive Cell Cycles
Biological Sciences Subdisciplines
Cellular Energy Metabolism
Autotrophic Energy Processes
Inheritance Patterns and Principles
Biomolecular Structure and Organization
Cell Cycle and Division Mechanics
Cellular Organization and Development
Biological Structural Organization
Mostrar todos los temas
Chemical Sciences and Applications
Atomic Structure and Composition
Molecular Electron Structure Representation
Atomic Electron Behavior
Matter Properties and Water
Mole Concept and Calculations
Gas Laws and Behavior
Periodic Table Organization
Chemical Thermodynamics Fundamentals
Chemical Bond Types and Properties
Mostrar todos los temas
European Renaissance and Enlightenment
European Cultural Movements 800-1920
American Revolution Era 1763-1797
American Civil War 1861-1865
Global Imperial Systems
Mongol and Chinese Dynasties
U.S. Presidents and World Leaders
Historical Sources and Documentation
World Wars Era and Impact
World Religious Systems
Mostrar todos los temas
Classic and Contemporary Novels
Literary Character Analysis
Rhetorical Theory and Practice
Classic Literary Narratives
Reading Analysis and Interpretation
Narrative Structure and Techniques
English Language Components
Influential English-Language Authors
Basic Sentence Structure
Narrative Voice and Perspective
Mostrar todos los temas
198
•
Actualizado May 14, 2026
•
Cristian Ortiz
@ristianrtiz_hazhp6fj
¿Te has preguntado por qué los objetos se mantienen en... Mostrar más
































La física se vuelve más fácil cuando entendés que todo parte de conceptos simples. Un diagrama de cuerpo libre es tu mejor herramienta: simplemente dibujás todas las fuerzas que actúan sobre un objeto para visualizar el problema.
Las fuerzas más comunes que vas a encontrar son el peso , la fuerza normal (FN) y las fuerzas de rozamiento. Recordá que el coeficiente de rozamiento estático siempre es mayor al dinámico, porque es más difícil empezar a mover algo que mantenerlo en movimiento.
💡 Tip clave: Un kilogramo es exactamente la masa de 1 litro de agua. Esta referencia te ayuda a visualizar las masas en los problemas.
Para que un objeto esté en equilibrio, necesitás que la suma de fuerzas sea cero y la suma de torques también sea cero (Στ = 0). Esto aplica tanto para partículas como para sólidos rígidos.

Las Leyes de Newton son la base de todo. La primera ley te dice que si no hay fuerzas netas, el objeto mantiene su estado (reposo o movimiento rectilíneo uniforme). La segunda relaciona fuerza, masa y aceleración. La tercera establece que las fuerzas siempre vienen en pares: acción y reacción.
En estática de partículas, tratás los objetos como puntos con masa. Una partícula está en equilibrio cuando la suma vectorial de todas las fuerzas es cero. Como las fuerzas son vectores, esto significa que cada componente también debe sumar cero.
💡 Recuerda: ΣFx = 0, ΣFy = 0, ΣFz = 0. Si cumplís estas tres condiciones, tu objeto está en equilibrio perfecto.
La clave está en descomponer las fuerzas en sus componentes X, Y y Z, y luego aplicar las condiciones de equilibrio para resolver el sistema de ecuaciones.

Los problemas de tensiones en cables son muy comunes en los exámenes. En este caso, tenés tres cables conectados en un punto A, con una masa de 10 kg colgando.
Primero calculás el peso: W = mg = 10 × 10 = 100 N hacia abajo. Como el cable vertical está en equilibrio, T₃ = 100 N. El punto A también debe estar en equilibrio, así que todas las fuerzas que actúan sobre él deben sumar cero.
💡 Estrategia: Siempre empezá por las fuerzas más obvias (como el peso) antes de analizar las tensiones en ángulo.
Para resolver este tipo de problemas, dibujás el diagrama de cuerpo libre del punto A, descomponés las tensiones T₁ y T₂ usando trigonometría (con ángulos de 53° y 37°), y planteás las ecuaciones de equilibrio.

Una vez que tenés las ecuaciones de equilibrio, aplicás trigonometría básica. Para el punto A en equilibrio: ΣFy = 0 y ΣFx = 0.
Las ecuaciones quedan: 0.8T₁ + 0.6T₂ = 100 (componentes en Y) y 0.6T₁ - 0.8T₂ = 0 (componentes en X). Esto te da un sistema lineal 2×2 que podés resolver por sustitución, igualación o reducción.
💡 Tip matemático: Los valores sen(53°) = 0.8, cos(53°) = 0.6, sen(37°) = 0.6 y cos(37°) = 0.8 aparecen frecuentemente. ¡Memorizalos!
El método de sustitución es generalmente el más directo: despejás una variable de la segunda ecuación y la reemplazás en la primera. Con práctica, estos cálculos se vuelven automáticos.

