La hidrostática es la rama de la física que estudia... Mostrar más
Inscríbete para ver los apuntes¡Es gratis!
Acceso a todos los documentos
Mejora tus notas
Únete a millones de estudiantes
Knowunity AI
Asignaturas
Triangle Congruence and Similarity Theorems
Triangle Properties and Classification
Linear Equations and Graphs
Geometric Angle Relationships
Trigonometric Functions and Identities
Equation Solving Techniques
Circle Geometry Fundamentals
Division Operations and Methods
Basic Differentiation Rules
Exponent and Logarithm Properties
Mostrar todos los temas
Human Organ Systems
Reproductive Cell Cycles
Biological Sciences Subdisciplines
Cellular Energy Metabolism
Autotrophic Energy Processes
Inheritance Patterns and Principles
Biomolecular Structure and Organization
Cell Cycle and Division Mechanics
Cellular Organization and Development
Biological Structural Organization
Mostrar todos los temas
Chemical Sciences and Applications
Atomic Structure and Composition
Molecular Electron Structure Representation
Atomic Electron Behavior
Matter Properties and Water
Mole Concept and Calculations
Gas Laws and Behavior
Periodic Table Organization
Chemical Thermodynamics Fundamentals
Chemical Bond Types and Properties
Mostrar todos los temas
European Renaissance and Enlightenment
European Cultural Movements 800-1920
American Revolution Era 1763-1797
American Civil War 1861-1865
Global Imperial Systems
Mongol and Chinese Dynasties
U.S. Presidents and World Leaders
Historical Sources and Documentation
World Wars Era and Impact
World Religious Systems
Mostrar todos los temas
Classic and Contemporary Novels
Literary Character Analysis
Rhetorical Theory and Practice
Classic Literary Narratives
Reading Analysis and Interpretation
Narrative Structure and Techniques
English Language Components
Influential English-Language Authors
Basic Sentence Structure
Narrative Voice and Perspective
Mostrar todos los temas
52
•
Actualizado Mar 26, 2026
•
Maria jose Rodriguez
@mariajose_0ht4v
La hidrostática es la rama de la física que estudia... Mostrar más






¿Te has preguntado por qué sentís más presión en tus oídos cuando te sumergís profundo en una piscina? La hidrostática es la respuesta a esta y muchas otras preguntas sobre fluidos en reposo.
Esta área de la física se enfoca en estudiar cómo los fluidos ideales (líquidos y gases que no se mueven) ejercen presión sobre los objetos. Los conceptos principales incluyen los principios de Pascal y Arquímedes, que vas a usar constantemente en problemas de física.
El principio fundamental de la hidrostática nos ayuda a calcular exactamente cuánta presión hay a cualquier profundidad en un líquido. Es la base para entender desde submarinos hasta sistemas de frenos de autos.
Dato curioso: La presión aumenta linealmente con la profundidad, por eso los submarinos necesitan cascos tan resistentes.

La fórmula más importante que tenés que memorizar es: P = P₀ + ρgh. Esta ecuación te va a resolver la mayoría de problemas de presión en fluidos.
Acá P es la presión total a una profundidad h, P₀ es la presión atmosférica en la superficie, ρ (rho) es la densidad del líquido, g es la gravedad y h es la profundidad. La parte ρgh se llama presión hidrostática.
Para el análisis dimensional, recordá que la presión siempre tiene unidades de fuerza sobre área . Esto te ayuda a verificar si tus cálculos están correctos antes de entregar el examen.
Tip de estudio: Siempre convertí las unidades a metros y kg/m³ antes de aplicar la fórmula para evitar errores.

Los vasos comunicantes son súper útiles para entender cómo se equilibran diferentes líquidos. Cuando tenés dos líquidos de distinta densidad en recipientes conectados, se establece un equilibrio donde las presiones se igualan.
La clave está en que PA = PB en cualquier punto al mismo nivel. Esto significa que P_atm + ρ_agua·g·h_agua = P_atm + ρ_aceite·g·h_aceite, y por lo tanto las alturas son inversamente proporcionales a las densidades.
