Bienvenido al resumen del examen Saber 11°. Esta prueba evalúa... Mostrar más
Inscríbete para ver los apuntes¡Es gratis!
Acceso a todos los documentos
Mejora tus notas
Únete a millones de estudiantes
Knowunity AI
Asignaturas
Triangle Congruence and Similarity Theorems
Triangle Properties and Classification
Linear Equations and Graphs
Geometric Angle Relationships
Trigonometric Functions and Identities
Equation Solving Techniques
Circle Geometry Fundamentals
Division Operations and Methods
Basic Differentiation Rules
Exponent and Logarithm Properties
Mostrar todos los temas
Human Organ Systems
Reproductive Cell Cycles
Biological Sciences Subdisciplines
Cellular Energy Metabolism
Autotrophic Energy Processes
Inheritance Patterns and Principles
Biomolecular Structure and Organization
Cell Cycle and Division Mechanics
Cellular Organization and Development
Biological Structural Organization
Mostrar todos los temas
Chemical Sciences and Applications
Atomic Structure and Composition
Molecular Electron Structure Representation
Atomic Electron Behavior
Matter Properties and Water
Mole Concept and Calculations
Gas Laws and Behavior
Periodic Table Organization
Chemical Thermodynamics Fundamentals
Chemical Bond Types and Properties
Mostrar todos los temas
European Renaissance and Enlightenment
European Cultural Movements 800-1920
American Revolution Era 1763-1797
American Civil War 1861-1865
Global Imperial Systems
Mongol and Chinese Dynasties
U.S. Presidents and World Leaders
Historical Sources and Documentation
World Wars Era and Impact
World Religious Systems
Mostrar todos los temas
Classic and Contemporary Novels
Literary Character Analysis
Rhetorical Theory and Practice
Classic Literary Narratives
Reading Analysis and Interpretation
Narrative Structure and Techniques
English Language Components
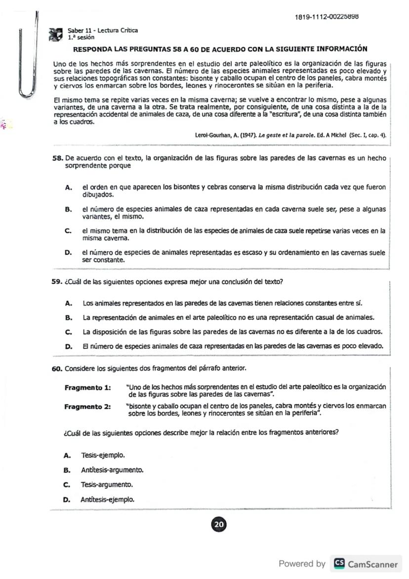
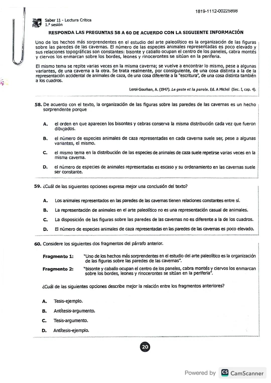
Influential English-Language Authors
Basic Sentence Structure
Narrative Voice and Perspective
Mostrar todos los temas
6,728
•
Actualizado May 13, 2026
•
Light_244.
@light_244.
Bienvenido al resumen del examen Saber 11°. Esta prueba evalúa... Mostrar más













































¡Prepárate para enfrentar una de las pruebas más importantes de tu vida académica! El examen Saber 11° evalúa lo que has aprendido durante toda tu formación escolar y es fundamental para tu futuro universitario.
La prueba está organizada en una primera sesión que incluye cinco componentes: Matemáticas, Lectura Crítica, Sociales y Ciudadanas, Ciencias Naturales y un Cuestionario Socioeconómico, con un total de 131 preguntas.
💡 Recuerda: Todas las preguntas son de selección múltiple con única respuesta. Debes marcar tus respuestas rellenando los círculos en la hoja de respuestas con lápiz negro número 2.
Es importante que tengas en cuenta las instrucciones de la prueba: no maltrates ni dobles la hoja de respuestas, no marques más de una respuesta por pregunta, verifica que el número de tu respuesta coincida con el de la pregunta y borra completamente si necesitas cambiar alguna respuesta.
La prueba tiene una duración de 4 horas y 30 minutos. Está prohibido el uso de dispositivos electrónicos como celulares, relojes inteligentes o cualquier otro elemento de comunicación, ya que esto puede llevar a sanciones como la anulación de tu examen.

Las preguntas de matemáticas te desafían a aplicar tus conocimientos en situaciones prácticas. Vamos a ver algunos ejemplos:
La primera pregunta muestra un triángulo rectángulo en el plano cartesiano y te pide identificar la hipotenusa. Para resolverla, recuerda que la hipotenusa es el lado opuesto al ángulo recto y es siempre el lado más largo del triángulo.
La segunda pregunta plantea un problema de optimización: un carro eléctrico con autonomía de 140 km necesita recorrer un camino con varias paradas posibles para recargar. Debes determinar la ruta más eficiente para llegar al destino sin quedarse sin batería.
Para resolver estos problemas, es crucial:
💡 Consejo: En problemas de recorridos, elabora un mapa mental y calcula todas las distancias posibles antes de elegir la respuesta.
Recuerda que en matemáticas no solo importa el resultado final, sino también tu habilidad para interpretar gráficos, identificar patrones y aplicar fórmulas en contextos reales. No te dejes intimidar por los enunciados largos; divídelos en partes más pequeñas y resuelve paso a paso.