Continuando con los cálculos del sistema anterior, obtenés: T₁ = 80N, T₂ = 60N y T₃ = 100N. Estos valores tienen sentido físico porque T₃ equilibra exactamente el peso del objeto.
Siempre es buena práctica verificar tu respuesta sustituyendo los valores en las ecuaciones originales. Si las ecuaciones se cumplen, tu solución es correcta.
💡 Verificación rápida: La suma vectorial de todas las tensiones debe dar exactamente cero. Esto te confirma que el sistema está en equilibrio.
Notá que T₁ > T₂ porque el cable 1 está en un ángulo que requiere mayor tensión para mantener el equilibrio. Esta intuición física te ayuda a detectar errores en tus cálculos.

Los planos inclinados aparecen constantemente en física. Cuando un bloque se mueve a velocidad constante sobre un plano inclinado, significa que está en equilibrio dinámico .
Las fuerzas que actúan son: el peso (W), la fuerza normal (N) perpendicular al plano, y la fuerza aplicada (F) paralela al plano. Para resolver el problema, descomponés el peso en componentes paralela y perpendicular al plano.
💡 Truco visual: El ángulo que forma el peso con la perpendicular al plano es igual al ángulo de inclinación. Esto simplifica mucho los cálculos.
La componente del peso paralela al plano es W sen θ (hacia abajo), y la perpendicular es W cos θ. Para equilibrio, la fuerza aplicada debe ser F = W sen θ = mg sen θ.

Cuando trabajás con el sistema de coordenadas del plano inclinado, las ecuaciones se simplifican mucho. El eje X va paralelo al plano y el eje Y perpendicular a él.
Las condiciones de equilibrio dan: ΣFx = F - W sen θ = 0 y ΣFy = N - W cos θ = 0. De la primera ecuación obtenés directamente que F = W sen θ = mg sen θ.
💡 Ventaja del método: Usar coordenadas inclinadas hace que una de las fuerzas (la normal) quede completamente en un eje, simplificando los cálculos.
Este resultado es independiente del sistema de coordenadas que uses. Si resolvés el mismo problema con coordenadas horizontales y verticales, obtendrás el mismo valor para la fuerza necesaria.

Resolver el mismo problema usando coordenadas horizontales y verticales es más complejo pero llega al mismo resultado. Esto demuestra la consistencia de la física.
En este sistema, tanto F como N tienen componentes en X y Y: Fx = F cos θ, Fy = F sen θ, Nx = N sen θ, Ny = N cos θ. Las ecuaciones de equilibrio se vuelven: F cos θ - N sen θ = 0 y F sen θ + N cos θ - W = 0.
💡 Lección importante: Diferentes enfoques matemáticos dan la misma respuesta física. Elegí el método que te resulte más fácil.
Aunque este método requiere más álgebra, al final obtenés F = W sen θ, confirmando que la elección del sistema de coordenadas no afecta el resultado físico.

Cuando hay rozamiento en el plano inclinado, aparece una nueva fuerza: fr = μN, donde μ es el coeficiente de rozamiento dinámico. Esta fuerza siempre se opone al movimiento.
Si el bloque sube a velocidad constante, el rozamiento actúa hacia abajo del plano. Las ecuaciones de equilibrio se modifican: ΣFx = F - W sen θ - fr = 0 y ΣFy = N - W cos θ = 0.
💡 Identidad clave: Sen²θ + Cos²θ = 1. Esta identidad trigonométrica aparece frecuentemente en problemas de física.
La fuerza necesaria ahora es: F = mg sen θ + μmg cos θ. Notá que necesitás más fuerza que en el caso sin rozamiento, lo cual tiene perfecto sentido físico.

Los resortes siguen la ley de Hooke: F = kx, donde k es la constante del resorte y x es la deformación. En el primer problema, el resorte se alarga 5 cm con un peso de 2 N.
Para encontrar k: 2 N = k × 0.05 m, entonces k = 40 N/m. Esta constante caracteriza la rigidez del resorte y se mantiene constante para pequeñas deformaciones.
💡 Aplicación práctica: Los resortes están en todas partes: amortiguadores de carros, balanzas, juguetes. Entender su comportamiento te ayuda a comprender muchos dispositivos cotidianos.
En el segundo problema, con un peso de 4 N y longitud total de 35 cm, el alargamiento es de 15 cm. La fuerza del resorte es 40 × 0.15 = 6 N. Por equilibrio, la tensión en la cuerda es 6 - 4 = 2 N.





