En el ejemplo del agua y aceite, podés calcular la densidad del aceite usando las alturas de cada columna. Si el agua sube 12 cm y el aceite 15 cm, la densidad relativa del aceite será menor que la del agua .
Aplicación real: Este principio explica cómo funcionan las mangueras de nivel que usan los albañiles.

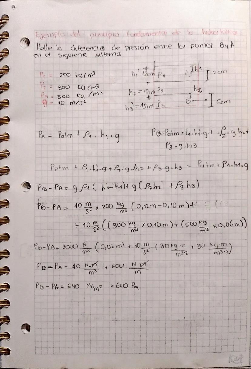
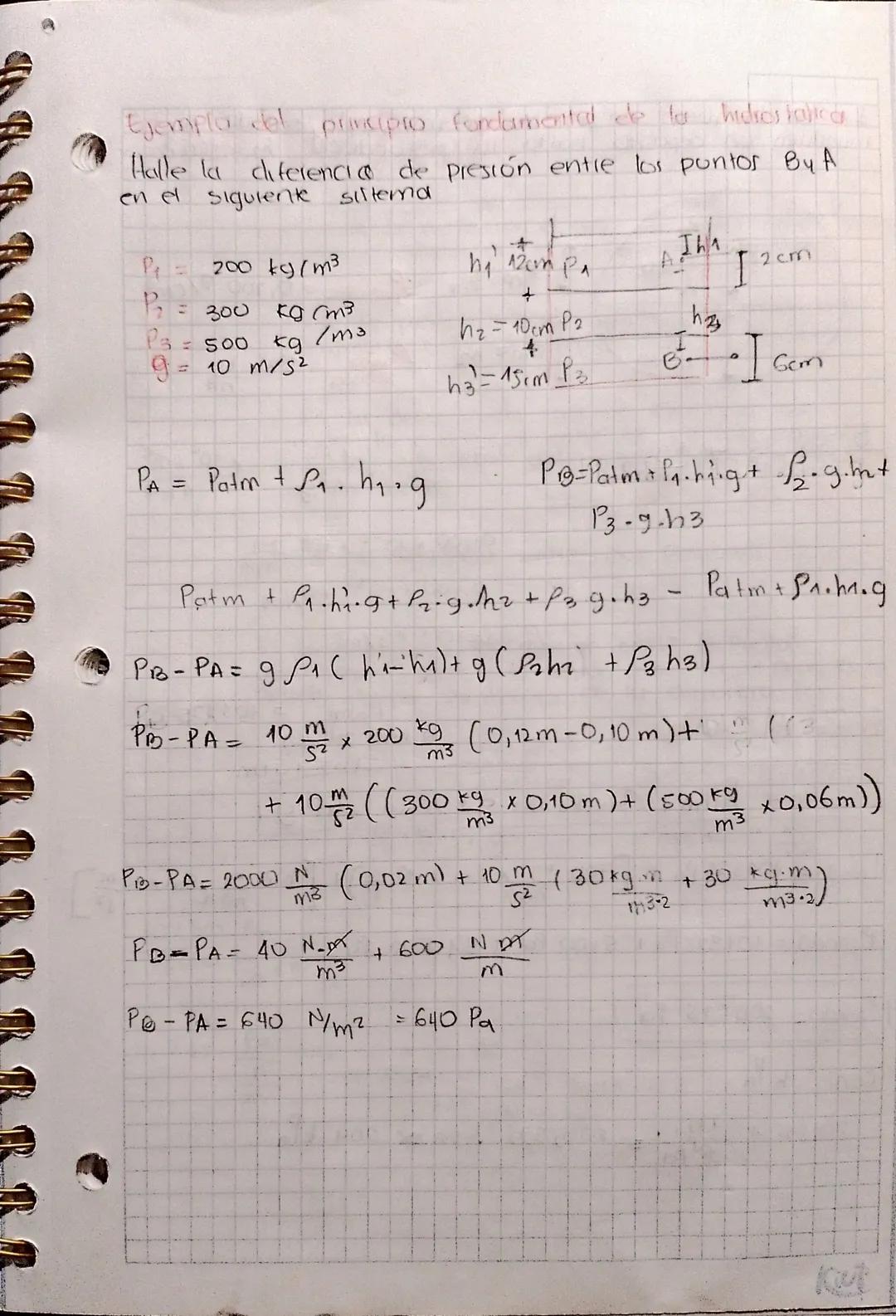
Cuando tenés varios fluidos con diferentes densidades apilados, calculás la diferencia de presión sumando las contribuciones de cada capa. Es como subir escaleras: cada piso añade más altura total.
