¿Te estás preparando para el Saber 11? Estos son ejemplos... Mostrar más
Inscríbete para ver los apuntes¡Es gratis!
Acceso a todos los documentos
Mejora tus notas
Únete a millones de estudiantes
Knowunity AI
Asignaturas
Triangle Congruence and Similarity Theorems
Triangle Properties and Classification
Linear Equations and Graphs
Geometric Angle Relationships
Trigonometric Functions and Identities
Equation Solving Techniques
Circle Geometry Fundamentals
Division Operations and Methods
Basic Differentiation Rules
Exponent and Logarithm Properties
Mostrar todos los temas
Human Organ Systems
Reproductive Cell Cycles
Biological Sciences Subdisciplines
Cellular Energy Metabolism
Autotrophic Energy Processes
Inheritance Patterns and Principles
Biomolecular Structure and Organization
Cell Cycle and Division Mechanics
Cellular Organization and Development
Biological Structural Organization
Mostrar todos los temas
Chemical Sciences and Applications
Atomic Structure and Composition
Molecular Electron Structure Representation
Atomic Electron Behavior
Matter Properties and Water
Mole Concept and Calculations
Gas Laws and Behavior
Periodic Table Organization
Chemical Thermodynamics Fundamentals
Chemical Bond Types and Properties
Mostrar todos los temas
European Renaissance and Enlightenment
European Cultural Movements 800-1920
American Revolution Era 1763-1797
American Civil War 1861-1865
Global Imperial Systems
Mongol and Chinese Dynasties
U.S. Presidents and World Leaders
Historical Sources and Documentation
World Wars Era and Impact
World Religious Systems
Mostrar todos los temas
Classic and Contemporary Novels
Literary Character Analysis
Rhetorical Theory and Practice
Classic Literary Narratives
Reading Analysis and Interpretation
Narrative Structure and Techniques
English Language Components
Influential English-Language Authors
Basic Sentence Structure
Narrative Voice and Perspective
Mostrar todos los temas
412
•
Actualizado Mar 27, 2026
•
Sofia
@sofiatorresgr
¿Te estás preparando para el Saber 11? Estos son ejemplos... Mostrar más




























Antes que nada, necesitás conocer las reglas básicas del examen para no cometer errores tontos que te cuesten puntos.
La hoja de respuestas es tu mejor aliada. Tenés que desprenderla con cuidado y marcar solo con lápiz negro número 2. Si marcás más de una opción por pregunta, te la anulan automáticamente.
Dato clave: Verificá siempre que el número de la pregunta coincida con el número en tu hoja de respuestas. Es el error más común.
Los dispositivos electrónicos están totalmente prohibidos. Si te pillan con el celular, te pueden anular el examen e inhabilitarte por hasta 5 años. La multa es seria, así que mejor dejalo en casa.

Los triángulos rectángulos aparecen mucho en el Saber 11. Recordá que la hipotenusa es siempre el lado más largo, opuesto al ángulo recto.
El problema del carro eléctrico te enseña algo súper importante: siempre leé bien los datos. Con 140 km de autonomía, tenés que calcular cuál ruta es más eficiente considerando las estaciones de recarga.
Consejo práctico: En problemas de optimización, dibujá un esquema rápido. Te ayuda a visualizar mejor las opciones.
La clave está en sumar las distancias de cada ruta y verificar que no superen los 140 km entre recargas. No te compliques con cálculos innecesarios.

La probabilidad se basa en lo que sabés con certeza. Con 25 chocolates, 8 de mora y 5 de piña, podés calcular probabilidades específicas pero no de los sabores desconocidos.
Los problemas de biodiversidad en Colombia combinan matemáticas con ciencias naturales. Tenés que interpretar tablas y gráficas sobre especies amenazadas y endémicas.
Truco de examen: Cuando te muestren varias gráficas como opciones, eliminá primero las que obviamente no coinciden con los datos.
Las especies endémicas son únicas de una región específica. Colombia tiene 367 especies de anfibios endémicos, pero 0 de peces. Estos datos te ayudan a identificar la gráfica correcta.