Nuestro compañero de IA está específicamente adaptado a las necesidades de los estudiantes. Basándonos en los millones de contenidos que tenemos en la plataforma, podemos dar a los estudiantes respuestas realmente significativas y relevantes. Pero no se trata solo de respuestas, el compañero también guía a los estudiantes a través de sus retos de aprendizaje diarios, con planes de aprendizaje personalizados, cuestionarios o contenidos en el chat y una personalización del 100% basada en las habilidades y el desarrollo de los estudiantes.
Puedes descargar la app en Google Play Store y Apple App Store.
¡Sí lo es! Tienes acceso totalmente gratuito a todo el contenido de la app, puedes chatear con otros alumnos y recibir ayuda inmeditamente. Puedes ganar dinero utilizando la aplicación, que te permitirá acceder a determinadas funciones.
App Store
Google Play
La app es muy fácil de usar y está muy bien diseñada. Hasta ahora he encontrado todo lo que estaba buscando y he podido aprender mucho de las presentaciones. Definitivamente utilizaré la aplicación para un examen de clase. Y, por supuesto, también me sirve mucho de inspiración.
Pablo
usuario de iOS
Esta app es realmente genial. Hay tantos apuntes de clase y ayuda [...]. Tengo problemas con matemáticas, por ejemplo, y la aplicación tiene muchas opciones de ayuda. Gracias a Knowunity, he mejorado en mates. Se la recomiendo a todo el mundo.
Elena
usuaria de Android
Vaya, estoy realmente sorprendida. Acabo de probar la app porque la he visto anunciada muchas veces y me he quedado absolutamente alucinada. Esta app es LA AYUDA que quieres para el insti y, sobre todo, ofrece muchísimas cosas, como ejercicios y hojas informativas, que a mí personalmente me han sido MUY útiles.
Ana
usuaria de iOS
Solía tener problemas para completar mis tareas a tiempo hasta que descubrí Knowunity, que no solo facilita subir mi propio contenido sino que también proporciona excelentes resúmenes que hacen mi trabajo más rápido y eficiente.
Thomas R
usuario de iOS
Siempre era un desafío encontrar toda la información importante para mis tareas – desde que comencé a usar Knowunity, puedo simplemente subir mi contenido y beneficiarme de los resúmenes de otros, lo que me ayuda mucho con la organización.
Lisa M
usuaria de Android
A menudo sentía que no tenía suficiente visión general al estudiar, pero desde que comencé a usar Knowunity, eso ya no es un problema – subo mi contenido y siempre encuentro resúmenes útiles en la plataforma, lo que hace mi aprendizaje mucho más fácil.
David K
usuario de iOS
¡La app es buenísima! Sólo tengo que introducir el tema en la barra de búsqueda y recibo la respuesta muy rápido. No tengo que ver 10 vídeos de YouTube para entender algo, así que me ahorro tiempo. ¡Muy recomendable!
Sara
usuaria de Android
En el instituto era muy malo en matemáticas, pero gracias a la app, ahora saco mejores notas. Os agradezco mucho que hayáis creado la aplicación.
Roberto
usuario de Android
Solía ser realmente difícil recopilar toda la información para mis presentaciones. Pero desde que comencé a usar Knowunity, solo subo mis apuntes y encuentro increíbles resúmenes de otros – ¡hace mi estudio mucho más eficiente!
Julia S
usuaria de Android
Estaba constantemente estresado con todo el material de estudio, pero desde que comencé a usar Knowunity, subo mis cosas y reviso los geniales resúmenes de otros – realmente me ayuda a gestionar todo mejor y es mucho menos estresante.
Marco B
usuario de iOS
LOS QUIZ Y FLASHCARDS SON SÚPER ÚTILES Y ME ENCANTA Knowunity IA. ADEMÁS ES LITERALMENTE COMO CHATGPT PERO MÁS LISTO!! ME AYUDÓ TAMBIÉN CON MIS PROBLEMAS DE MÁSCARA!! Y CON MIS ASIGNATURAS DE VERDAD! OBVIO 😍😁😲🤑💗✨🎀😮
