¿Te has preguntado qué puedes esperar cuando presentes el Saber... Mostrar más
Inscríbete para ver los apuntes¡Es gratis!
Acceso a todos los documentos
Mejora tus notas
Únete a millones de estudiantes
Knowunity AI
Asignaturas
Triangle Congruence and Similarity Theorems
Triangle Properties and Classification
Linear Equations and Graphs
Geometric Angle Relationships
Trigonometric Functions and Identities
Equation Solving Techniques
Circle Geometry Fundamentals
Division Operations and Methods
Basic Differentiation Rules
Exponent and Logarithm Properties
Mostrar todos los temas
Human Organ Systems
Reproductive Cell Cycles
Biological Sciences Subdisciplines
Cellular Energy Metabolism
Autotrophic Energy Processes
Inheritance Patterns and Principles
Biomolecular Structure and Organization
Cell Cycle and Division Mechanics
Cellular Organization and Development
Biological Structural Organization
Mostrar todos los temas
Chemical Sciences and Applications
Atomic Structure and Composition
Molecular Electron Structure Representation
Atomic Electron Behavior
Matter Properties and Water
Mole Concept and Calculations
Gas Laws and Behavior
Periodic Table Organization
Chemical Thermodynamics Fundamentals
Chemical Bond Types and Properties
Mostrar todos los temas
European Renaissance and Enlightenment
European Cultural Movements 800-1920
American Revolution Era 1763-1797
American Civil War 1861-1865
Global Imperial Systems
Mongol and Chinese Dynasties
U.S. Presidents and World Leaders
Historical Sources and Documentation
World Wars Era and Impact
World Religious Systems
Mostrar todos los temas
Classic and Contemporary Novels
Literary Character Analysis
Rhetorical Theory and Practice
Classic Literary Narratives
Reading Analysis and Interpretation
Narrative Structure and Techniques
English Language Components
Influential English-Language Authors
Basic Sentence Structure
Narrative Voice and Perspective
Mostrar todos los temas
185
•
Actualizado May 10, 2026
•
Greysse Sarhiath Piedrahita
@greyssesarhiath
¿Te has preguntado qué puedes esperar cuando presentes el Saber... Mostrar más










































¿Sabías que el Saber 11 es una prueba que determina gran parte de tu futuro académico? Esta evaluación nacional del ICFES mide tus competencias en cinco áreas fundamentales que has desarrollado durante tu bachillerato.
La prueba incluye 131 preguntas que debes resolver en 4 horas y 30 minutos. Las materias evaluadas son Matemáticas, Lectura Crítica, Sociales y Ciudadanas, Ciencias Naturales, además de un Cuestionario Socioeconómico.
Instrucciones clave para el día del examen: Solo puedes marcar con lápiz negro número 2 en la hoja de respuestas. Cada pregunta tiene múltiples opciones y solo una es correcta. Si te equivocas, borra completamente antes de marcar otra respuesta.
¡Importante! Está completamente prohibido usar celulares, relojes inteligentes o cualquier dispositivo electrónico. Las sanciones pueden incluir anulación del examen e inhabilitación por hasta 5 años.

¿Te parece complicado interpretar gráficas? En realidad es más fácil de lo que piensas. Las preguntas de matemáticas del Saber 11 evalúan tu capacidad para analizar información presentada en tablas y gráficos.
Por ejemplo, cuando necesites comparar gastos semanales de un carro, la gráfica de barras te permite ver directamente los totales por semana. Los gráficos circulares muestran proporciones, pero no totales absolutos.
Para calcular ganancias comerciales, el procedimiento correcto es: tomar el precio de venta, restar el costo de compra, y multiplicar por las unidades vendidas. Es decir: × Unidades vendidas.
Tip clave: Lee cuidadosamente qué tipo de comparación te piden. Cada tipo de gráfico sirve para diferentes propósitos de análisis.

La geometría básica y la probabilidad son tus aliadas en el Saber 11. No necesitas fórmulas complicadas, sino entender conceptos fundamentales y aplicarlos correctamente.
Para calcular probabilidades simples, divide los casos favorables entre el total de casos posibles. Si 20 de 200 personas prefieren turismo, la probabilidad es 20/200 = 10% o 0.1.
En problemas de áreas geométricas, identifica primero qué figuras tienes. Para regiones sombreadas, usa el área total menos las áreas no sombreadas. El teorema de Pitágoras te ayuda a encontrar lados faltantes: a² + b² = c².
Estrategia ganadora: Dibuja o visualiza el problema geométrico. Muchas veces la respuesta se vuelve obvia cuando lo representas gráficamente.