Los problemas de precios e impuestos son pan de cada día. La fórmula correcta es: Precio final = Precio sin impuesto + Impuesto - Descuento. Es lógica pura.
Los algoritmos paso a paso requieren que sigas las instrucciones al pie de la letra. Si empezás con 9, sacás raíz cuadrada (3), multiplicás por 2 (6), elevás al cuadrado (36).
Error común: En problemas de proporciones, no confundas porcentajes con cantidades absolutas.
El problema de los regalos por área te enseña sobre proporcionalidad. Si un área tiene 60% de empleados, debería recibir aproximadamente 60% de los regalos para ser justo.

Los planes de salud se expresan como: (12 × 200.000) + (15.000 × servicios anuales). El costo mensual se multiplica por 12, y los servicios se suman por año completo.
Las correlaciones entre variables son súper importantes. Si el tamaño del pie aumenta y la altura también, hay una correlación positiva. Pero ojo: correlación no significa causalidad.
Tip de geometría: En problemas de áreas, siempre verificá que hayas incluido todas las zonas en tu cálculo.
El problema del terreno con senderos requiere restar el área de las 4 zonas recreativas del área total. Si solo restás 2 zonas, tu respuesta estará mal.

Con los porcentajes de acierto de Roberto, podés calcular el promedio fácilmente: (60+58+75+80+92)/5 = 73%. Pero no podés saber las cantidades absolutas sin más datos.
Las transformaciones geométricas como rotaciones de 90° son mecánicas. Practicá visualizando cómo se mueve cada punto del triángulo alrededor del origen.
Lectura de gráficas: Siempre identificá qué representa cada eje antes de buscar valores específicos.
En el problema de la reserva ambiental, necesitás el número de animales por especie y el máximo por hábitat. Dividís y redondeás hacia arriba para saber cuántos hábitats necesitás.

El texto sobre El Greco y la Inquisición muestra cómo analizar textos complejos. El título debe captar la idea principal: la relación entre el artista y la institución religiosa.
Los detalles específicos como los lentes del cardenal no son casuales. Representan modernidad y apertura mental, contrastando con la imagen típica de la Inquisición.
Estrategia de lectura: Identificá primero el tema general, luego buscá los detalles que lo apoyan.
La contextualización histórica es clave. El texto explica cómo El Greco, después del fracaso en el Escorial, buscaba nuevos mecenas en el clero toledano.

La analogía entre computadores y soldados es perfecta para entender obediencia ciega. Ambos siguen órdenes sin cuestionar si son buenas o malas.
Las palabras como "inmune" tienen sinónimos específicos. En este contexto, "invulnerable" es la mejor opción porque habla de protección contra ataques.
Análisis de argumentos: Distinguí entre evidencia a favor y en contra. Un ejemplo específico generalmente apoya la teoría general.
La vulnerabilidad de los computadores surge de su mayor fortaleza: la obediencia absoluta. Esta paradoja es clave para entender el texto.

El arte paleolítico muestra patrones sorprendentes. No es casualidad que bisontes y caballos ocupen el centro, mientras leones y rinocerontes están en la periferia.
La constancia en la organización sugiere un sistema simbólico, no representaciones accidentales de caza. Es un verdadero lenguaje visual prehistórico.
Relaciones textuales: Un fragmento general seguido de ejemplos específicos indica relación tesis-argumento.
La conclusión del texto es clara: estas representaciones tienen un propósito específico, diferente a la simple decoración o registro de animales.


