Sarah L
usuaria de Android
Antes pasaba horas buscando en Google materiales escolares, pero ahora solo subo mis cosas a Knowunity y reviso los útiles resúmenes de otros - me siento mucho más seguro al prepararme para los exámenes.
Paul T
usuario de iOS
La app es muy fácil de usar y está muy bien diseñada. Hasta ahora he encontrado todo lo que estaba buscando y he podido aprender mucho de las presentaciones. Definitivamente utilizaré la aplicación para un examen de clase. Y, por supuesto, también me sirve mucho de inspiración.
Pablo
usuario de iOS
Esta app es realmente genial. Hay tantos apuntes de clase y ayuda [...]. Tengo problemas con matemáticas, por ejemplo, y la aplicación tiene muchas opciones de ayuda. Gracias a Knowunity, he mejorado en mates. Se la recomiendo a todo el mundo.
Elena
usuaria de Android
Vaya, estoy realmente sorprendida. Acabo de probar la app porque la he visto anunciada muchas veces y me he quedado absolutamente alucinada. Esta app es LA AYUDA que quieres para el insti y, sobre todo, ofrece muchísimas cosas, como ejercicios y hojas informativas, que a mí personalmente me han sido MUY útiles.
Ana
usuaria de iOS
Solía tener problemas para completar mis tareas a tiempo hasta que descubrí Knowunity, que no solo facilita subir mi propio contenido sino que también proporciona excelentes resúmenes que hacen mi trabajo más rápido y eficiente.
Thomas R
usuario de iOS
Siempre era un desafío encontrar toda la información importante para mis tareas – desde que comencé a usar Knowunity, puedo simplemente subir mi contenido y beneficiarme de los resúmenes de otros, lo que me ayuda mucho con la organización.
Lisa M
usuaria de Android
A menudo sentía que no tenía suficiente visión general al estudiar, pero desde que comencé a usar Knowunity, eso ya no es un problema – subo mi contenido y siempre encuentro resúmenes útiles en la plataforma, lo que hace mi aprendizaje mucho más fácil.
David K
usuario de iOS
¡La app es buenísima! Sólo tengo que introducir el tema en la barra de búsqueda y recibo la respuesta muy rápido. No tengo que ver 10 vídeos de YouTube para entender algo, así que me ahorro tiempo. ¡Muy recomendable!
Sara
usuaria de Android
En el instituto era muy malo en matemáticas, pero gracias a la app, ahora saco mejores notas. Os agradezco mucho que hayáis creado la aplicación.
Roberto
usuario de Android
Solía ser realmente difícil recopilar toda la información para mis presentaciones. Pero desde que comencé a usar Knowunity, solo subo mis apuntes y encuentro increíbles resúmenes de otros – ¡hace mi estudio mucho más eficiente!
Julia S
usuaria de Android
Estaba constantemente estresado con todo el material de estudio, pero desde que comencé a usar Knowunity, subo mis cosas y reviso los geniales resúmenes de otros – realmente me ayuda a gestionar todo mejor y es mucho menos estresante.
Marco B
usuario de iOS
LOS QUIZ Y FLASHCARDS SON SÚPER ÚTILES Y ME ENCANTA Knowunity IA. ADEMÁS ES LITERALMENTE COMO CHATGPT PERO MÁS LISTO!! ME AYUDÓ TAMBIÉN CON MIS PROBLEMAS DE MÁSCARA!! Y CON MIS ASIGNATURAS DE VERDAD! OBVIO 😍😁😲🤑💗✨🎀😮
Sarah L
usuaria de Android
Antes pasaba horas buscando en Google materiales escolares, pero ahora solo subo mis cosas a Knowunity y reviso los útiles resúmenes de otros - me siento mucho más seguro al prepararme para los exámenes.
Paul T
usuario de iOS
Cristian Ortiz
@ristianrtiz_hazhp6fj
¿Te has preguntado por qué los objetos se mantienen en equilibrio o cómo calcular las fuerzas que actúan sobre ellos? La estática de la partícula te ayuda a entender estas situaciones cotidianas y resolver problemas prácticos con herramientas matemáticas que... Mostrar más