En esta parte del examen encontrarás preguntas que evalúan tu capacidad para analizar funciones y detectar errores en procedimientos matemáticos.
La pregunta 3 presenta un problema interesante sobre el análisis de los puntos de corte entre una función lineal y una función cuadrática. Te muestra un procedimiento con varios pasos y te pide identificar dónde está el error. Este tipo de preguntas evalúa tu comprensión profunda de los procedimientos algebraicos y tu capacidad para detectar falacias matemáticas.
Para resolver este tipo de problemas:
💡 Atención: Los errores más comunes suelen ocurrir al aplicar la raíz cuadrada a expresiones o al resolver ecuaciones. ¡No te dejes engañar por procedimientos que parecen correctos superficialmente!
Esta clase de preguntas te prepara no solo para obtener resultados correctos en matemáticas, sino para desarrollar un pensamiento crítico que te permite evaluar la validez de los procedimientos. Esta habilidad será muy útil en tus estudios universitarios, donde tendrás que revisar constantemente tus pasos y los de otros.

En esta sección, las preguntas se centran en la probabilidad y la interpretación de datos, habilidades fundamentales para el análisis estadístico.
La pregunta 4 plantea una situación sobre chocolates con diferentes rellenos. Tienes que determinar qué probabilidades puedes calcular con la información dada. Este tipo de preguntas evalúa tu capacidad para identificar eventos, espacios muestrales y calcular probabilidades básicas.
La pregunta 5 te presenta información sobre biodiversidad en Colombia mediante una figura y una tabla. Debes seleccionar la representación gráfica que mejor ilustre toda la información proporcionada. Esta pregunta evalúa tu habilidad para interpretar y representar datos de diferentes formas.
Para abordar estos problemas:
💡 Estrategia clave: En las preguntas de representación gráfica, revisa cada opción cuidadosamente y verifica que incluya todas las variables y relaciones mencionadas en el enunciado.
Estos conceptos son aplicables en muchas carreras universitarias y situaciones de la vida real, desde economía y administración hasta ciencias de la salud. Dominar la interpretación de datos te dará ventajas en cualquier campo profesional que elijas.

Las preguntas de esta sección evalúan tu capacidad para interpretar modelos matemáticos y trabajar con expresiones algebraicas en contextos reales.
La pregunta 6 presenta una tabla con información sobre precios de productos y te pide determinar la expresión algebraica que permite calcular el precio final. Este tipo de ejercicios evalúa tu habilidad para identificar patrones y expresarlos matemáticamente.
Las preguntas 7 y 8 te desafían a seguir procedimientos y calcular resultados específicos. La 9 plantea un problema sobre distribución porcentual y toma de decisiones basada en datos.
Para resolver estos problemas:
💡 Recuerda: En problemas con porcentajes, siempre pregúntate "¿porcentaje de qué?" para evitar errores comunes de interpretación.
Estos ejercicios son excelentes ejemplos de cómo las matemáticas se aplican en situaciones cotidianas como compras, distribución de recursos o seguimiento de procedimientos. Dominar estos conceptos te ayudará tanto en tu vida personal como profesional, especialmente en carreras relacionadas con finanzas, ingeniería o ciencias.

Esta sección combina el álgebra con aplicaciones geométricas y financieras, poniendo a prueba tu capacidad para modelar situaciones reales.
La pregunta 10 te pide formular una expresión algebraica que represente el costo total de un plan de salud durante un año. Debes identificar variables y relaciones para crear un modelo matemático adecuado.
La pregunta 11 analiza la relación entre la longitud del pie y la altura de varias personas. Tienes que interpretar los datos para determinar si existe una correlación entre estas variables.
La pregunta 12 presenta un problema geométrico sobre áreas y senderos, donde debes analizar un procedimiento algebraico y detectar errores.
Para abordar estas preguntas:
💡 Consejo práctico: En preguntas que involucran áreas y geometría, un dibujo o diagrama te ayudará a visualizar mejor el problema y evitar errores conceptuales.
Estos problemas reflejan situaciones que podrías encontrar en campos como la arquitectura, ingeniería civil, finanzas personales o análisis de datos. La habilidad de traducir situaciones reales a modelos matemáticos es una competencia muy valorada en el mundo profesional.

Esta sección se enfoca en tu capacidad para analizar e interpretar datos presentados en diferentes formatos, habilidades esenciales en el mundo actual.
Las preguntas 13 y 14 te presentan información en forma de tablas y te piden seleccionar la representación gráfica más adecuada. Estas preguntas evalúan tu habilidad para convertir datos numéricos en visualizaciones significativas.
El ejercicio 15 plantea una situación sobre el porcentaje de aciertos en pruebas académicas y te pide determinar qué información puedes calcular a partir de los datos proporcionados.
Para resolver estos problemas:
💡 Punto clave: Los diferentes tipos de gráficos tienen propósitos específicos. Los gráficos circulares son ideales para porcentajes, los de barras para comparaciones, y los de líneas para tendencias a lo largo del tiempo.
Estas habilidades de interpretación y representación de datos son fundamentales no solo para el examen sino para tu vida universitaria y profesional. En la era de la información, saber leer, interpretar y presentar datos te dará ventajas significativas en cualquier carrera que elijas.