Nuestro compañero de IA está específicamente adaptado a las necesidades de los estudiantes. Basándonos en los millones de contenidos que tenemos en la plataforma, podemos dar a los estudiantes respuestas realmente significativas y relevantes. Pero no se trata solo de respuestas, el compañero también guía a los estudiantes a través de sus retos de aprendizaje diarios, con planes de aprendizaje personalizados, cuestionarios o contenidos en el chat y una personalización del 100% basada en las habilidades y el desarrollo de los estudiantes.
Puedes descargar la app en Google Play Store y Apple App Store.
¡Sí lo es! Tienes acceso totalmente gratuito a todo el contenido de la app, puedes chatear con otros alumnos y recibir ayuda inmeditamente. Puedes ganar dinero utilizando la aplicación, que te permitirá acceder a determinadas funciones.
App Store
Google Play
La app es muy fácil de usar y está muy bien diseñada. Hasta ahora he encontrado todo lo que estaba buscando y he podido aprender mucho de las presentaciones. Definitivamente utilizaré la aplicación para un examen de clase. Y, por supuesto, también me sirve mucho de inspiración.
Pablo
usuario de iOS
Esta app es realmente genial. Hay tantos apuntes de clase y ayuda [...]. Tengo problemas con matemáticas, por ejemplo, y la aplicación tiene muchas opciones de ayuda. Gracias a Knowunity, he mejorado en mates. Se la recomiendo a todo el mundo.
Elena
usuaria de Android
Vaya, estoy realmente sorprendida. Acabo de probar la app porque la he visto anunciada muchas veces y me he quedado absolutamente alucinada. Esta app es LA AYUDA que quieres para el insti y, sobre todo, ofrece muchísimas cosas, como ejercicios y hojas informativas, que a mí personalmente me han sido MUY útiles.
Ana
usuaria de iOS
Solía tener problemas para completar mis tareas a tiempo hasta que descubrí Knowunity, que no solo facilita subir mi propio contenido sino que también proporciona excelentes resúmenes que hacen mi trabajo más rápido y eficiente.
Thomas R
usuario de iOS
Siempre era un desafío encontrar toda la información importante para mis tareas – desde que comencé a usar Knowunity, puedo simplemente subir mi contenido y beneficiarme de los resúmenes de otros, lo que me ayuda mucho con la organización.
Lisa M
usuaria de Android
A menudo sentía que no tenía suficiente visión general al estudiar, pero desde que comencé a usar Knowunity, eso ya no es un problema – subo mi contenido y siempre encuentro resúmenes útiles en la plataforma, lo que hace mi aprendizaje mucho más fácil.
David K
usuario de iOS
¡La app es buenísima! Sólo tengo que introducir el tema en la barra de búsqueda y recibo la respuesta muy rápido. No tengo que ver 10 vídeos de YouTube para entender algo, así que me ahorro tiempo. ¡Muy recomendable!
Sara
usuaria de Android
En el instituto era muy malo en matemáticas, pero gracias a la app, ahora saco mejores notas. Os agradezco mucho que hayáis creado la aplicación.
Roberto
usuario de Android
Solía ser realmente difícil recopilar toda la información para mis presentaciones. Pero desde que comencé a usar Knowunity, solo subo mis apuntes y encuentro increíbles resúmenes de otros – ¡hace mi estudio mucho más eficiente!
Julia S
usuaria de Android
Estaba constantemente estresado con todo el material de estudio, pero desde que comencé a usar Knowunity, subo mis cosas y reviso los geniales resúmenes de otros – realmente me ayuda a gestionar todo mejor y es mucho menos estresante.
Marco B
usuario de iOS
LOS QUIZ Y FLASHCARDS SON SÚPER ÚTILES Y ME ENCANTA Knowunity IA. ADEMÁS ES LITERALMENTE COMO CHATGPT PERO MÁS LISTO!! ME AYUDÓ TAMBIÉN CON MIS PROBLEMAS DE MÁSCARA!! Y CON MIS ASIGNATURAS DE VERDAD! OBVIO 😍😁😲🤑💗✨🎀😮