Acceso a todos los documentos
Mejora tus notas
Únete a millones de estudiantes
La física se vuelve más fácil cuando entendés que todo parte de conceptos simples. Un diagrama de cuerpo libre es tu mejor herramienta: simplemente dibujás todas las fuerzas que actúan sobre un objeto para visualizar el problema.
Las fuerzas más comunes que vas a encontrar son el peso , la fuerza normal (FN) y las fuerzas de rozamiento. Recordá que el coeficiente de rozamiento estático siempre es mayor al dinámico, porque es más difícil empezar a mover algo que mantenerlo en movimiento.
💡 Tip clave: Un kilogramo es exactamente la masa de 1 litro de agua. Esta referencia te ayuda a visualizar las masas en los problemas.
Para que un objeto esté en equilibrio, necesitás que la suma de fuerzas sea cero y la suma de torques también sea cero (Στ = 0). Esto aplica tanto para partículas como para sólidos rígidos.

Acceso a todos los documentos
Mejora tus notas
Únete a millones de estudiantes
Las Leyes de Newton son la base de todo. La primera ley te dice que si no hay fuerzas netas, el objeto mantiene su estado (reposo o movimiento rectilíneo uniforme). La segunda relaciona fuerza, masa y aceleración. La tercera establece que las fuerzas siempre vienen en pares: acción y reacción.
En estática de partículas, tratás los objetos como puntos con masa. Una partícula está en equilibrio cuando la suma vectorial de todas las fuerzas es cero. Como las fuerzas son vectores, esto significa que cada componente también debe sumar cero.
💡 Recuerda: ΣFx = 0, ΣFy = 0, ΣFz = 0. Si cumplís estas tres condiciones, tu objeto está en equilibrio perfecto.
La clave está en descomponer las fuerzas en sus componentes X, Y y Z, y luego aplicar las condiciones de equilibrio para resolver el sistema de ecuaciones.

Acceso a todos los documentos
Mejora tus notas
Únete a millones de estudiantes
Los problemas de tensiones en cables son muy comunes en los exámenes. En este caso, tenés tres cables conectados en un punto A, con una masa de 10 kg colgando.
Primero calculás el peso: W = mg = 10 × 10 = 100 N hacia abajo. Como el cable vertical está en equilibrio, T₃ = 100 N. El punto A también debe estar en equilibrio, así que todas las fuerzas que actúan sobre él deben sumar cero.
💡 Estrategia: Siempre empezá por las fuerzas más obvias (como el peso) antes de analizar las tensiones en ángulo.
Para resolver este tipo de problemas, dibujás el diagrama de cuerpo libre del punto A, descomponés las tensiones T₁ y T₂ usando trigonometría (con ángulos de 53° y 37°), y planteás las ecuaciones de equilibrio.

Acceso a todos los documentos
Mejora tus notas
Únete a millones de estudiantes
Una vez que tenés las ecuaciones de equilibrio, aplicás trigonometría básica. Para el punto A en equilibrio: ΣFy = 0 y ΣFx = 0.
Las ecuaciones quedan: 0.8T₁ + 0.6T₂ = 100 (componentes en Y) y 0.6T₁ - 0.8T₂ = 0 (componentes en X). Esto te da un sistema lineal 2×2 que podés resolver por sustitución, igualación o reducción.
💡 Tip matemático: Los valores sen(53°) = 0.8, cos(53°) = 0.6, sen(37°) = 0.6 y cos(37°) = 0.8 aparecen frecuentemente. ¡Memorizalos!
El método de sustitución es generalmente el más directo: despejás una variable de la segunda ecuación y la reemplazás en la primera. Con práctica, estos cálculos se vuelven automáticos.

Acceso a todos los documentos
Mejora tus notas
Únete a millones de estudiantes
Continuando con los cálculos del sistema anterior, obtenés: T₁ = 80N, T₂ = 60N y T₃ = 100N. Estos valores tienen sentido físico porque T₃ equilibra exactamente el peso del objeto.
Siempre es buena práctica verificar tu respuesta sustituyendo los valores en las ecuaciones originales. Si las ecuaciones se cumplen, tu solución es correcta.
💡 Verificación rápida: La suma vectorial de todas las tensiones debe dar exactamente cero. Esto te confirma que el sistema está en equilibrio.
Notá que T₁ > T₂ porque el cable 1 está en un ángulo que requiere mayor tensión para mantener el equilibrio. Esta intuición física te ayuda a detectar errores en tus cálculos.

Acceso a todos los documentos
Mejora tus notas
Únete a millones de estudiantes
Los planos inclinados aparecen constantemente en física. Cuando un bloque se mueve a velocidad constante sobre un plano inclinado, significa que está en equilibrio dinámico .
Las fuerzas que actúan son: el peso (W), la fuerza normal (N) perpendicular al plano, y la fuerza aplicada (F) paralela al plano. Para resolver el problema, descomponés el peso en componentes paralela y perpendicular al plano.
💡 Truco visual: El ángulo que forma el peso con la perpendicular al plano es igual al ángulo de inclinación. Esto simplifica mucho los cálculos.
La componente del peso paralela al plano es W sen θ (hacia abajo), y la perpendicular es W cos θ. Para equilibrio, la fuerza aplicada debe ser F = W sen θ = mg sen θ.

Acceso a todos los documentos
Mejora tus notas
Únete a millones de estudiantes
Cuando trabajás con el sistema de coordenadas del plano inclinado, las ecuaciones se simplifican mucho. El eje X va paralelo al plano y el eje Y perpendicular a él.
Las condiciones de equilibrio dan: ΣFx = F - W sen θ = 0 y ΣFy = N - W cos θ = 0. De la primera ecuación obtenés directamente que F = W sen θ = mg sen θ.
💡 Ventaja del método: Usar coordenadas inclinadas hace que una de las fuerzas (la normal) quede completamente en un eje, simplificando los cálculos.
Este resultado es independiente del sistema de coordenadas que uses. Si resolvés el mismo problema con coordenadas horizontales y verticales, obtendrás el mismo valor para la fuerza necesaria.