Esta parte del examen te enfrenta a una variedad de problemas que evalúan diferentes aspectos del pensamiento matemático.
La pregunta 17 te pide interpretar una gráfica que relaciona altura y tiempo de un esquiador, evaluando tu capacidad para leer coordenadas en un gráfico.
El problema 18 presenta información sobre diferentes especies de animales y te pide determinar qué datos necesitas para calcular el número de hábitats requeridos. Este ejercicio evalúa tu habilidad para identificar variables relevantes en la toma de decisiones.
Para enfrentar estos problemas diversos:
💡 Estrategia importante: En preguntas que involucran gráficas, primero identifica las variables en cada eje, luego ubica el punto específico que necesitas y finalmente lee las coordenadas correspondientes.
Estos problemas demuestran cómo las matemáticas se aplican en diversos contextos, desde el análisis de movimiento hasta la gestión de recursos. La versatilidad del pensamiento matemático que desarrolles te será útil en cualquier carrera universitaria y en situaciones cotidianas que requieran análisis y toma de decisiones basadas en datos.

Esta sección pone a prueba tu capacidad para analizar procedimientos matemáticos y detectar errores en contextos reales.
La pregunta 19 presenta un problema sobre el cálculo de baldosas necesarias para cubrir un suelo. Te muestra un procedimiento con un error y debes identificarlo. Este tipo de ejercicio evalúa tu comprensión profunda de las unidades de medida y los cálculos de área.
La pregunta 21 te ofrece datos sobre el efecto de diferentes fertilizantes en el crecimiento de plantas de maíz. Debes analizar afirmaciones sobre estos datos y determinar cuáles son falsas, evaluando tu capacidad para interpretar información tabular.
Para resolver estos problemas:
💡 Consejo crucial: En problemas que involucran unidades de medida, asegúrate de que estén expresadas en las mismas unidades antes de realizar cálculos. La conversión incorrecta de unidades es una fuente común de errores.
La habilidad para detectar errores en procedimientos matemáticos es valiosa en muchas profesiones, desde ingeniería y arquitectura hasta finanzas y ciencias. Desarrollar este ojo crítico te ayudará a evitar costosos errores en tu futuro profesional y a revisar eficazmente tu propio trabajo.

Las últimas preguntas de la sección de matemáticas presentan aplicaciones más avanzadas que evalúan tu razonamiento lógico y capacidad analítica.
La pregunta 22 introduce una función definida por partes que determina la dosis de medicamento para un perro según su peso. Debes analizar qué información necesitarías para calcular la cantidad total de medicamento en una jornada de vacunación.
La pregunta 23 plantea un problema de optimización con restricciones para la construcción de una lámina rectangular. Debes determinar qué condición es redundante, es decir, cuál se satisface automáticamente cuando se cumplen las otras.
Para abordar estos problemas más complejos:
💡 Estrategia avanzada: En problemas con múltiples condiciones o restricciones, prueba a eliminar una condición a la vez y verifica si las demás la garantizan automáticamente.
Estos problemas reflejan situaciones que podrías encontrar en campos como la ingeniería, medicina, economía o ciencias de la computación. La capacidad de analizar funciones complejas y relaciones lógicas entre condiciones es una habilidad altamente valorada en estudios superiores y en el ámbito profesional.


