La fórmula general es PB - PA = g. Cada densidad se multiplica por su altura correspondiente, y la gravedad afecta todo el sistema por igual.
En problemas de examen, organizá bien los datos: anotá cada densidad, cada altura y substituí paso a paso. Con ρ₁ = 200 kg/m³, ρ₂ = 300 kg/m³ y ρ₃ = 500 kg/m³, el resultado final es 640 Pa.
Estrategia de examen: Dibujá siempre un esquema del sistema antes de empezar a calcular.

Este problema combina todo lo que aprendiste: un tanque de petróleo sumergido en agua salada a 500 m de profundidad. Tenés que considerar las densidades del petróleo , agua dulce y agua salada .
La presión en el fondo se calcula sumando la presión atmosférica más todas las contribuciones: P_fondo = P_atm + ρ_petróleo·g·h₁ + ρ_agua_salada·g·h₂. Esto da aproximadamente 209 kPa.
Convertir unidades es crucial acá: 500 m de profundidad genera una presión hidrostática enorme comparada con la presión atmosférica normal (101.3 kPa). Por eso los equipos submarinos son tan especializados.
Conexión con la realidad: Esta misma física se usa para diseñar plataformas petrolíferas en el océano.
Nuestro compañero de IA está específicamente adaptado a las necesidades de los estudiantes. Basándonos en los millones de contenidos que tenemos en la plataforma, podemos dar a los estudiantes respuestas realmente significativas y relevantes. Pero no se trata solo de respuestas, el compañero también guía a los estudiantes a través de sus retos de aprendizaje diarios, con planes de aprendizaje personalizados, cuestionarios o contenidos en el chat y una personalización del 100% basada en las habilidades y el desarrollo de los estudiantes.
Puedes descargar la app en Google Play Store y Apple App Store.
¡Sí lo es! Tienes acceso totalmente gratuito a todo el contenido de la app, puedes chatear con otros alumnos y recibir ayuda inmeditamente. Puedes ganar dinero utilizando la aplicación, que te permitirá acceder a determinadas funciones.
App Store
Google Play
La app es muy fácil de usar y está muy bien diseñada. Hasta ahora he encontrado todo lo que estaba buscando y he podido aprender mucho de las presentaciones. Definitivamente utilizaré la aplicación para un examen de clase. Y, por supuesto, también me sirve mucho de inspiración.
Pablo
usuario de iOS
Esta app es realmente genial. Hay tantos apuntes de clase y ayuda [...]. Tengo problemas con matemáticas, por ejemplo, y la aplicación tiene muchas opciones de ayuda. Gracias a Knowunity, he mejorado en mates. Se la recomiendo a todo el mundo.
Elena
usuaria de Android
Vaya, estoy realmente sorprendida. Acabo de probar la app porque la he visto anunciada muchas veces y me he quedado absolutamente alucinada. Esta app es LA AYUDA que quieres para el insti y, sobre todo, ofrece muchísimas cosas, como ejercicios y hojas informativas, que a mí personalmente me han sido MUY útiles.
Ana
usuaria de iOS
Solía tener problemas para completar mis tareas a tiempo hasta que descubrí Knowunity, que no solo facilita subir mi propio contenido sino que también proporciona excelentes resúmenes que hacen mi trabajo más rápido y eficiente.
Thomas R
usuario de iOS
Siempre era un desafío encontrar toda la información importante para mis tareas – desde que comencé a usar Knowunity, puedo simplemente subir mi contenido y beneficiarme de los resúmenes de otros, lo que me ayuda mucho con la organización.