Las matemáticas del Saber 11 se centran en situaciones de la vida real. No memorices fórmulas, sino entiende cómo aplicar conceptos básicos a problemas cotidianos.
Para conversiones de tiempo, recuerda que 1 hora = 60 minutos. Si necesitas esperar 6 horas y 50 minutos, calcula: (6 × 60) + 50 = 360 + 50 = 410 minutos.
Los problemas de análisis de datos requieren que identifiques la información relevante. Si te preguntan por los sabores más preferidos y el día de mayor venta, busca los dos valores más altos en cada categoría.
Para cálculo de porcentajes, el 2% de $30.000.000 se calcula así: 30.000.000 × 2 ÷ 100 = $600.000. El truco es multiplicar por el porcentaje y dividir entre 100.
Consejo práctico: Las respuestas suelen tener sentido en el contexto del problema. Si obtienes un resultado absurdo, revisa tus cálculos.

La estadística descriptiva te permite analizar conjuntos de datos y tomar decisiones informadas. Es más simple de lo que parece si dominas los conceptos básicos.
En problemas de distribución de probabilidad, la suma de todas las probabilidades debe ser 1. Si tienes tres intervalos con probabilidades 0.27, 0.46 y 0.27, verifica que sumen exactamente 1.0.
Para cotizaciones y presupuestos, asegúrate de tener toda la información necesaria: medidas completas (largo y ancho), tipo de material, y espesor. Sin estos datos, no puedes calcular costos totales.
Los métodos de muestreo son cruciales para obtener resultados representativos. Una encuesta que solo incluye un municipio no representa todo el departamento, sin importar cuántas personas encuestes.
Punto clave: La calidad de una muestra depende de qué tan bien represente a toda la población, no solo de su tamaño.

Los problemas de series numéricas y proporciones evalúan tu capacidad para identificar patrones y calcular valores futuros o faltantes.
En ahorros progresivos, si duplicas la cantidad cada mes ($50.000, $100.000, $200.000...), estás trabajando con una progresión geométrica. Para calcular cuándo alcanzarás tu meta, suma los términos hasta llegar al total deseado.
Para verificar coherencia entre datos, compara tablas y gráficos cuidadosamente. Los valores deben coincidir exactamente. Si encuentras diferencias, significa que la información no es consistente.
El cálculo mental estratégico puede ahorrarte tiempo. Para el 3% de $900.000: toma 9 × 3 = 27, luego agrega tres ceros = $27.000. En 10 meses serían $270.000.
Truco útil: Los problemas de series suelen tener patrones reconocibles. Identifica si es suma constante, multiplicación constante, o otra regla.

La geometría aplicada aparece frecuentemente en contextos prácticos como repartir tortas, calcular premios, o analizar formas complejas.
Para áreas de figuras irregulares, divide la forma en rectángulos y triángulos simples. Una torta rectangular de 60×20 cm dividida según los cortes mostrados requiere identificar las dimensiones de cada trozo individual.
En problemas de proporciones y fracciones, organiza la información paso a paso. Si 3/10 están en nivel básico y 2/5 de los restantes en nivel medio, calcula primero cuántos quedan después del primer grupo, luego aplica la segunda fracción.
Los problemas de combinatoria te preguntan de cuántas formas puedes seleccionar grupos. Para encontrar grupos "con al menos un hombre", es más fácil calcular el total menos los grupos "solo mujeres".
Estrategia efectiva: En geometría, etiqueta todas las medidas conocidas en tu diagrama. Esto te ayuda a visualizar qué puedes calcular.

El análisis de gráficos complejos requiere que identifiques qué información puedes y no puedes obtener de diferentes tipos de representaciones.
Las gráficas circulares muestran proporciones relativas perfectamente, pero no te dan los valores absolutos exactos. En cambio, las tablas numéricas sí proporcionan datos precisos que puedes usar para cálculos específicos.
Para problemas de área combinada, identifica cada región por separado. Un lienzo dividido en triángulo, cuarto de círculo y región restante requiere que calcules las dos primeras áreas para restarlas del total.
Los errores comunes incluyen olvidar dividir entre 2 para áreas de triángulos, o usar diámetro en lugar de radio para áreas de círculos. El área del triángulo es (base × altura) ÷ 2.
Verificación rápida: Si una gráfica y una tabla muestran la misma información, todos los valores deben coincidir exactamente. Cualquier diferencia indica un error.

La lectura crítica evalúa tu capacidad para entender, analizar y extraer información precisa de diferentes tipos de textos. No se trata solo de leer, sino de comprender profundamente.
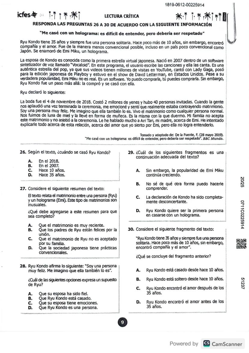
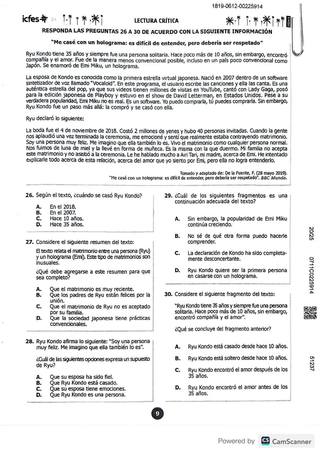
El texto sobre Ryu Kondo y su matrimonio con un holograma ejemplifica cómo debes extraer datos específicos: fechas, hechos concretos, y detalles relevantes. La boda fue el 4 de noviembre de 2018, no en 2007 cuando nació el software.
Para completar resúmenes, identifica qué elementos faltan. Un buen resumen debe incluir no solo los hechos principales, sino también las consecuencias o reacciones importantes, como el rechazo familiar al matrimonio.
Los supuestos implícitos son ideas que el autor asume sin decirlas directamente. Cuando Ryu dice "me imagino que ella también es feliz", está asumiendo que su esposa digital puede tener emociones.
Clave de éxito: Lee cada pregunta antes del texto para saber qué información buscar específicamente.