Acceso a todos los documentos
Mejora tus notas
Únete a millones de estudiantes
Resolver el mismo problema usando coordenadas horizontales y verticales es más complejo pero llega al mismo resultado. Esto demuestra la consistencia de la física.
En este sistema, tanto F como N tienen componentes en X y Y: Fx = F cos θ, Fy = F sen θ, Nx = N sen θ, Ny = N cos θ. Las ecuaciones de equilibrio se vuelven: F cos θ - N sen θ = 0 y F sen θ + N cos θ - W = 0.
💡 Lección importante: Diferentes enfoques matemáticos dan la misma respuesta física. Elegí el método que te resulte más fácil.
Aunque este método requiere más álgebra, al final obtenés F = W sen θ, confirmando que la elección del sistema de coordenadas no afecta el resultado físico.

Acceso a todos los documentos
Mejora tus notas
Únete a millones de estudiantes
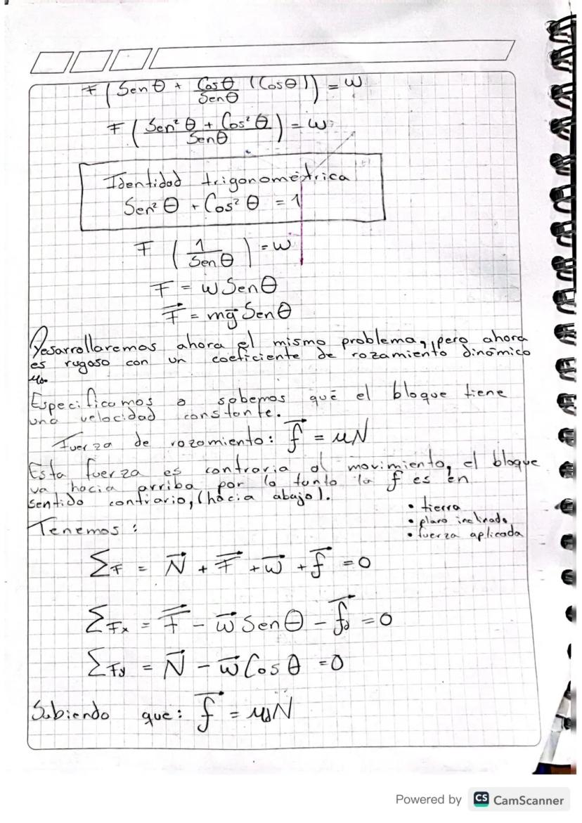
Cuando hay rozamiento en el plano inclinado, aparece una nueva fuerza: fr = μN, donde μ es el coeficiente de rozamiento dinámico. Esta fuerza siempre se opone al movimiento.
Si el bloque sube a velocidad constante, el rozamiento actúa hacia abajo del plano. Las ecuaciones de equilibrio se modifican: ΣFx = F - W sen θ - fr = 0 y ΣFy = N - W cos θ = 0.
💡 Identidad clave: Sen²θ + Cos²θ = 1. Esta identidad trigonométrica aparece frecuentemente en problemas de física.
La fuerza necesaria ahora es: F = mg sen θ + μmg cos θ. Notá que necesitás más fuerza que en el caso sin rozamiento, lo cual tiene perfecto sentido físico.

Acceso a todos los documentos
Mejora tus notas
Únete a millones de estudiantes
Los resortes siguen la ley de Hooke: F = kx, donde k es la constante del resorte y x es la deformación. En el primer problema, el resorte se alarga 5 cm con un peso de 2 N.
Para encontrar k: 2 N = k × 0.05 m, entonces k = 40 N/m. Esta constante caracteriza la rigidez del resorte y se mantiene constante para pequeñas deformaciones.
💡 Aplicación práctica: Los resortes están en todas partes: amortiguadores de carros, balanzas, juguetes. Entender su comportamiento te ayuda a comprender muchos dispositivos cotidianos.
En el segundo problema, con un peso de 4 N y longitud total de 35 cm, el alargamiento es de 15 cm. La fuerza del resorte es 40 × 0.15 = 6 N. Por equilibrio, la tensión en la cuerda es 6 - 4 = 2 N.