Nuestro compañero de IA está específicamente adaptado a las necesidades de los estudiantes. Basándonos en los millones de contenidos que tenemos en la plataforma, podemos dar a los estudiantes respuestas realmente significativas y relevantes. Pero no se trata solo de respuestas, el compañero también guía a los estudiantes a través de sus retos de aprendizaje diarios, con planes de aprendizaje personalizados, cuestionarios o contenidos en el chat y una personalización del 100% basada en las habilidades y el desarrollo de los estudiantes.
Puedes descargar la app en Google Play Store y Apple App Store.
¡Sí lo es! Tienes acceso totalmente gratuito a todo el contenido de la app, puedes chatear con otros alumnos y recibir ayuda inmeditamente. Puedes ganar dinero utilizando la aplicación, que te permitirá acceder a determinadas funciones.
App Store
Google Play
La app es muy fácil de usar y está muy bien diseñada. Hasta ahora he encontrado todo lo que estaba buscando y he podido aprender mucho de las presentaciones. Definitivamente utilizaré la aplicación para un examen de clase. Y, por supuesto, también me sirve mucho de inspiración.
Pablo
usuario de iOS
Esta app es realmente genial. Hay tantos apuntes de clase y ayuda [...]. Tengo problemas con matemáticas, por ejemplo, y la aplicación tiene muchas opciones de ayuda. Gracias a Knowunity, he mejorado en mates. Se la recomiendo a todo el mundo.
Elena
usuaria de Android
Vaya, estoy realmente sorprendida. Acabo de probar la app porque la he visto anunciada muchas veces y me he quedado absolutamente alucinada. Esta app es LA AYUDA que quieres para el insti y, sobre todo, ofrece muchísimas cosas, como ejercicios y hojas informativas, que a mí personalmente me han sido MUY útiles.
Ana
usuaria de iOS
Solía tener problemas para completar mis tareas a tiempo hasta que descubrí Knowunity, que no solo facilita subir mi propio contenido sino que también proporciona excelentes resúmenes que hacen mi trabajo más rápido y eficiente.
Thomas R
usuario de iOS
Siempre era un desafío encontrar toda la información importante para mis tareas – desde que comencé a usar Knowunity, puedo simplemente subir mi contenido y beneficiarme de los resúmenes de otros, lo que me ayuda mucho con la organización.
Lisa M
usuaria de Android
A menudo sentía que no tenía suficiente visión general al estudiar, pero desde que comencé a usar Knowunity, eso ya no es un problema – subo mi contenido y siempre encuentro resúmenes útiles en la plataforma, lo que hace mi aprendizaje mucho más fácil.
David K
usuario de iOS
¡La app es buenísima! Sólo tengo que introducir el tema en la barra de búsqueda y recibo la respuesta muy rápido. No tengo que ver 10 vídeos de YouTube para entender algo, así que me ahorro tiempo. ¡Muy recomendable!
Sara
usuaria de Android
En el instituto era muy malo en matemáticas, pero gracias a la app, ahora saco mejores notas. Os agradezco mucho que hayáis creado la aplicación.
Roberto
usuario de Android
Solía ser realmente difícil recopilar toda la información para mis presentaciones. Pero desde que comencé a usar Knowunity, solo subo mis apuntes y encuentro increíbles resúmenes de otros – ¡hace mi estudio mucho más eficiente!
Julia S
usuaria de Android
Estaba constantemente estresado con todo el material de estudio, pero desde que comencé a usar Knowunity, subo mis cosas y reviso los geniales resúmenes de otros – realmente me ayuda a gestionar todo mejor y es mucho menos estresante.
Marco B
usuario de iOS
LOS QUIZ Y FLASHCARDS SON SÚPER ÚTILES Y ME ENCANTA Knowunity IA. ADEMÁS ES LITERALMENTE COMO CHATGPT PERO MÁS LISTO!! ME AYUDÓ TAMBIÉN CON MIS PROBLEMAS DE MÁSCARA!! Y CON MIS ASIGNATURAS DE VERDAD! OBVIO 😍😁😲🤑💗✨🎀😮
Sarah L
usuaria de Android
Antes pasaba horas buscando en Google materiales escolares, pero ahora solo subo mis cosas a Knowunity y reviso los útiles resúmenes de otros - me siento mucho más seguro al prepararme para los exámenes.
Paul T
usuario de iOS
La app es muy fácil de usar y está muy bien diseñada. Hasta ahora he encontrado todo lo que estaba buscando y he podido aprender mucho de las presentaciones. Definitivamente utilizaré la aplicación para un examen de clase. Y, por supuesto, también me sirve mucho de inspiración.
Pablo
usuario de iOS
Esta app es realmente genial. Hay tantos apuntes de clase y ayuda [...]. Tengo problemas con matemáticas, por ejemplo, y la aplicación tiene muchas opciones de ayuda. Gracias a Knowunity, he mejorado en mates. Se la recomiendo a todo el mundo.
Elena
usuaria de Android
Vaya, estoy realmente sorprendida. Acabo de probar la app porque la he visto anunciada muchas veces y me he quedado absolutamente alucinada. Esta app es LA AYUDA que quieres para el insti y, sobre todo, ofrece muchísimas cosas, como ejercicios y hojas informativas, que a mí personalmente me han sido MUY útiles.
Ana
usuaria de iOS
Solía tener problemas para completar mis tareas a tiempo hasta que descubrí Knowunity, que no solo facilita subir mi propio contenido sino que también proporciona excelentes resúmenes que hacen mi trabajo más rápido y eficiente.
Thomas R
usuario de iOS
Siempre era un desafío encontrar toda la información importante para mis tareas – desde que comencé a usar Knowunity, puedo simplemente subir mi contenido y beneficiarme de los resúmenes de otros, lo que me ayuda mucho con la organización.
Lisa M
usuaria de Android
A menudo sentía que no tenía suficiente visión general al estudiar, pero desde que comencé a usar Knowunity, eso ya no es un problema – subo mi contenido y siempre encuentro resúmenes útiles en la plataforma, lo que hace mi aprendizaje mucho más fácil.
David K
usuario de iOS
¡La app es buenísima! Sólo tengo que introducir el tema en la barra de búsqueda y recibo la respuesta muy rápido. No tengo que ver 10 vídeos de YouTube para entender algo, así que me ahorro tiempo. ¡Muy recomendable!
Sara
usuaria de Android
En el instituto era muy malo en matemáticas, pero gracias a la app, ahora saco mejores notas. Os agradezco mucho que hayáis creado la aplicación.
Roberto
usuario de Android
Solía ser realmente difícil recopilar toda la información para mis presentaciones. Pero desde que comencé a usar Knowunity, solo subo mis apuntes y encuentro increíbles resúmenes de otros – ¡hace mi estudio mucho más eficiente!
Julia S
usuaria de Android
Estaba constantemente estresado con todo el material de estudio, pero desde que comencé a usar Knowunity, subo mis cosas y reviso los geniales resúmenes de otros – realmente me ayuda a gestionar todo mejor y es mucho menos estresante.
Marco B
usuario de iOS
LOS QUIZ Y FLASHCARDS SON SÚPER ÚTILES Y ME ENCANTA Knowunity IA. ADEMÁS ES LITERALMENTE COMO CHATGPT PERO MÁS LISTO!! ME AYUDÓ TAMBIÉN CON MIS PROBLEMAS DE MÁSCARA!! Y CON MIS ASIGNATURAS DE VERDAD! OBVIO 😍😁😲🤑💗✨🎀😮
Sarah L
usuaria de Android
Antes pasaba horas buscando en Google materiales escolares, pero ahora solo subo mis cosas a Knowunity y reviso los útiles resúmenes de otros - me siento mucho más seguro al prepararme para los exámenes.
Paul T
usuario de iOS
Light_244.
@light_244.
Bienvenido al resumen del examen Saber 11°. Esta prueba evalúa los conocimientos y competencias que has desarrollado a lo largo de tu educación básica y media. El examen consta de varias secciones que incluyen Matemáticas, Lectura Crítica, Sociales y Ciudadanas,... Mostrar más