El razonamiento crítico te enseña a identificar estrategias argumentativas y evaluar la solidez de los argumentos presentados en textos académicos.
La autora Marianne Talbot usa una estrategia de contraste absurdo: compara una taza de café con un humano para demostrar qué significa ser racional. Esta técnica hace obvio por qué algunos seres actúan por razones y otros no.
Para identificar citas de autoridad, observa cómo los autores mencionan otros pensadores. Talbot cita a Aristóteles no para contradecirlo, sino para reforzar su argumento sin comprometerse completamente con todas sus ideas.
Los temas no desarrollados se introducen pero no se exploran completamente. Las preguntas sobre la relación entre lenguaje y razón se plantean al final pero no se responden, quedando abiertas para reflexión.
Técnica útil: Identifica si el autor está de acuerdo, en desacuerdo, o presenta neutralmente las ideas de otros pensadores.































Nuestro compañero de IA está específicamente adaptado a las necesidades de los estudiantes. Basándonos en los millones de contenidos que tenemos en la plataforma, podemos dar a los estudiantes respuestas realmente significativas y relevantes. Pero no se trata solo de respuestas, el compañero también guía a los estudiantes a través de sus retos de aprendizaje diarios, con planes de aprendizaje personalizados, cuestionarios o contenidos en el chat y una personalización del 100% basada en las habilidades y el desarrollo de los estudiantes.
Puedes descargar la app en Google Play Store y Apple App Store.
¡Sí lo es! Tienes acceso totalmente gratuito a todo el contenido de la app, puedes chatear con otros alumnos y recibir ayuda inmeditamente. Puedes ganar dinero utilizando la aplicación, que te permitirá acceder a determinadas funciones.
App Store
Google Play
La app es muy fácil de usar y está muy bien diseñada. Hasta ahora he encontrado todo lo que estaba buscando y he podido aprender mucho de las presentaciones. Definitivamente utilizaré la aplicación para un examen de clase. Y, por supuesto, también me sirve mucho de inspiración.
Pablo
usuario de iOS
Esta app es realmente genial. Hay tantos apuntes de clase y ayuda [...]. Tengo problemas con matemáticas, por ejemplo, y la aplicación tiene muchas opciones de ayuda. Gracias a Knowunity, he mejorado en mates. Se la recomiendo a todo el mundo.
Elena
usuaria de Android
Vaya, estoy realmente sorprendida. Acabo de probar la app porque la he visto anunciada muchas veces y me he quedado absolutamente alucinada. Esta app es LA AYUDA que quieres para el insti y, sobre todo, ofrece muchísimas cosas, como ejercicios y hojas informativas, que a mí personalmente me han sido MUY útiles.
Ana
usuaria de iOS
Solía tener problemas para completar mis tareas a tiempo hasta que descubrí Knowunity, que no solo facilita subir mi propio contenido sino que también proporciona excelentes resúmenes que hacen mi trabajo más rápido y eficiente.
Thomas R
usuario de iOS
Siempre era un desafío encontrar toda la información importante para mis tareas – desde que comencé a usar Knowunity, puedo simplemente subir mi contenido y beneficiarme de los resúmenes de otros, lo que me ayuda mucho con la organización.
Lisa M
usuaria de Android
A menudo sentía que no tenía suficiente visión general al estudiar, pero desde que comencé a usar Knowunity, eso ya no es un problema – subo mi contenido y siempre encuentro resúmenes útiles en la plataforma, lo que hace mi aprendizaje mucho más fácil.
David K
usuario de iOS
¡La app es buenísima! Sólo tengo que introducir el tema en la barra de búsqueda y recibo la respuesta muy rápido. No tengo que ver 10 vídeos de YouTube para entender algo, así que me ahorro tiempo. ¡Muy recomendable!
Sara
usuaria de Android
En el instituto era muy malo en matemáticas, pero gracias a la app, ahora saco mejores notas. Os agradezco mucho que hayáis creado la aplicación.
Roberto
usuario de Android
Solía ser realmente difícil recopilar toda la información para mis presentaciones. Pero desde que comencé a usar Knowunity, solo subo mis apuntes y encuentro increíbles resúmenes de otros – ¡hace mi estudio mucho más eficiente!