Sarah L
usuaria de Android
Antes pasaba horas buscando en Google materiales escolares, pero ahora solo subo mis cosas a Knowunity y reviso los útiles resúmenes de otros - me siento mucho más seguro al prepararme para los exámenes.
Paul T
usuario de iOS
La app es muy fácil de usar y está muy bien diseñada. Hasta ahora he encontrado todo lo que estaba buscando y he podido aprender mucho de las presentaciones. Definitivamente utilizaré la aplicación para un examen de clase. Y, por supuesto, también me sirve mucho de inspiración.
Pablo
usuario de iOS
Esta app es realmente genial. Hay tantos apuntes de clase y ayuda [...]. Tengo problemas con matemáticas, por ejemplo, y la aplicación tiene muchas opciones de ayuda. Gracias a Knowunity, he mejorado en mates. Se la recomiendo a todo el mundo.
Elena
usuaria de Android
Vaya, estoy realmente sorprendida. Acabo de probar la app porque la he visto anunciada muchas veces y me he quedado absolutamente alucinada. Esta app es LA AYUDA que quieres para el insti y, sobre todo, ofrece muchísimas cosas, como ejercicios y hojas informativas, que a mí personalmente me han sido MUY útiles.
Ana
usuaria de iOS
Solía tener problemas para completar mis tareas a tiempo hasta que descubrí Knowunity, que no solo facilita subir mi propio contenido sino que también proporciona excelentes resúmenes que hacen mi trabajo más rápido y eficiente.
Thomas R
usuario de iOS
Siempre era un desafío encontrar toda la información importante para mis tareas – desde que comencé a usar Knowunity, puedo simplemente subir mi contenido y beneficiarme de los resúmenes de otros, lo que me ayuda mucho con la organización.
Lisa M
usuaria de Android
A menudo sentía que no tenía suficiente visión general al estudiar, pero desde que comencé a usar Knowunity, eso ya no es un problema – subo mi contenido y siempre encuentro resúmenes útiles en la plataforma, lo que hace mi aprendizaje mucho más fácil.
David K
usuario de iOS
¡La app es buenísima! Sólo tengo que introducir el tema en la barra de búsqueda y recibo la respuesta muy rápido. No tengo que ver 10 vídeos de YouTube para entender algo, así que me ahorro tiempo. ¡Muy recomendable!
Sara
usuaria de Android
En el instituto era muy malo en matemáticas, pero gracias a la app, ahora saco mejores notas. Os agradezco mucho que hayáis creado la aplicación.
Roberto
usuario de Android
Solía ser realmente difícil recopilar toda la información para mis presentaciones. Pero desde que comencé a usar Knowunity, solo subo mis apuntes y encuentro increíbles resúmenes de otros – ¡hace mi estudio mucho más eficiente!
Julia S
usuaria de Android
Estaba constantemente estresado con todo el material de estudio, pero desde que comencé a usar Knowunity, subo mis cosas y reviso los geniales resúmenes de otros – realmente me ayuda a gestionar todo mejor y es mucho menos estresante.
Marco B
usuario de iOS
LOS QUIZ Y FLASHCARDS SON SÚPER ÚTILES Y ME ENCANTA Knowunity IA. ADEMÁS ES LITERALMENTE COMO CHATGPT PERO MÁS LISTO!! ME AYUDÓ TAMBIÉN CON MIS PROBLEMAS DE MÁSCARA!! Y CON MIS ASIGNATURAS DE VERDAD! OBVIO 😍😁😲🤑💗✨🎀😮
Sarah L
usuaria de Android
Antes pasaba horas buscando en Google materiales escolares, pero ahora solo subo mis cosas a Knowunity y reviso los útiles resúmenes de otros - me siento mucho más seguro al prepararme para los exámenes.
Paul T
usuario de iOS
Sofia
@sofiatorresgr
¿Te estás preparando para el Saber 11? Estos son ejemplos reales de preguntas que te van a salir en el examen. Vamos a repasar los puntos clave de matemáticas y lectura crítica para que llegues súper preparado.