Acceso a todos los documentos
Mejora tus notas
Únete a millones de estudiantes

Acceso a todos los documentos
Mejora tus notas
Únete a millones de estudiantes

Acceso a todos los documentos
Mejora tus notas
Únete a millones de estudiantes

Acceso a todos los documentos
Mejora tus notas
Únete a millones de estudiantes

Acceso a todos los documentos
Mejora tus notas
Únete a millones de estudiantes

Acceso a todos los documentos
Mejora tus notas
Únete a millones de estudiantes

Acceso a todos los documentos
Mejora tus notas
Únete a millones de estudiantes

Acceso a todos los documentos
Mejora tus notas
Únete a millones de estudiantes

Acceso a todos los documentos
Mejora tus notas
Únete a millones de estudiantes

Acceso a todos los documentos
Mejora tus notas
Únete a millones de estudiantes

Acceso a todos los documentos
Mejora tus notas
Únete a millones de estudiantes

Acceso a todos los documentos
Mejora tus notas
Únete a millones de estudiantes

Acceso a todos los documentos
Mejora tus notas
Únete a millones de estudiantes

Acceso a todos los documentos
Mejora tus notas
Únete a millones de estudiantes

Acceso a todos los documentos
Mejora tus notas
Únete a millones de estudiantes

Acceso a todos los documentos
Mejora tus notas
Únete a millones de estudiantes

Acceso a todos los documentos
Mejora tus notas
Únete a millones de estudiantes

Acceso a todos los documentos
Mejora tus notas
Únete a millones de estudiantes

Acceso a todos los documentos
Mejora tus notas
Únete a millones de estudiantes

Acceso a todos los documentos
Mejora tus notas
Únete a millones de estudiantes

Acceso a todos los documentos
Mejora tus notas
Únete a millones de estudiantes
Nuestro compañero de IA está específicamente adaptado a las necesidades de los estudiantes. Basándonos en los millones de contenidos que tenemos en la plataforma, podemos dar a los estudiantes respuestas realmente significativas y relevantes. Pero no se trata solo de respuestas, el compañero también guía a los estudiantes a través de sus retos de aprendizaje diarios, con planes de aprendizaje personalizados, cuestionarios o contenidos en el chat y una personalización del 100% basada en las habilidades y el desarrollo de los estudiantes.
Puedes descargar la app en Google Play Store y Apple App Store.
¡Sí lo es! Tienes acceso totalmente gratuito a todo el contenido de la app, puedes chatear con otros alumnos y recibir ayuda inmeditamente. Puedes ganar dinero utilizando la aplicación, que te permitirá acceder a determinadas funciones.
1
Herramientas Inteligentes NUEVO
Transforma estos apuntes en: ✓ 50+ Preguntas de Práctica ✓ Fichas Interactivas ✓ Examen Completo de Práctica ✓ Esquemas de Ensayo
App Store
Google Play
La app es muy fácil de usar y está muy bien diseñada. Hasta ahora he encontrado todo lo que estaba buscando y he podido aprender mucho de las presentaciones. Definitivamente utilizaré la aplicación para un examen de clase. Y, por supuesto, también me sirve mucho de inspiración.
Pablo
usuario de iOS
Esta app es realmente genial. Hay tantos apuntes de clase y ayuda [...]. Tengo problemas con matemáticas, por ejemplo, y la aplicación tiene muchas opciones de ayuda. Gracias a Knowunity, he mejorado en mates. Se la recomiendo a todo el mundo.
Elena
usuaria de Android
Vaya, estoy realmente sorprendida. Acabo de probar la app porque la he visto anunciada muchas veces y me he quedado absolutamente alucinada. Esta app es LA AYUDA que quieres para el insti y, sobre todo, ofrece muchísimas cosas, como ejercicios y hojas informativas, que a mí personalmente me han sido MUY útiles.
Ana
usuaria de iOS
Solía tener problemas para completar mis tareas a tiempo hasta que descubrí Knowunity, que no solo facilita subir mi propio contenido sino que también proporciona excelentes resúmenes que hacen mi trabajo más rápido y eficiente.
Thomas R
usuario de iOS
Siempre era un desafío encontrar toda la información importante para mis tareas – desde que comencé a usar Knowunity, puedo simplemente subir mi contenido y beneficiarme de los resúmenes de otros, lo que me ayuda mucho con la organización.
Lisa M
usuaria de Android
A menudo sentía que no tenía suficiente visión general al estudiar, pero desde que comencé a usar Knowunity, eso ya no es un problema – subo mi contenido y siempre encuentro resúmenes útiles en la plataforma, lo que hace mi aprendizaje mucho más fácil.
David K
usuario de iOS