Julia S
usuaria de Android
Estaba constantemente estresado con todo el material de estudio, pero desde que comencé a usar Knowunity, subo mis cosas y reviso los geniales resúmenes de otros – realmente me ayuda a gestionar todo mejor y es mucho menos estresante.
Marco B
usuario de iOS
LOS QUIZ Y FLASHCARDS SON SÚPER ÚTILES Y ME ENCANTA Knowunity IA. ADEMÁS ES LITERALMENTE COMO CHATGPT PERO MÁS LISTO!! ME AYUDÓ TAMBIÉN CON MIS PROBLEMAS DE MÁSCARA!! Y CON MIS ASIGNATURAS DE VERDAD! OBVIO 😍😁😲🤑💗✨🎀😮
Sarah L
usuaria de Android
Antes pasaba horas buscando en Google materiales escolares, pero ahora solo subo mis cosas a Knowunity y reviso los útiles resúmenes de otros - me siento mucho más seguro al prepararme para los exámenes.
Paul T
usuario de iOS
La app es muy fácil de usar y está muy bien diseñada. Hasta ahora he encontrado todo lo que estaba buscando y he podido aprender mucho de las presentaciones. Definitivamente utilizaré la aplicación para un examen de clase. Y, por supuesto, también me sirve mucho de inspiración.
Pablo
usuario de iOS
Esta app es realmente genial. Hay tantos apuntes de clase y ayuda [...]. Tengo problemas con matemáticas, por ejemplo, y la aplicación tiene muchas opciones de ayuda. Gracias a Knowunity, he mejorado en mates. Se la recomiendo a todo el mundo.
Elena
usuaria de Android
Vaya, estoy realmente sorprendida. Acabo de probar la app porque la he visto anunciada muchas veces y me he quedado absolutamente alucinada. Esta app es LA AYUDA que quieres para el insti y, sobre todo, ofrece muchísimas cosas, como ejercicios y hojas informativas, que a mí personalmente me han sido MUY útiles.
Ana
usuaria de iOS
Solía tener problemas para completar mis tareas a tiempo hasta que descubrí Knowunity, que no solo facilita subir mi propio contenido sino que también proporciona excelentes resúmenes que hacen mi trabajo más rápido y eficiente.
Thomas R
usuario de iOS
Siempre era un desafío encontrar toda la información importante para mis tareas – desde que comencé a usar Knowunity, puedo simplemente subir mi contenido y beneficiarme de los resúmenes de otros, lo que me ayuda mucho con la organización.
Lisa M
usuaria de Android
A menudo sentía que no tenía suficiente visión general al estudiar, pero desde que comencé a usar Knowunity, eso ya no es un problema – subo mi contenido y siempre encuentro resúmenes útiles en la plataforma, lo que hace mi aprendizaje mucho más fácil.
David K
usuario de iOS
¡La app es buenísima! Sólo tengo que introducir el tema en la barra de búsqueda y recibo la respuesta muy rápido. No tengo que ver 10 vídeos de YouTube para entender algo, así que me ahorro tiempo. ¡Muy recomendable!
Sara
usuaria de Android
En el instituto era muy malo en matemáticas, pero gracias a la app, ahora saco mejores notas. Os agradezco mucho que hayáis creado la aplicación.
Roberto
usuario de Android
Solía ser realmente difícil recopilar toda la información para mis presentaciones. Pero desde que comencé a usar Knowunity, solo subo mis apuntes y encuentro increíbles resúmenes de otros – ¡hace mi estudio mucho más eficiente!
Julia S
usuaria de Android
Estaba constantemente estresado con todo el material de estudio, pero desde que comencé a usar Knowunity, subo mis cosas y reviso los geniales resúmenes de otros – realmente me ayuda a gestionar todo mejor y es mucho menos estresante.
Marco B
usuario de iOS
LOS QUIZ Y FLASHCARDS SON SÚPER ÚTILES Y ME ENCANTA Knowunity IA. ADEMÁS ES LITERALMENTE COMO CHATGPT PERO MÁS LISTO!! ME AYUDÓ TAMBIÉN CON MIS PROBLEMAS DE MÁSCARA!! Y CON MIS ASIGNATURAS DE VERDAD! OBVIO 😍😁😲🤑💗✨🎀😮
Sarah L
usuaria de Android
Antes pasaba horas buscando en Google materiales escolares, pero ahora solo subo mis cosas a Knowunity y reviso los útiles resúmenes de otros - me siento mucho más seguro al prepararme para los exámenes.
Paul T
usuario de iOS
Greysse Sarhiath Piedrahita
@greyssesarhiath
¿Te has preguntado qué puedes esperar cuando presentes el Saber 11? Esta prueba es tu boleto de entrada a la educación superior en Colombia y evalúa qué tan preparado estás en diferentes áreas académicas. Te voy a mostrar exactamente cómo... Mostrar más