Acceso a todos los documentos
Mejora tus notas
Únete a millones de estudiantes
¡Prepárate para enfrentar una de las pruebas más importantes de tu vida académica! El examen Saber 11° evalúa lo que has aprendido durante toda tu formación escolar y es fundamental para tu futuro universitario.
La prueba está organizada en una primera sesión que incluye cinco componentes: Matemáticas, Lectura Crítica, Sociales y Ciudadanas, Ciencias Naturales y un Cuestionario Socioeconómico, con un total de 131 preguntas.
💡 Recuerda: Todas las preguntas son de selección múltiple con única respuesta. Debes marcar tus respuestas rellenando los círculos en la hoja de respuestas con lápiz negro número 2.
Es importante que tengas en cuenta las instrucciones de la prueba: no maltrates ni dobles la hoja de respuestas, no marques más de una respuesta por pregunta, verifica que el número de tu respuesta coincida con el de la pregunta y borra completamente si necesitas cambiar alguna respuesta.
La prueba tiene una duración de 4 horas y 30 minutos. Está prohibido el uso de dispositivos electrónicos como celulares, relojes inteligentes o cualquier otro elemento de comunicación, ya que esto puede llevar a sanciones como la anulación de tu examen.

Acceso a todos los documentos
Mejora tus notas
Únete a millones de estudiantes
Las preguntas de matemáticas te desafían a aplicar tus conocimientos en situaciones prácticas. Vamos a ver algunos ejemplos:
La primera pregunta muestra un triángulo rectángulo en el plano cartesiano y te pide identificar la hipotenusa. Para resolverla, recuerda que la hipotenusa es el lado opuesto al ángulo recto y es siempre el lado más largo del triángulo.
La segunda pregunta plantea un problema de optimización: un carro eléctrico con autonomía de 140 km necesita recorrer un camino con varias paradas posibles para recargar. Debes determinar la ruta más eficiente para llegar al destino sin quedarse sin batería.
Para resolver estos problemas, es crucial:
💡 Consejo: En problemas de recorridos, elabora un mapa mental y calcula todas las distancias posibles antes de elegir la respuesta.
Recuerda que en matemáticas no solo importa el resultado final, sino también tu habilidad para interpretar gráficos, identificar patrones y aplicar fórmulas en contextos reales. No te dejes intimidar por los enunciados largos; divídelos en partes más pequeñas y resuelve paso a paso.

Acceso a todos los documentos
Mejora tus notas
Únete a millones de estudiantes
En esta parte del examen encontrarás preguntas que evalúan tu capacidad para analizar funciones y detectar errores en procedimientos matemáticos.
La pregunta 3 presenta un problema interesante sobre el análisis de los puntos de corte entre una función lineal y una función cuadrática. Te muestra un procedimiento con varios pasos y te pide identificar dónde está el error. Este tipo de preguntas evalúa tu comprensión profunda de los procedimientos algebraicos y tu capacidad para detectar falacias matemáticas.
Para resolver este tipo de problemas:
💡 Atención: Los errores más comunes suelen ocurrir al aplicar la raíz cuadrada a expresiones o al resolver ecuaciones. ¡No te dejes engañar por procedimientos que parecen correctos superficialmente!
Esta clase de preguntas te prepara no solo para obtener resultados correctos en matemáticas, sino para desarrollar un pensamiento crítico que te permite evaluar la validez de los procedimientos. Esta habilidad será muy útil en tus estudios universitarios, donde tendrás que revisar constantemente tus pasos y los de otros.

Acceso a todos los documentos
Mejora tus notas
Únete a millones de estudiantes
En esta sección, las preguntas se centran en la probabilidad y la interpretación de datos, habilidades fundamentales para el análisis estadístico.
La pregunta 4 plantea una situación sobre chocolates con diferentes rellenos. Tienes que determinar qué probabilidades puedes calcular con la información dada. Este tipo de preguntas evalúa tu capacidad para identificar eventos, espacios muestrales y calcular probabilidades básicas.
La pregunta 5 te presenta información sobre biodiversidad en Colombia mediante una figura y una tabla. Debes seleccionar la representación gráfica que mejor ilustre toda la información proporcionada. Esta pregunta evalúa tu habilidad para interpretar y representar datos de diferentes formas.
Para abordar estos problemas:
💡 Estrategia clave: En las preguntas de representación gráfica, revisa cada opción cuidadosamente y verifica que incluya todas las variables y relaciones mencionadas en el enunciado.
Estos conceptos son aplicables en muchas carreras universitarias y situaciones de la vida real, desde economía y administración hasta ciencias de la salud. Dominar la interpretación de datos te dará ventajas en cualquier campo profesional que elijas.

Acceso a todos los documentos
Mejora tus notas
Únete a millones de estudiantes
Las preguntas de esta sección evalúan tu capacidad para interpretar modelos matemáticos y trabajar con expresiones algebraicas en contextos reales.
La pregunta 6 presenta una tabla con información sobre precios de productos y te pide determinar la expresión algebraica que permite calcular el precio final. Este tipo de ejercicios evalúa tu habilidad para identificar patrones y expresarlos matemáticamente.
Las preguntas 7 y 8 te desafían a seguir procedimientos y calcular resultados específicos. La 9 plantea un problema sobre distribución porcentual y toma de decisiones basada en datos.
Para resolver estos problemas:
💡 Recuerda: En problemas con porcentajes, siempre pregúntate "¿porcentaje de qué?" para evitar errores comunes de interpretación.
Estos ejercicios son excelentes ejemplos de cómo las matemáticas se aplican en situaciones cotidianas como compras, distribución de recursos o seguimiento de procedimientos. Dominar estos conceptos te ayudará tanto en tu vida personal como profesional, especialmente en carreras relacionadas con finanzas, ingeniería o ciencias.