¡La app es buenísima! Sólo tengo que introducir el tema en la barra de búsqueda y recibo la respuesta muy rápido. No tengo que ver 10 vídeos de YouTube para entender algo, así que me ahorro tiempo. ¡Muy recomendable!
Sara
usuaria de Android
En el instituto era muy malo en matemáticas, pero gracias a la app, ahora saco mejores notas. Os agradezco mucho que hayáis creado la aplicación.
Roberto
usuario de Android
Solía ser realmente difícil recopilar toda la información para mis presentaciones. Pero desde que comencé a usar Knowunity, solo subo mis apuntes y encuentro increíbles resúmenes de otros – ¡hace mi estudio mucho más eficiente!
Julia S
usuaria de Android
Estaba constantemente estresado con todo el material de estudio, pero desde que comencé a usar Knowunity, subo mis cosas y reviso los geniales resúmenes de otros – realmente me ayuda a gestionar todo mejor y es mucho menos estresante.
Marco B
usuario de iOS
LOS QUIZ Y FLASHCARDS SON SÚPER ÚTILES Y ME ENCANTA Knowunity IA. ADEMÁS ES LITERALMENTE COMO CHATGPT PERO MÁS LISTO!! ME AYUDÓ TAMBIÉN CON MIS PROBLEMAS DE MÁSCARA!! Y CON MIS ASIGNATURAS DE VERDAD! OBVIO 😍😁😲🤑💗✨🎀😮
Sarah L
usuaria de Android
Antes pasaba horas buscando en Google materiales escolares, pero ahora solo subo mis cosas a Knowunity y reviso los útiles resúmenes de otros - me siento mucho más seguro al prepararme para los exámenes.
Paul T
usuario de iOS
La app es muy fácil de usar y está muy bien diseñada. Hasta ahora he encontrado todo lo que estaba buscando y he podido aprender mucho de las presentaciones. Definitivamente utilizaré la aplicación para un examen de clase. Y, por supuesto, también me sirve mucho de inspiración.
Pablo
usuario de iOS
Esta app es realmente genial. Hay tantos apuntes de clase y ayuda [...]. Tengo problemas con matemáticas, por ejemplo, y la aplicación tiene muchas opciones de ayuda. Gracias a Knowunity, he mejorado en mates. Se la recomiendo a todo el mundo.
Elena
usuaria de Android
Vaya, estoy realmente sorprendida. Acabo de probar la app porque la he visto anunciada muchas veces y me he quedado absolutamente alucinada. Esta app es LA AYUDA que quieres para el insti y, sobre todo, ofrece muchísimas cosas, como ejercicios y hojas informativas, que a mí personalmente me han sido MUY útiles.
Ana
usuaria de iOS
Solía tener problemas para completar mis tareas a tiempo hasta que descubrí Knowunity, que no solo facilita subir mi propio contenido sino que también proporciona excelentes resúmenes que hacen mi trabajo más rápido y eficiente.
Thomas R
usuario de iOS
Siempre era un desafío encontrar toda la información importante para mis tareas – desde que comencé a usar Knowunity, puedo simplemente subir mi contenido y beneficiarme de los resúmenes de otros, lo que me ayuda mucho con la organización.
Lisa M
usuaria de Android
A menudo sentía que no tenía suficiente visión general al estudiar, pero desde que comencé a usar Knowunity, eso ya no es un problema – subo mi contenido y siempre encuentro resúmenes útiles en la plataforma, lo que hace mi aprendizaje mucho más fácil.
David K
usuario de iOS
¡La app es buenísima! Sólo tengo que introducir el tema en la barra de búsqueda y recibo la respuesta muy rápido. No tengo que ver 10 vídeos de YouTube para entender algo, así que me ahorro tiempo. ¡Muy recomendable!
Sara
usuaria de Android
En el instituto era muy malo en matemáticas, pero gracias a la app, ahora saco mejores notas. Os agradezco mucho que hayáis creado la aplicación.
Roberto
usuario de Android
Solía ser realmente difícil recopilar toda la información para mis presentaciones. Pero desde que comencé a usar Knowunity, solo subo mis apuntes y encuentro increíbles resúmenes de otros – ¡hace mi estudio mucho más eficiente!
Julia S
usuaria de Android
Estaba constantemente estresado con todo el material de estudio, pero desde que comencé a usar Knowunity, subo mis cosas y reviso los geniales resúmenes de otros – realmente me ayuda a gestionar todo mejor y es mucho menos estresante.
Marco B
usuario de iOS
LOS QUIZ Y FLASHCARDS SON SÚPER ÚTILES Y ME ENCANTA Knowunity IA. ADEMÁS ES LITERALMENTE COMO CHATGPT PERO MÁS LISTO!! ME AYUDÓ TAMBIÉN CON MIS PROBLEMAS DE MÁSCARA!! Y CON MIS ASIGNATURAS DE VERDAD! OBVIO 😍😁😲🤑💗✨🎀😮
Sarah L
usuaria de Android
Antes pasaba horas buscando en Google materiales escolares, pero ahora solo subo mis cosas a Knowunity y reviso los útiles resúmenes de otros - me siento mucho más seguro al prepararme para los exámenes.
Paul T
usuario de iOS