Acceso a todos los documentos
Mejora tus notas
Únete a millones de estudiantes
¿Sabías que el Saber 11 es una prueba que determina gran parte de tu futuro académico? Esta evaluación nacional del ICFES mide tus competencias en cinco áreas fundamentales que has desarrollado durante tu bachillerato.
La prueba incluye 131 preguntas que debes resolver en 4 horas y 30 minutos. Las materias evaluadas son Matemáticas, Lectura Crítica, Sociales y Ciudadanas, Ciencias Naturales, además de un Cuestionario Socioeconómico.
Instrucciones clave para el día del examen: Solo puedes marcar con lápiz negro número 2 en la hoja de respuestas. Cada pregunta tiene múltiples opciones y solo una es correcta. Si te equivocas, borra completamente antes de marcar otra respuesta.
¡Importante! Está completamente prohibido usar celulares, relojes inteligentes o cualquier dispositivo electrónico. Las sanciones pueden incluir anulación del examen e inhabilitación por hasta 5 años.

Acceso a todos los documentos
Mejora tus notas
Únete a millones de estudiantes
¿Te parece complicado interpretar gráficas? En realidad es más fácil de lo que piensas. Las preguntas de matemáticas del Saber 11 evalúan tu capacidad para analizar información presentada en tablas y gráficos.
Por ejemplo, cuando necesites comparar gastos semanales de un carro, la gráfica de barras te permite ver directamente los totales por semana. Los gráficos circulares muestran proporciones, pero no totales absolutos.
Para calcular ganancias comerciales, el procedimiento correcto es: tomar el precio de venta, restar el costo de compra, y multiplicar por las unidades vendidas. Es decir: × Unidades vendidas.
Tip clave: Lee cuidadosamente qué tipo de comparación te piden. Cada tipo de gráfico sirve para diferentes propósitos de análisis.

Acceso a todos los documentos
Mejora tus notas
Únete a millones de estudiantes
La geometría básica y la probabilidad son tus aliadas en el Saber 11. No necesitas fórmulas complicadas, sino entender conceptos fundamentales y aplicarlos correctamente.
Para calcular probabilidades simples, divide los casos favorables entre el total de casos posibles. Si 20 de 200 personas prefieren turismo, la probabilidad es 20/200 = 10% o 0.1.
En problemas de áreas geométricas, identifica primero qué figuras tienes. Para regiones sombreadas, usa el área total menos las áreas no sombreadas. El teorema de Pitágoras te ayuda a encontrar lados faltantes: a² + b² = c².
Estrategia ganadora: Dibuja o visualiza el problema geométrico. Muchas veces la respuesta se vuelve obvia cuando lo representas gráficamente.

Acceso a todos los documentos
Mejora tus notas
Únete a millones de estudiantes
Las matemáticas del Saber 11 se centran en situaciones de la vida real. No memorices fórmulas, sino entiende cómo aplicar conceptos básicos a problemas cotidianos.
Para conversiones de tiempo, recuerda que 1 hora = 60 minutos. Si necesitas esperar 6 horas y 50 minutos, calcula: (6 × 60) + 50 = 360 + 50 = 410 minutos.
Los problemas de análisis de datos requieren que identifiques la información relevante. Si te preguntan por los sabores más preferidos y el día de mayor venta, busca los dos valores más altos en cada categoría.
Para cálculo de porcentajes, el 2% de $30.000.000 se calcula así: 30.000.000 × 2 ÷ 100 = $600.000. El truco es multiplicar por el porcentaje y dividir entre 100.
Consejo práctico: Las respuestas suelen tener sentido en el contexto del problema. Si obtienes un resultado absurdo, revisa tus cálculos.

Acceso a todos los documentos
Mejora tus notas
Únete a millones de estudiantes
La estadística descriptiva te permite analizar conjuntos de datos y tomar decisiones informadas. Es más simple de lo que parece si dominas los conceptos básicos.
En problemas de distribución de probabilidad, la suma de todas las probabilidades debe ser 1. Si tienes tres intervalos con probabilidades 0.27, 0.46 y 0.27, verifica que sumen exactamente 1.0.
Para cotizaciones y presupuestos, asegúrate de tener toda la información necesaria: medidas completas (largo y ancho), tipo de material, y espesor. Sin estos datos, no puedes calcular costos totales.
Los métodos de muestreo son cruciales para obtener resultados representativos. Una encuesta que solo incluye un municipio no representa todo el departamento, sin importar cuántas personas encuestes.
Punto clave: La calidad de una muestra depende de qué tan bien represente a toda la población, no solo de su tamaño.

Acceso a todos los documentos
Mejora tus notas
Únete a millones de estudiantes
Los problemas de series numéricas y proporciones evalúan tu capacidad para identificar patrones y calcular valores futuros o faltantes.
En ahorros progresivos, si duplicas la cantidad cada mes ($50.000, $100.000, $200.000...), estás trabajando con una progresión geométrica. Para calcular cuándo alcanzarás tu meta, suma los términos hasta llegar al total deseado.
Para verificar coherencia entre datos, compara tablas y gráficos cuidadosamente. Los valores deben coincidir exactamente. Si encuentras diferencias, significa que la información no es consistente.
El cálculo mental estratégico puede ahorrarte tiempo. Para el 3% de $900.000: toma 9 × 3 = 27, luego agrega tres ceros = $27.000. En 10 meses serían $270.000.
Truco útil: Los problemas de series suelen tener patrones reconocibles. Identifica si es suma constante, multiplicación constante, o otra regla.