Acceso a todos los documentos
Mejora tus notas
Únete a millones de estudiantes
Antes que nada, necesitás conocer las reglas básicas del examen para no cometer errores tontos que te cuesten puntos.
La hoja de respuestas es tu mejor aliada. Tenés que desprenderla con cuidado y marcar solo con lápiz negro número 2. Si marcás más de una opción por pregunta, te la anulan automáticamente.
Dato clave: Verificá siempre que el número de la pregunta coincida con el número en tu hoja de respuestas. Es el error más común.
Los dispositivos electrónicos están totalmente prohibidos. Si te pillan con el celular, te pueden anular el examen e inhabilitarte por hasta 5 años. La multa es seria, así que mejor dejalo en casa.

Acceso a todos los documentos
Mejora tus notas
Únete a millones de estudiantes
Los triángulos rectángulos aparecen mucho en el Saber 11. Recordá que la hipotenusa es siempre el lado más largo, opuesto al ángulo recto.
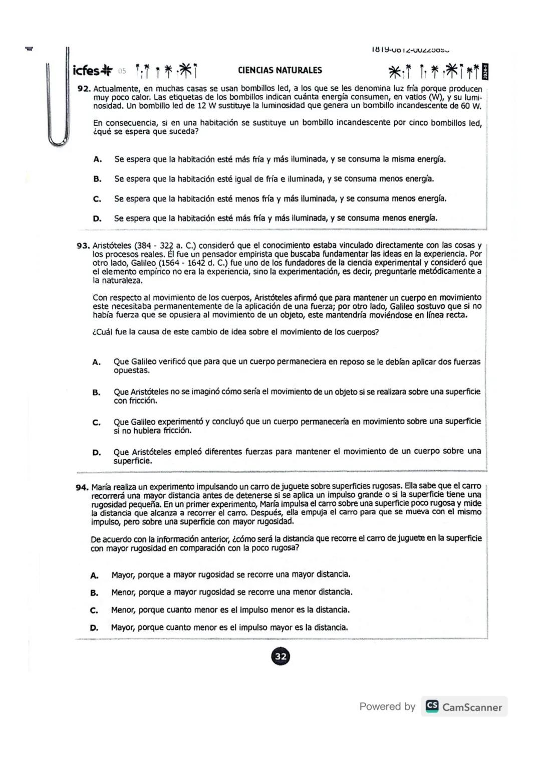
El problema del carro eléctrico te enseña algo súper importante: siempre leé bien los datos. Con 140 km de autonomía, tenés que calcular cuál ruta es más eficiente considerando las estaciones de recarga.
Consejo práctico: En problemas de optimización, dibujá un esquema rápido. Te ayuda a visualizar mejor las opciones.
La clave está en sumar las distancias de cada ruta y verificar que no superen los 140 km entre recargas. No te compliques con cálculos innecesarios.

Acceso a todos los documentos
Mejora tus notas
Únete a millones de estudiantes
La probabilidad se basa en lo que sabés con certeza. Con 25 chocolates, 8 de mora y 5 de piña, podés calcular probabilidades específicas pero no de los sabores desconocidos.
Los problemas de biodiversidad en Colombia combinan matemáticas con ciencias naturales. Tenés que interpretar tablas y gráficas sobre especies amenazadas y endémicas.
Truco de examen: Cuando te muestren varias gráficas como opciones, eliminá primero las que obviamente no coinciden con los datos.
Las especies endémicas son únicas de una región específica. Colombia tiene 367 especies de anfibios endémicos, pero 0 de peces. Estos datos te ayudan a identificar la gráfica correcta.

Acceso a todos los documentos
Mejora tus notas
Únete a millones de estudiantes
Los problemas de precios e impuestos son pan de cada día. La fórmula correcta es: Precio final = Precio sin impuesto + Impuesto - Descuento. Es lógica pura.
Los algoritmos paso a paso requieren que sigas las instrucciones al pie de la letra. Si empezás con 9, sacás raíz cuadrada (3), multiplicás por 2 (6), elevás al cuadrado (36).
Error común: En problemas de proporciones, no confundas porcentajes con cantidades absolutas.
El problema de los regalos por área te enseña sobre proporcionalidad. Si un área tiene 60% de empleados, debería recibir aproximadamente 60% de los regalos para ser justo.

Acceso a todos los documentos
Mejora tus notas
Únete a millones de estudiantes
Los planes de salud se expresan como: (12 × 200.000) + (15.000 × servicios anuales). El costo mensual se multiplica por 12, y los servicios se suman por año completo.
Las correlaciones entre variables son súper importantes. Si el tamaño del pie aumenta y la altura también, hay una correlación positiva. Pero ojo: correlación no significa causalidad.
Tip de geometría: En problemas de áreas, siempre verificá que hayas incluido todas las zonas en tu cálculo.
El problema del terreno con senderos requiere restar el área de las 4 zonas recreativas del área total. Si solo restás 2 zonas, tu respuesta estará mal.