Lisa M
usuaria de Android
A menudo sentía que no tenía suficiente visión general al estudiar, pero desde que comencé a usar Knowunity, eso ya no es un problema – subo mi contenido y siempre encuentro resúmenes útiles en la plataforma, lo que hace mi aprendizaje mucho más fácil.
David K
usuario de iOS
¡La app es buenísima! Sólo tengo que introducir el tema en la barra de búsqueda y recibo la respuesta muy rápido. No tengo que ver 10 vídeos de YouTube para entender algo, así que me ahorro tiempo. ¡Muy recomendable!
Sara
usuaria de Android
En el instituto era muy malo en matemáticas, pero gracias a la app, ahora saco mejores notas. Os agradezco mucho que hayáis creado la aplicación.
Roberto
usuario de Android
Solía ser realmente difícil recopilar toda la información para mis presentaciones. Pero desde que comencé a usar Knowunity, solo subo mis apuntes y encuentro increíbles resúmenes de otros – ¡hace mi estudio mucho más eficiente!
Julia S
usuaria de Android
Estaba constantemente estresado con todo el material de estudio, pero desde que comencé a usar Knowunity, subo mis cosas y reviso los geniales resúmenes de otros – realmente me ayuda a gestionar todo mejor y es mucho menos estresante.
Marco B
usuario de iOS
LOS QUIZ Y FLASHCARDS SON SÚPER ÚTILES Y ME ENCANTA Knowunity IA. ADEMÁS ES LITERALMENTE COMO CHATGPT PERO MÁS LISTO!! ME AYUDÓ TAMBIÉN CON MIS PROBLEMAS DE MÁSCARA!! Y CON MIS ASIGNATURAS DE VERDAD! OBVIO 😍😁😲🤑💗✨🎀😮
Sarah L
usuaria de Android
Antes pasaba horas buscando en Google materiales escolares, pero ahora solo subo mis cosas a Knowunity y reviso los útiles resúmenes de otros - me siento mucho más seguro al prepararme para los exámenes.
Paul T
usuario de iOS
La app es muy fácil de usar y está muy bien diseñada. Hasta ahora he encontrado todo lo que estaba buscando y he podido aprender mucho de las presentaciones. Definitivamente utilizaré la aplicación para un examen de clase. Y, por supuesto, también me sirve mucho de inspiración.
Pablo
usuario de iOS
Esta app es realmente genial. Hay tantos apuntes de clase y ayuda [...]. Tengo problemas con matemáticas, por ejemplo, y la aplicación tiene muchas opciones de ayuda. Gracias a Knowunity, he mejorado en mates. Se la recomiendo a todo el mundo.
Elena
usuaria de Android
Vaya, estoy realmente sorprendida. Acabo de probar la app porque la he visto anunciada muchas veces y me he quedado absolutamente alucinada. Esta app es LA AYUDA que quieres para el insti y, sobre todo, ofrece muchísimas cosas, como ejercicios y hojas informativas, que a mí personalmente me han sido MUY útiles.
Ana
usuaria de iOS
Solía tener problemas para completar mis tareas a tiempo hasta que descubrí Knowunity, que no solo facilita subir mi propio contenido sino que también proporciona excelentes resúmenes que hacen mi trabajo más rápido y eficiente.
Thomas R
usuario de iOS
Siempre era un desafío encontrar toda la información importante para mis tareas – desde que comencé a usar Knowunity, puedo simplemente subir mi contenido y beneficiarme de los resúmenes de otros, lo que me ayuda mucho con la organización.
Lisa M
usuaria de Android
A menudo sentía que no tenía suficiente visión general al estudiar, pero desde que comencé a usar Knowunity, eso ya no es un problema – subo mi contenido y siempre encuentro resúmenes útiles en la plataforma, lo que hace mi aprendizaje mucho más fácil.