Acceso a todos los documentos
Mejora tus notas
Únete a millones de estudiantes
La geometría aplicada aparece frecuentemente en contextos prácticos como repartir tortas, calcular premios, o analizar formas complejas.
Para áreas de figuras irregulares, divide la forma en rectángulos y triángulos simples. Una torta rectangular de 60×20 cm dividida según los cortes mostrados requiere identificar las dimensiones de cada trozo individual.
En problemas de proporciones y fracciones, organiza la información paso a paso. Si 3/10 están en nivel básico y 2/5 de los restantes en nivel medio, calcula primero cuántos quedan después del primer grupo, luego aplica la segunda fracción.
Los problemas de combinatoria te preguntan de cuántas formas puedes seleccionar grupos. Para encontrar grupos "con al menos un hombre", es más fácil calcular el total menos los grupos "solo mujeres".
Estrategia efectiva: En geometría, etiqueta todas las medidas conocidas en tu diagrama. Esto te ayuda a visualizar qué puedes calcular.

Acceso a todos los documentos
Mejora tus notas
Únete a millones de estudiantes
El análisis de gráficos complejos requiere que identifiques qué información puedes y no puedes obtener de diferentes tipos de representaciones.
Las gráficas circulares muestran proporciones relativas perfectamente, pero no te dan los valores absolutos exactos. En cambio, las tablas numéricas sí proporcionan datos precisos que puedes usar para cálculos específicos.
Para problemas de área combinada, identifica cada región por separado. Un lienzo dividido en triángulo, cuarto de círculo y región restante requiere que calcules las dos primeras áreas para restarlas del total.
Los errores comunes incluyen olvidar dividir entre 2 para áreas de triángulos, o usar diámetro en lugar de radio para áreas de círculos. El área del triángulo es (base × altura) ÷ 2.
Verificación rápida: Si una gráfica y una tabla muestran la misma información, todos los valores deben coincidir exactamente. Cualquier diferencia indica un error.

Acceso a todos los documentos
Mejora tus notas
Únete a millones de estudiantes
La lectura crítica evalúa tu capacidad para entender, analizar y extraer información precisa de diferentes tipos de textos. No se trata solo de leer, sino de comprender profundamente.
El texto sobre Ryu Kondo y su matrimonio con un holograma ejemplifica cómo debes extraer datos específicos: fechas, hechos concretos, y detalles relevantes. La boda fue el 4 de noviembre de 2018, no en 2007 cuando nació el software.
Para completar resúmenes, identifica qué elementos faltan. Un buen resumen debe incluir no solo los hechos principales, sino también las consecuencias o reacciones importantes, como el rechazo familiar al matrimonio.
Los supuestos implícitos son ideas que el autor asume sin decirlas directamente. Cuando Ryu dice "me imagino que ella también es feliz", está asumiendo que su esposa digital puede tener emociones.
Clave de éxito: Lee cada pregunta antes del texto para saber qué información buscar específicamente.

Acceso a todos los documentos
Mejora tus notas
Únete a millones de estudiantes
El razonamiento crítico te enseña a identificar estrategias argumentativas y evaluar la solidez de los argumentos presentados en textos académicos.
La autora Marianne Talbot usa una estrategia de contraste absurdo: compara una taza de café con un humano para demostrar qué significa ser racional. Esta técnica hace obvio por qué algunos seres actúan por razones y otros no.
Para identificar citas de autoridad, observa cómo los autores mencionan otros pensadores. Talbot cita a Aristóteles no para contradecirlo, sino para reforzar su argumento sin comprometerse completamente con todas sus ideas.
Los temas no desarrollados se introducen pero no se exploran completamente. Las preguntas sobre la relación entre lenguaje y razón se plantean al final pero no se responden, quedando abiertas para reflexión.
Técnica útil: Identifica si el autor está de acuerdo, en desacuerdo, o presenta neutralmente las ideas de otros pensadores.