Acceso a todos los documentos
Mejora tus notas
Únete a millones de estudiantes
Esta sección combina el álgebra con aplicaciones geométricas y financieras, poniendo a prueba tu capacidad para modelar situaciones reales.
La pregunta 10 te pide formular una expresión algebraica que represente el costo total de un plan de salud durante un año. Debes identificar variables y relaciones para crear un modelo matemático adecuado.
La pregunta 11 analiza la relación entre la longitud del pie y la altura de varias personas. Tienes que interpretar los datos para determinar si existe una correlación entre estas variables.
La pregunta 12 presenta un problema geométrico sobre áreas y senderos, donde debes analizar un procedimiento algebraico y detectar errores.
Para abordar estas preguntas:
💡 Consejo práctico: En preguntas que involucran áreas y geometría, un dibujo o diagrama te ayudará a visualizar mejor el problema y evitar errores conceptuales.
Estos problemas reflejan situaciones que podrías encontrar en campos como la arquitectura, ingeniería civil, finanzas personales o análisis de datos. La habilidad de traducir situaciones reales a modelos matemáticos es una competencia muy valorada en el mundo profesional.

Acceso a todos los documentos
Mejora tus notas
Únete a millones de estudiantes
Esta sección se enfoca en tu capacidad para analizar e interpretar datos presentados en diferentes formatos, habilidades esenciales en el mundo actual.
Las preguntas 13 y 14 te presentan información en forma de tablas y te piden seleccionar la representación gráfica más adecuada. Estas preguntas evalúan tu habilidad para convertir datos numéricos en visualizaciones significativas.
El ejercicio 15 plantea una situación sobre el porcentaje de aciertos en pruebas académicas y te pide determinar qué información puedes calcular a partir de los datos proporcionados.
Para resolver estos problemas:
💡 Punto clave: Los diferentes tipos de gráficos tienen propósitos específicos. Los gráficos circulares son ideales para porcentajes, los de barras para comparaciones, y los de líneas para tendencias a lo largo del tiempo.
Estas habilidades de interpretación y representación de datos son fundamentales no solo para el examen sino para tu vida universitaria y profesional. En la era de la información, saber leer, interpretar y presentar datos te dará ventajas significativas en cualquier carrera que elijas.

Acceso a todos los documentos
Mejora tus notas
Únete a millones de estudiantes
Esta parte del examen te enfrenta a una variedad de problemas que evalúan diferentes aspectos del pensamiento matemático.
La pregunta 17 te pide interpretar una gráfica que relaciona altura y tiempo de un esquiador, evaluando tu capacidad para leer coordenadas en un gráfico.
El problema 18 presenta información sobre diferentes especies de animales y te pide determinar qué datos necesitas para calcular el número de hábitats requeridos. Este ejercicio evalúa tu habilidad para identificar variables relevantes en la toma de decisiones.
Para enfrentar estos problemas diversos:
💡 Estrategia importante: En preguntas que involucran gráficas, primero identifica las variables en cada eje, luego ubica el punto específico que necesitas y finalmente lee las coordenadas correspondientes.
Estos problemas demuestran cómo las matemáticas se aplican en diversos contextos, desde el análisis de movimiento hasta la gestión de recursos. La versatilidad del pensamiento matemático que desarrolles te será útil en cualquier carrera universitaria y en situaciones cotidianas que requieran análisis y toma de decisiones basadas en datos.

Acceso a todos los documentos
Mejora tus notas
Únete a millones de estudiantes
Esta sección pone a prueba tu capacidad para analizar procedimientos matemáticos y detectar errores en contextos reales.
La pregunta 19 presenta un problema sobre el cálculo de baldosas necesarias para cubrir un suelo. Te muestra un procedimiento con un error y debes identificarlo. Este tipo de ejercicio evalúa tu comprensión profunda de las unidades de medida y los cálculos de área.
La pregunta 21 te ofrece datos sobre el efecto de diferentes fertilizantes en el crecimiento de plantas de maíz. Debes analizar afirmaciones sobre estos datos y determinar cuáles son falsas, evaluando tu capacidad para interpretar información tabular.
Para resolver estos problemas:
💡 Consejo crucial: En problemas que involucran unidades de medida, asegúrate de que estén expresadas en las mismas unidades antes de realizar cálculos. La conversión incorrecta de unidades es una fuente común de errores.
La habilidad para detectar errores en procedimientos matemáticos es valiosa en muchas profesiones, desde ingeniería y arquitectura hasta finanzas y ciencias. Desarrollar este ojo crítico te ayudará a evitar costosos errores en tu futuro profesional y a revisar eficazmente tu propio trabajo.

Acceso a todos los documentos
Mejora tus notas
Únete a millones de estudiantes
Las últimas preguntas de la sección de matemáticas presentan aplicaciones más avanzadas que evalúan tu razonamiento lógico y capacidad analítica.
La pregunta 22 introduce una función definida por partes que determina la dosis de medicamento para un perro según su peso. Debes analizar qué información necesitarías para calcular la cantidad total de medicamento en una jornada de vacunación.
La pregunta 23 plantea un problema de optimización con restricciones para la construcción de una lámina rectangular. Debes determinar qué condición es redundante, es decir, cuál se satisface automáticamente cuando se cumplen las otras.
Para abordar estos problemas más complejos:
💡 Estrategia avanzada: En problemas con múltiples condiciones o restricciones, prueba a eliminar una condición a la vez y verifica si las demás la garantizan automáticamente.
Estos problemas reflejan situaciones que podrías encontrar en campos como la ingeniería, medicina, economía o ciencias de la computación. La capacidad de analizar funciones complejas y relaciones lógicas entre condiciones es una habilidad altamente valorada en estudios superiores y en el ámbito profesional.