David K
usuario de iOS
¡La app es buenísima! Sólo tengo que introducir el tema en la barra de búsqueda y recibo la respuesta muy rápido. No tengo que ver 10 vídeos de YouTube para entender algo, así que me ahorro tiempo. ¡Muy recomendable!
Sara
usuaria de Android
En el instituto era muy malo en matemáticas, pero gracias a la app, ahora saco mejores notas. Os agradezco mucho que hayáis creado la aplicación.
Roberto
usuario de Android
Solía ser realmente difícil recopilar toda la información para mis presentaciones. Pero desde que comencé a usar Knowunity, solo subo mis apuntes y encuentro increíbles resúmenes de otros – ¡hace mi estudio mucho más eficiente!
Julia S
usuaria de Android
Estaba constantemente estresado con todo el material de estudio, pero desde que comencé a usar Knowunity, subo mis cosas y reviso los geniales resúmenes de otros – realmente me ayuda a gestionar todo mejor y es mucho menos estresante.
Marco B
usuario de iOS
LOS QUIZ Y FLASHCARDS SON SÚPER ÚTILES Y ME ENCANTA Knowunity IA. ADEMÁS ES LITERALMENTE COMO CHATGPT PERO MÁS LISTO!! ME AYUDÓ TAMBIÉN CON MIS PROBLEMAS DE MÁSCARA!! Y CON MIS ASIGNATURAS DE VERDAD! OBVIO 😍😁😲🤑💗✨🎀😮
Sarah L
usuaria de Android
Antes pasaba horas buscando en Google materiales escolares, pero ahora solo subo mis cosas a Knowunity y reviso los útiles resúmenes de otros - me siento mucho más seguro al prepararme para los exámenes.
Paul T
usuario de iOS
Maria jose Rodriguez
@mariajose_0ht4v
La hidrostática es la rama de la física que estudia los fluidos en reposo y cómo se comportan bajo diferentes condiciones. Es súper útil para entender por qué sentís presión en el agua cuando buceas o cómo funcionan las prensas... Mostrar más

Acceso a todos los documentos
Mejora tus notas
Únete a millones de estudiantes
¿Te has preguntado por qué sentís más presión en tus oídos cuando te sumergís profundo en una piscina? La hidrostática es la respuesta a esta y muchas otras preguntas sobre fluidos en reposo.
Esta área de la física se enfoca en estudiar cómo los fluidos ideales (líquidos y gases que no se mueven) ejercen presión sobre los objetos. Los conceptos principales incluyen los principios de Pascal y Arquímedes, que vas a usar constantemente en problemas de física.
El principio fundamental de la hidrostática nos ayuda a calcular exactamente cuánta presión hay a cualquier profundidad en un líquido. Es la base para entender desde submarinos hasta sistemas de frenos de autos.
Dato curioso: La presión aumenta linealmente con la profundidad, por eso los submarinos necesitan cascos tan resistentes.

Acceso a todos los documentos
Mejora tus notas
Únete a millones de estudiantes
La fórmula más importante que tenés que memorizar es: P = P₀ + ρgh. Esta ecuación te va a resolver la mayoría de problemas de presión en fluidos.
Acá P es la presión total a una profundidad h, P₀ es la presión atmosférica en la superficie, ρ (rho) es la densidad del líquido, g es la gravedad y h es la profundidad. La parte ρgh se llama presión hidrostática.
Para el análisis dimensional, recordá que la presión siempre tiene unidades de fuerza sobre área . Esto te ayuda a verificar si tus cálculos están correctos antes de entregar el examen.
Tip de estudio: Siempre convertí las unidades a metros y kg/m³ antes de aplicar la fórmula para evitar errores.

Acceso a todos los documentos
Mejora tus notas
Únete a millones de estudiantes
Los vasos comunicantes son súper útiles para entender cómo se equilibran diferentes líquidos. Cuando tenés dos líquidos de distinta densidad en recipientes conectados, se establece un equilibrio donde las presiones se igualan.
La clave está en que PA = PB en cualquier punto al mismo nivel. Esto significa que P_atm + ρ_agua·g·h_agua = P_atm + ρ_aceite·g·h_aceite, y por lo tanto las alturas son inversamente proporcionales a las densidades.