Acceso a todos los documentos
Mejora tus notas
Únete a millones de estudiantes

Acceso a todos los documentos
Mejora tus notas
Únete a millones de estudiantes

Acceso a todos los documentos
Mejora tus notas
Únete a millones de estudiantes

Acceso a todos los documentos
Mejora tus notas
Únete a millones de estudiantes

Acceso a todos los documentos
Mejora tus notas
Únete a millones de estudiantes

Acceso a todos los documentos
Mejora tus notas
Únete a millones de estudiantes

Acceso a todos los documentos
Mejora tus notas
Únete a millones de estudiantes

Acceso a todos los documentos
Mejora tus notas
Únete a millones de estudiantes

Acceso a todos los documentos
Mejora tus notas
Únete a millones de estudiantes

Acceso a todos los documentos
Mejora tus notas
Únete a millones de estudiantes

Acceso a todos los documentos
Mejora tus notas
Únete a millones de estudiantes

Acceso a todos los documentos
Mejora tus notas
Únete a millones de estudiantes

Acceso a todos los documentos
Mejora tus notas
Únete a millones de estudiantes

Acceso a todos los documentos
Mejora tus notas
Únete a millones de estudiantes

Acceso a todos los documentos
Mejora tus notas
Únete a millones de estudiantes

Acceso a todos los documentos
Mejora tus notas
Únete a millones de estudiantes

Acceso a todos los documentos
Mejora tus notas
Únete a millones de estudiantes

Acceso a todos los documentos
Mejora tus notas
Únete a millones de estudiantes

Acceso a todos los documentos
Mejora tus notas
Únete a millones de estudiantes

Acceso a todos los documentos
Mejora tus notas
Únete a millones de estudiantes

Acceso a todos los documentos
Mejora tus notas
Únete a millones de estudiantes

Acceso a todos los documentos
Mejora tus notas
Únete a millones de estudiantes

Acceso a todos los documentos
Mejora tus notas
Únete a millones de estudiantes

Acceso a todos los documentos
Mejora tus notas
Únete a millones de estudiantes

Acceso a todos los documentos
Mejora tus notas
Únete a millones de estudiantes

Acceso a todos los documentos
Mejora tus notas
Únete a millones de estudiantes

Acceso a todos los documentos
Mejora tus notas
Únete a millones de estudiantes

Acceso a todos los documentos
Mejora tus notas
Únete a millones de estudiantes

Acceso a todos los documentos
Mejora tus notas
Únete a millones de estudiantes

Acceso a todos los documentos
Mejora tus notas
Únete a millones de estudiantes

Acceso a todos los documentos
Mejora tus notas
Únete a millones de estudiantes
Nuestro compañero de IA está específicamente adaptado a las necesidades de los estudiantes. Basándonos en los millones de contenidos que tenemos en la plataforma, podemos dar a los estudiantes respuestas realmente significativas y relevantes. Pero no se trata solo de respuestas, el compañero también guía a los estudiantes a través de sus retos de aprendizaje diarios, con planes de aprendizaje personalizados, cuestionarios o contenidos en el chat y una personalización del 100% basada en las habilidades y el desarrollo de los estudiantes.
Puedes descargar la app en Google Play Store y Apple App Store.
¡Sí lo es! Tienes acceso totalmente gratuito a todo el contenido de la app, puedes chatear con otros alumnos y recibir ayuda inmeditamente. Puedes ganar dinero utilizando la aplicación, que te permitirá acceder a determinadas funciones.
4
Herramientas Inteligentes NUEVO
Transforma estos apuntes en: ✓ 50+ Preguntas de Práctica ✓ Fichas Interactivas ✓ Examen Completo de Práctica ✓ Esquemas de Ensayo
App Store
Google Play
La app es muy fácil de usar y está muy bien diseñada. Hasta ahora he encontrado todo lo que estaba buscando y he podido aprender mucho de las presentaciones. Definitivamente utilizaré la aplicación para un examen de clase. Y, por supuesto, también me sirve mucho de inspiración.
Pablo
usuario de iOS
Esta app es realmente genial. Hay tantos apuntes de clase y ayuda [...]. Tengo problemas con matemáticas, por ejemplo, y la aplicación tiene muchas opciones de ayuda. Gracias a Knowunity, he mejorado en mates. Se la recomiendo a todo el mundo.
Elena
usuaria de Android
Vaya, estoy realmente sorprendida. Acabo de probar la app porque la he visto anunciada muchas veces y me he quedado absolutamente alucinada. Esta app es LA AYUDA que quieres para el insti y, sobre todo, ofrece muchísimas cosas, como ejercicios y hojas informativas, que a mí personalmente me han sido MUY útiles.
Ana
usuaria de iOS
Solía tener problemas para completar mis tareas a tiempo hasta que descubrí Knowunity, que no solo facilita subir mi propio contenido sino que también proporciona excelentes resúmenes que hacen mi trabajo más rápido y eficiente.
Thomas R
usuario de iOS
Siempre era un desafío encontrar toda la información importante para mis tareas – desde que comencé a usar Knowunity, puedo simplemente subir mi contenido y beneficiarme de los resúmenes de otros, lo que me ayuda mucho con la organización.