Acceso a todos los documentos
Mejora tus notas
Únete a millones de estudiantes

Acceso a todos los documentos
Mejora tus notas
Únete a millones de estudiantes

Acceso a todos los documentos
Mejora tus notas
Únete a millones de estudiantes

Acceso a todos los documentos
Mejora tus notas
Únete a millones de estudiantes

Acceso a todos los documentos
Mejora tus notas
Únete a millones de estudiantes

Acceso a todos los documentos
Mejora tus notas
Únete a millones de estudiantes

Acceso a todos los documentos
Mejora tus notas
Únete a millones de estudiantes

Acceso a todos los documentos
Mejora tus notas
Únete a millones de estudiantes

Acceso a todos los documentos
Mejora tus notas
Únete a millones de estudiantes

Acceso a todos los documentos
Mejora tus notas
Únete a millones de estudiantes

Acceso a todos los documentos
Mejora tus notas
Únete a millones de estudiantes

Acceso a todos los documentos
Mejora tus notas
Únete a millones de estudiantes

Acceso a todos los documentos
Mejora tus notas
Únete a millones de estudiantes

Acceso a todos los documentos
Mejora tus notas
Únete a millones de estudiantes

Acceso a todos los documentos
Mejora tus notas
Únete a millones de estudiantes

Acceso a todos los documentos
Mejora tus notas
Únete a millones de estudiantes

Acceso a todos los documentos
Mejora tus notas
Únete a millones de estudiantes

Acceso a todos los documentos
Mejora tus notas
Únete a millones de estudiantes

Acceso a todos los documentos
Mejora tus notas
Únete a millones de estudiantes

Acceso a todos los documentos
Mejora tus notas
Únete a millones de estudiantes

Acceso a todos los documentos
Mejora tus notas
Únete a millones de estudiantes

Acceso a todos los documentos
Mejora tus notas
Únete a millones de estudiantes

Acceso a todos los documentos
Mejora tus notas
Únete a millones de estudiantes

Acceso a todos los documentos
Mejora tus notas
Únete a millones de estudiantes

Acceso a todos los documentos
Mejora tus notas
Únete a millones de estudiantes

Acceso a todos los documentos
Mejora tus notas
Únete a millones de estudiantes

Acceso a todos los documentos
Mejora tus notas
Únete a millones de estudiantes

Acceso a todos los documentos
Mejora tus notas
Únete a millones de estudiantes

Acceso a todos los documentos
Mejora tus notas
Únete a millones de estudiantes

Acceso a todos los documentos
Mejora tus notas
Únete a millones de estudiantes

Acceso a todos los documentos
Mejora tus notas
Únete a millones de estudiantes

Acceso a todos los documentos
Mejora tus notas
Únete a millones de estudiantes

Acceso a todos los documentos
Mejora tus notas
Únete a millones de estudiantes

Acceso a todos los documentos
Mejora tus notas
Únete a millones de estudiantes
Nuestro compañero de IA está específicamente adaptado a las necesidades de los estudiantes. Basándonos en los millones de contenidos que tenemos en la plataforma, podemos dar a los estudiantes respuestas realmente significativas y relevantes. Pero no se trata solo de respuestas, el compañero también guía a los estudiantes a través de sus retos de aprendizaje diarios, con planes de aprendizaje personalizados, cuestionarios o contenidos en el chat y una personalización del 100% basada en las habilidades y el desarrollo de los estudiantes.
Puedes descargar la app en Google Play Store y Apple App Store.
¡Sí lo es! Tienes acceso totalmente gratuito a todo el contenido de la app, puedes chatear con otros alumnos y recibir ayuda inmeditamente. Puedes ganar dinero utilizando la aplicación, que te permitirá acceder a determinadas funciones.
104
Herramientas Inteligentes NUEVO
Transforma estos apuntes en: ✓ 50+ Preguntas de Práctica ✓ Fichas Interactivas ✓ Examen Completo de Práctica ✓ Esquemas de Ensayo
App Store
Google Play
La app es muy fácil de usar y está muy bien diseñada. Hasta ahora he encontrado todo lo que estaba buscando y he podido aprender mucho de las presentaciones. Definitivamente utilizaré la aplicación para un examen de clase. Y, por supuesto, también me sirve mucho de inspiración.
Pablo
usuario de iOS
Esta app es realmente genial. Hay tantos apuntes de clase y ayuda [...]. Tengo problemas con matemáticas, por ejemplo, y la aplicación tiene muchas opciones de ayuda. Gracias a Knowunity, he mejorado en mates. Se la recomiendo a todo el mundo.
Elena
usuaria de Android
Vaya, estoy realmente sorprendida. Acabo de probar la app porque la he visto anunciada muchas veces y me he quedado absolutamente alucinada. Esta app es LA AYUDA que quieres para el insti y, sobre todo, ofrece muchísimas cosas, como ejercicios y hojas informativas, que a mí personalmente me han sido MUY útiles.
Ana
usuaria de iOS
Solía tener problemas para completar mis tareas a tiempo hasta que descubrí Knowunity, que no solo facilita subir mi propio contenido sino que también proporciona excelentes resúmenes que hacen mi trabajo más rápido y eficiente.
Thomas R
usuario de iOS