Acceso a todos los documentos
Mejora tus notas
Únete a millones de estudiantes
Con los porcentajes de acierto de Roberto, podés calcular el promedio fácilmente: (60+58+75+80+92)/5 = 73%. Pero no podés saber las cantidades absolutas sin más datos.
Las transformaciones geométricas como rotaciones de 90° son mecánicas. Practicá visualizando cómo se mueve cada punto del triángulo alrededor del origen.
Lectura de gráficas: Siempre identificá qué representa cada eje antes de buscar valores específicos.
En el problema de la reserva ambiental, necesitás el número de animales por especie y el máximo por hábitat. Dividís y redondeás hacia arriba para saber cuántos hábitats necesitás.

Acceso a todos los documentos
Mejora tus notas
Únete a millones de estudiantes
El texto sobre El Greco y la Inquisición muestra cómo analizar textos complejos. El título debe captar la idea principal: la relación entre el artista y la institución religiosa.
Los detalles específicos como los lentes del cardenal no son casuales. Representan modernidad y apertura mental, contrastando con la imagen típica de la Inquisición.
Estrategia de lectura: Identificá primero el tema general, luego buscá los detalles que lo apoyan.
La contextualización histórica es clave. El texto explica cómo El Greco, después del fracaso en el Escorial, buscaba nuevos mecenas en el clero toledano.

Acceso a todos los documentos
Mejora tus notas
Únete a millones de estudiantes
La analogía entre computadores y soldados es perfecta para entender obediencia ciega. Ambos siguen órdenes sin cuestionar si son buenas o malas.
Las palabras como "inmune" tienen sinónimos específicos. En este contexto, "invulnerable" es la mejor opción porque habla de protección contra ataques.
Análisis de argumentos: Distinguí entre evidencia a favor y en contra. Un ejemplo específico generalmente apoya la teoría general.
La vulnerabilidad de los computadores surge de su mayor fortaleza: la obediencia absoluta. Esta paradoja es clave para entender el texto.

Acceso a todos los documentos
Mejora tus notas
Únete a millones de estudiantes
El arte paleolítico muestra patrones sorprendentes. No es casualidad que bisontes y caballos ocupen el centro, mientras leones y rinocerontes están en la periferia.
La constancia en la organización sugiere un sistema simbólico, no representaciones accidentales de caza. Es un verdadero lenguaje visual prehistórico.
Relaciones textuales: Un fragmento general seguido de ejemplos específicos indica relación tesis-argumento.
La conclusión del texto es clara: estas representaciones tienen un propósito específico, diferente a la simple decoración o registro de animales.