Lisa M
usuaria de Android
A menudo sentía que no tenía suficiente visión general al estudiar, pero desde que comencé a usar Knowunity, eso ya no es un problema – subo mi contenido y siempre encuentro resúmenes útiles en la plataforma, lo que hace mi aprendizaje mucho más fácil.
David K
usuario de iOS
¡La app es buenísima! Sólo tengo que introducir el tema en la barra de búsqueda y recibo la respuesta muy rápido. No tengo que ver 10 vídeos de YouTube para entender algo, así que me ahorro tiempo. ¡Muy recomendable!
Sara
usuaria de Android
En el instituto era muy malo en matemáticas, pero gracias a la app, ahora saco mejores notas. Os agradezco mucho que hayáis creado la aplicación.
Roberto
usuario de Android
Solía ser realmente difícil recopilar toda la información para mis presentaciones. Pero desde que comencé a usar Knowunity, solo subo mis apuntes y encuentro increíbles resúmenes de otros – ¡hace mi estudio mucho más eficiente!
Julia S
usuaria de Android
Estaba constantemente estresado con todo el material de estudio, pero desde que comencé a usar Knowunity, subo mis cosas y reviso los geniales resúmenes de otros – realmente me ayuda a gestionar todo mejor y es mucho menos estresante.
Marco B
usuario de iOS
LOS QUIZ Y FLASHCARDS SON SÚPER ÚTILES Y ME ENCANTA Knowunity IA. ADEMÁS ES LITERALMENTE COMO CHATGPT PERO MÁS LISTO!! ME AYUDÓ TAMBIÉN CON MIS PROBLEMAS DE MÁSCARA!! Y CON MIS ASIGNATURAS DE VERDAD! OBVIO 😍😁😲🤑💗✨🎀😮
Sarah L
usuaria de Android
Antes pasaba horas buscando en Google materiales escolares, pero ahora solo subo mis cosas a Knowunity y reviso los útiles resúmenes de otros - me siento mucho más seguro al prepararme para los exámenes.
Paul T
usuario de iOS
La app es muy fácil de usar y está muy bien diseñada. Hasta ahora he encontrado todo lo que estaba buscando y he podido aprender mucho de las presentaciones. Definitivamente utilizaré la aplicación para un examen de clase. Y, por supuesto, también me sirve mucho de inspiración.
Pablo
usuario de iOS
Esta app es realmente genial. Hay tantos apuntes de clase y ayuda [...]. Tengo problemas con matemáticas, por ejemplo, y la aplicación tiene muchas opciones de ayuda. Gracias a Knowunity, he mejorado en mates. Se la recomiendo a todo el mundo.
Elena
usuaria de Android
Vaya, estoy realmente sorprendida. Acabo de probar la app porque la he visto anunciada muchas veces y me he quedado absolutamente alucinada. Esta app es LA AYUDA que quieres para el insti y, sobre todo, ofrece muchísimas cosas, como ejercicios y hojas informativas, que a mí personalmente me han sido MUY útiles.
Ana
usuaria de iOS
Solía tener problemas para completar mis tareas a tiempo hasta que descubrí Knowunity, que no solo facilita subir mi propio contenido sino que también proporciona excelentes resúmenes que hacen mi trabajo más rápido y eficiente.
Thomas R
usuario de iOS
Siempre era un desafío encontrar toda la información importante para mis tareas – desde que comencé a usar Knowunity, puedo simplemente subir mi contenido y beneficiarme de los resúmenes de otros, lo que me ayuda mucho con la organización.
Lisa M
usuaria de Android
A menudo sentía que no tenía suficiente visión general al estudiar, pero desde que comencé a usar Knowunity, eso ya no es un problema – subo mi contenido y siempre encuentro resúmenes útiles en la plataforma, lo que hace mi aprendizaje mucho más fácil.
David K
usuario de iOS
¡La app es buenísima! Sólo tengo que introducir el tema en la barra de búsqueda y recibo la respuesta muy rápido. No tengo que ver 10 vídeos de YouTube para entender algo, así que me ahorro tiempo. ¡Muy recomendable!
Sara
usuaria de Android
En el instituto era muy malo en matemáticas, pero gracias a la app, ahora saco mejores notas. Os agradezco mucho que hayáis creado la aplicación.
Roberto
usuario de Android
Solía ser realmente difícil recopilar toda la información para mis presentaciones. Pero desde que comencé a usar Knowunity, solo subo mis apuntes y encuentro increíbles resúmenes de otros – ¡hace mi estudio mucho más eficiente!
Julia S
usuaria de Android
Estaba constantemente estresado con todo el material de estudio, pero desde que comencé a usar Knowunity, subo mis cosas y reviso los geniales resúmenes de otros – realmente me ayuda a gestionar todo mejor y es mucho menos estresante.
Marco B
usuario de iOS
LOS QUIZ Y FLASHCARDS SON SÚPER ÚTILES Y ME ENCANTA Knowunity IA. ADEMÁS ES LITERALMENTE COMO CHATGPT PERO MÁS LISTO!! ME AYUDÓ TAMBIÉN CON MIS PROBLEMAS DE MÁSCARA!! Y CON MIS ASIGNATURAS DE VERDAD! OBVIO 😍😁😲🤑💗✨🎀😮
Sarah L
usuaria de Android
Antes pasaba horas buscando en Google materiales escolares, pero ahora solo subo mis cosas a Knowunity y reviso los útiles resúmenes de otros - me siento mucho más seguro al prepararme para los exámenes.
Paul T
usuario de iOS