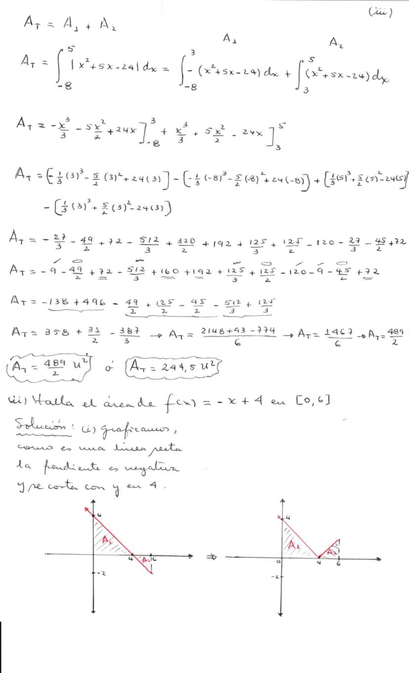
Está todo lo relacionado a Área bajo la curva más ejercicios resueltos y de prácticas
Inscríbete para ver los apuntes¡Es gratis!
Acceso a todos los documentos
Mejora tus notas
Únete a millones de estudiantes
Al registrarte aceptas las Condiciones del servicio y la Política de privacidad.