Acceso a todos los documentos
Mejora tus notas
Únete a millones de estudiantes

Acceso a todos los documentos
Mejora tus notas
Únete a millones de estudiantes

Acceso a todos los documentos
Mejora tus notas
Únete a millones de estudiantes

Acceso a todos los documentos
Mejora tus notas
Únete a millones de estudiantes

Acceso a todos los documentos
Mejora tus notas
Únete a millones de estudiantes

Acceso a todos los documentos
Mejora tus notas
Únete a millones de estudiantes

Acceso a todos los documentos
Mejora tus notas
Únete a millones de estudiantes

Acceso a todos los documentos
Mejora tus notas
Únete a millones de estudiantes

Acceso a todos los documentos
Mejora tus notas
Únete a millones de estudiantes

Acceso a todos los documentos
Mejora tus notas
Únete a millones de estudiantes

Acceso a todos los documentos
Mejora tus notas
Únete a millones de estudiantes

Acceso a todos los documentos
Mejora tus notas
Únete a millones de estudiantes

Acceso a todos los documentos
Mejora tus notas
Únete a millones de estudiantes

Acceso a todos los documentos
Mejora tus notas
Únete a millones de estudiantes

Acceso a todos los documentos
Mejora tus notas
Únete a millones de estudiantes

Acceso a todos los documentos
Mejora tus notas
Únete a millones de estudiantes

Acceso a todos los documentos
Mejora tus notas
Únete a millones de estudiantes

Acceso a todos los documentos
Mejora tus notas
Únete a millones de estudiantes
Nuestro compañero de IA está específicamente adaptado a las necesidades de los estudiantes. Basándonos en los millones de contenidos que tenemos en la plataforma, podemos dar a los estudiantes respuestas realmente significativas y relevantes. Pero no se trata solo de respuestas, el compañero también guía a los estudiantes a través de sus retos de aprendizaje diarios, con planes de aprendizaje personalizados, cuestionarios o contenidos en el chat y una personalización del 100% basada en las habilidades y el desarrollo de los estudiantes.
Puedes descargar la app en Google Play Store y Apple App Store.
¡Sí lo es! Tienes acceso totalmente gratuito a todo el contenido de la app, puedes chatear con otros alumnos y recibir ayuda inmeditamente. Puedes ganar dinero utilizando la aplicación, que te permitirá acceder a determinadas funciones.
5
Herramientas Inteligentes NUEVO
Transforma estos apuntes en: ✓ 50+ Preguntas de Práctica ✓ Fichas Interactivas ✓ Examen Completo de Práctica ✓ Esquemas de Ensayo
App Store
Google Play
La app es muy fácil de usar y está muy bien diseñada. Hasta ahora he encontrado todo lo que estaba buscando y he podido aprender mucho de las presentaciones. Definitivamente utilizaré la aplicación para un examen de clase. Y, por supuesto, también me sirve mucho de inspiración.
Pablo
usuario de iOS
Esta app es realmente genial. Hay tantos apuntes de clase y ayuda [...]. Tengo problemas con matemáticas, por ejemplo, y la aplicación tiene muchas opciones de ayuda. Gracias a Knowunity, he mejorado en mates. Se la recomiendo a todo el mundo.
Elena
usuaria de Android
Vaya, estoy realmente sorprendida. Acabo de probar la app porque la he visto anunciada muchas veces y me he quedado absolutamente alucinada. Esta app es LA AYUDA que quieres para el insti y, sobre todo, ofrece muchísimas cosas, como ejercicios y hojas informativas, que a mí personalmente me han sido MUY útiles.
Ana
usuaria de iOS
Solía tener problemas para completar mis tareas a tiempo hasta que descubrí Knowunity, que no solo facilita subir mi propio contenido sino que también proporciona excelentes resúmenes que hacen mi trabajo más rápido y eficiente.
Thomas R
usuario de iOS
Siempre era un desafío encontrar toda la información importante para mis tareas – desde que comencé a usar Knowunity, puedo simplemente subir mi contenido y beneficiarme de los resúmenes de otros, lo que me ayuda mucho con la organización.
Lisa M
usuaria de Android
A menudo sentía que no tenía suficiente visión general al estudiar, pero desde que comencé a usar Knowunity, eso ya no es un problema – subo mi contenido y siempre encuentro resúmenes útiles en la plataforma, lo que hace mi aprendizaje mucho más fácil.
David K
usuario de iOS
¡La app es buenísima! Sólo tengo que introducir el tema en la barra de búsqueda y recibo la respuesta muy rápido. No tengo que ver 10 vídeos de YouTube para entender algo, así que me ahorro tiempo. ¡Muy recomendable!