Siempre era un desafío encontrar toda la información importante para mis tareas – desde que comencé a usar Knowunity, puedo simplemente subir mi contenido y beneficiarme de los resúmenes de otros, lo que me ayuda mucho con la organización.
Lisa M
usuaria de Android
A menudo sentía que no tenía suficiente visión general al estudiar, pero desde que comencé a usar Knowunity, eso ya no es un problema – subo mi contenido y siempre encuentro resúmenes útiles en la plataforma, lo que hace mi aprendizaje mucho más fácil.
David K
usuario de iOS
¡La app es buenísima! Sólo tengo que introducir el tema en la barra de búsqueda y recibo la respuesta muy rápido. No tengo que ver 10 vídeos de YouTube para entender algo, así que me ahorro tiempo. ¡Muy recomendable!
Sara
usuaria de Android
En el instituto era muy malo en matemáticas, pero gracias a la app, ahora saco mejores notas. Os agradezco mucho que hayáis creado la aplicación.
Roberto
usuario de Android
Solía ser realmente difícil recopilar toda la información para mis presentaciones. Pero desde que comencé a usar Knowunity, solo subo mis apuntes y encuentro increíbles resúmenes de otros – ¡hace mi estudio mucho más eficiente!
Julia S
usuaria de Android
Estaba constantemente estresado con todo el material de estudio, pero desde que comencé a usar Knowunity, subo mis cosas y reviso los geniales resúmenes de otros – realmente me ayuda a gestionar todo mejor y es mucho menos estresante.
Marco B
usuario de iOS
LOS QUIZ Y FLASHCARDS SON SÚPER ÚTILES Y ME ENCANTA Knowunity IA. ADEMÁS ES LITERALMENTE COMO CHATGPT PERO MÁS LISTO!! ME AYUDÓ TAMBIÉN CON MIS PROBLEMAS DE MÁSCARA!! Y CON MIS ASIGNATURAS DE VERDAD! OBVIO 😍😁😲🤑💗✨🎀😮
Sarah L
usuaria de Android
Antes pasaba horas buscando en Google materiales escolares, pero ahora solo subo mis cosas a Knowunity y reviso los útiles resúmenes de otros - me siento mucho más seguro al prepararme para los exámenes.
Paul T
usuario de iOS
La app es muy fácil de usar y está muy bien diseñada. Hasta ahora he encontrado todo lo que estaba buscando y he podido aprender mucho de las presentaciones. Definitivamente utilizaré la aplicación para un examen de clase. Y, por supuesto, también me sirve mucho de inspiración.
Pablo
usuario de iOS
Esta app es realmente genial. Hay tantos apuntes de clase y ayuda [...]. Tengo problemas con matemáticas, por ejemplo, y la aplicación tiene muchas opciones de ayuda. Gracias a Knowunity, he mejorado en mates. Se la recomiendo a todo el mundo.
Elena
usuaria de Android
Vaya, estoy realmente sorprendida. Acabo de probar la app porque la he visto anunciada muchas veces y me he quedado absolutamente alucinada. Esta app es LA AYUDA que quieres para el insti y, sobre todo, ofrece muchísimas cosas, como ejercicios y hojas informativas, que a mí personalmente me han sido MUY útiles.
Ana
usuaria de iOS
Solía tener problemas para completar mis tareas a tiempo hasta que descubrí Knowunity, que no solo facilita subir mi propio contenido sino que también proporciona excelentes resúmenes que hacen mi trabajo más rápido y eficiente.
Thomas R
usuario de iOS
Siempre era un desafío encontrar toda la información importante para mis tareas – desde que comencé a usar Knowunity, puedo simplemente subir mi contenido y beneficiarme de los resúmenes de otros, lo que me ayuda mucho con la organización.
Lisa M
usuaria de Android
A menudo sentía que no tenía suficiente visión general al estudiar, pero desde que comencé a usar Knowunity, eso ya no es un problema – subo mi contenido y siempre encuentro resúmenes útiles en la plataforma, lo que hace mi aprendizaje mucho más fácil.
David K
usuario de iOS
¡La app es buenísima! Sólo tengo que introducir el tema en la barra de búsqueda y recibo la respuesta muy rápido. No tengo que ver 10 vídeos de YouTube para entender algo, así que me ahorro tiempo. ¡Muy recomendable!
Sara
usuaria de Android
En el instituto era muy malo en matemáticas, pero gracias a la app, ahora saco mejores notas. Os agradezco mucho que hayáis creado la aplicación.
Roberto
usuario de Android
Solía ser realmente difícil recopilar toda la información para mis presentaciones. Pero desde que comencé a usar Knowunity, solo subo mis apuntes y encuentro increíbles resúmenes de otros – ¡hace mi estudio mucho más eficiente!
Julia S
usuaria de Android
Estaba constantemente estresado con todo el material de estudio, pero desde que comencé a usar Knowunity, subo mis cosas y reviso los geniales resúmenes de otros – realmente me ayuda a gestionar todo mejor y es mucho menos estresante.
Marco B
usuario de iOS
LOS QUIZ Y FLASHCARDS SON SÚPER ÚTILES Y ME ENCANTA Knowunity IA. ADEMÁS ES LITERALMENTE COMO CHATGPT PERO MÁS LISTO!! ME AYUDÓ TAMBIÉN CON MIS PROBLEMAS DE MÁSCARA!! Y CON MIS ASIGNATURAS DE VERDAD! OBVIO 😍😁😲🤑💗✨🎀😮
Sarah L
usuaria de Android
Antes pasaba horas buscando en Google materiales escolares, pero ahora solo subo mis cosas a Knowunity y reviso los útiles resúmenes de otros - me siento mucho más seguro al prepararme para los exámenes.
Paul T
usuario de iOS