Sara
usuaria de Android
En el instituto era muy malo en matemáticas, pero gracias a la app, ahora saco mejores notas. Os agradezco mucho que hayáis creado la aplicación.
Roberto
usuario de Android
Solía ser realmente difícil recopilar toda la información para mis presentaciones. Pero desde que comencé a usar Knowunity, solo subo mis apuntes y encuentro increíbles resúmenes de otros – ¡hace mi estudio mucho más eficiente!
Julia S
usuaria de Android
Estaba constantemente estresado con todo el material de estudio, pero desde que comencé a usar Knowunity, subo mis cosas y reviso los geniales resúmenes de otros – realmente me ayuda a gestionar todo mejor y es mucho menos estresante.
Marco B
usuario de iOS
LOS QUIZ Y FLASHCARDS SON SÚPER ÚTILES Y ME ENCANTA Knowunity IA. ADEMÁS ES LITERALMENTE COMO CHATGPT PERO MÁS LISTO!! ME AYUDÓ TAMBIÉN CON MIS PROBLEMAS DE MÁSCARA!! Y CON MIS ASIGNATURAS DE VERDAD! OBVIO 😍😁😲🤑💗✨🎀😮
Sarah L
usuaria de Android
Antes pasaba horas buscando en Google materiales escolares, pero ahora solo subo mis cosas a Knowunity y reviso los útiles resúmenes de otros - me siento mucho más seguro al prepararme para los exámenes.
Paul T
usuario de iOS
La app es muy fácil de usar y está muy bien diseñada. Hasta ahora he encontrado todo lo que estaba buscando y he podido aprender mucho de las presentaciones. Definitivamente utilizaré la aplicación para un examen de clase. Y, por supuesto, también me sirve mucho de inspiración.
Pablo
usuario de iOS
Esta app es realmente genial. Hay tantos apuntes de clase y ayuda [...]. Tengo problemas con matemáticas, por ejemplo, y la aplicación tiene muchas opciones de ayuda. Gracias a Knowunity, he mejorado en mates. Se la recomiendo a todo el mundo.
Elena
usuaria de Android
Vaya, estoy realmente sorprendida. Acabo de probar la app porque la he visto anunciada muchas veces y me he quedado absolutamente alucinada. Esta app es LA AYUDA que quieres para el insti y, sobre todo, ofrece muchísimas cosas, como ejercicios y hojas informativas, que a mí personalmente me han sido MUY útiles.
Ana
usuaria de iOS
Solía tener problemas para completar mis tareas a tiempo hasta que descubrí Knowunity, que no solo facilita subir mi propio contenido sino que también proporciona excelentes resúmenes que hacen mi trabajo más rápido y eficiente.
Thomas R
usuario de iOS
Siempre era un desafío encontrar toda la información importante para mis tareas – desde que comencé a usar Knowunity, puedo simplemente subir mi contenido y beneficiarme de los resúmenes de otros, lo que me ayuda mucho con la organización.
Lisa M
usuaria de Android
A menudo sentía que no tenía suficiente visión general al estudiar, pero desde que comencé a usar Knowunity, eso ya no es un problema – subo mi contenido y siempre encuentro resúmenes útiles en la plataforma, lo que hace mi aprendizaje mucho más fácil.
David K
usuario de iOS
¡La app es buenísima! Sólo tengo que introducir el tema en la barra de búsqueda y recibo la respuesta muy rápido. No tengo que ver 10 vídeos de YouTube para entender algo, así que me ahorro tiempo. ¡Muy recomendable!
Sara
usuaria de Android
En el instituto era muy malo en matemáticas, pero gracias a la app, ahora saco mejores notas. Os agradezco mucho que hayáis creado la aplicación.
Roberto
usuario de Android
Solía ser realmente difícil recopilar toda la información para mis presentaciones. Pero desde que comencé a usar Knowunity, solo subo mis apuntes y encuentro increíbles resúmenes de otros – ¡hace mi estudio mucho más eficiente!
Julia S
usuaria de Android
Estaba constantemente estresado con todo el material de estudio, pero desde que comencé a usar Knowunity, subo mis cosas y reviso los geniales resúmenes de otros – realmente me ayuda a gestionar todo mejor y es mucho menos estresante.
Marco B
usuario de iOS
LOS QUIZ Y FLASHCARDS SON SÚPER ÚTILES Y ME ENCANTA Knowunity IA. ADEMÁS ES LITERALMENTE COMO CHATGPT PERO MÁS LISTO!! ME AYUDÓ TAMBIÉN CON MIS PROBLEMAS DE MÁSCARA!! Y CON MIS ASIGNATURAS DE VERDAD! OBVIO 😍😁😲🤑💗✨🎀😮
Sarah L
usuaria de Android
Antes pasaba horas buscando en Google materiales escolares, pero ahora solo subo mis cosas a Knowunity y reviso los útiles resúmenes de otros - me siento mucho más seguro al prepararme para los exámenes.
Paul T
usuario de iOS