En el ejemplo del agua y aceite, podés calcular la densidad del aceite usando las alturas de cada columna. Si el agua sube 12 cm y el aceite 15 cm, la densidad relativa del aceite será menor que la del agua .
Aplicación real: Este principio explica cómo funcionan las mangueras de nivel que usan los albañiles.

Acceso a todos los documentos
Mejora tus notas
Únete a millones de estudiantes
Cuando tenés varios fluidos con diferentes densidades apilados, calculás la diferencia de presión sumando las contribuciones de cada capa. Es como subir escaleras: cada piso añade más altura total.
La fórmula general es PB - PA = g. Cada densidad se multiplica por su altura correspondiente, y la gravedad afecta todo el sistema por igual.
En problemas de examen, organizá bien los datos: anotá cada densidad, cada altura y substituí paso a paso. Con ρ₁ = 200 kg/m³, ρ₂ = 300 kg/m³ y ρ₃ = 500 kg/m³, el resultado final es 640 Pa.
Estrategia de examen: Dibujá siempre un esquema del sistema antes de empezar a calcular.

Acceso a todos los documentos
Mejora tus notas
Únete a millones de estudiantes
Este problema combina todo lo que aprendiste: un tanque de petróleo sumergido en agua salada a 500 m de profundidad. Tenés que considerar las densidades del petróleo , agua dulce y agua salada .
La presión en el fondo se calcula sumando la presión atmosférica más todas las contribuciones: P_fondo = P_atm + ρ_petróleo·g·h₁ + ρ_agua_salada·g·h₂. Esto da aproximadamente 209 kPa.
Convertir unidades es crucial acá: 500 m de profundidad genera una presión hidrostática enorme comparada con la presión atmosférica normal (101.3 kPa). Por eso los equipos submarinos son tan especializados.
Conexión con la realidad: Esta misma física se usa para diseñar plataformas petrolíferas en el océano.
Nuestro compañero de IA está específicamente adaptado a las necesidades de los estudiantes. Basándonos en los millones de contenidos que tenemos en la plataforma, podemos dar a los estudiantes respuestas realmente significativas y relevantes. Pero no se trata solo de respuestas, el compañero también guía a los estudiantes a través de sus retos de aprendizaje diarios, con planes de aprendizaje personalizados, cuestionarios o contenidos en el chat y una personalización del 100% basada en las habilidades y el desarrollo de los estudiantes.
Puedes descargar la app en Google Play Store y Apple App Store.
¡Sí lo es! Tienes acceso totalmente gratuito a todo el contenido de la app, puedes chatear con otros alumnos y recibir ayuda inmeditamente. Puedes ganar dinero utilizando la aplicación, que te permitirá acceder a determinadas funciones.
0
Herramientas Inteligentes NUEVO
Transforma estos apuntes en: ✓ 50+ Preguntas de Práctica ✓ Fichas Interactivas ✓ Examen Completo de Práctica ✓ Esquemas de Ensayo
App Store
Google Play
La app es muy fácil de usar y está muy bien diseñada. Hasta ahora he encontrado todo lo que estaba buscando y he podido aprender mucho de las presentaciones. Definitivamente utilizaré la aplicación para un examen de clase. Y, por supuesto, también me sirve mucho de inspiración.
Pablo
usuario de iOS
Esta app es realmente genial. Hay tantos apuntes de clase y ayuda [...]. Tengo problemas con matemáticas, por ejemplo, y la aplicación tiene muchas opciones de ayuda. Gracias a Knowunity, he mejorado en mates. Se la recomiendo a todo el mundo.
Elena
usuaria de Android
Vaya, estoy realmente sorprendida. Acabo de probar la app porque la he visto anunciada muchas veces y me he quedado absolutamente alucinada. Esta app es LA AYUDA que quieres para el insti y, sobre todo, ofrece muchísimas cosas, como ejercicios y hojas informativas, que a mí personalmente me han sido MUY útiles.
Ana
usuaria de iOS
Solía tener problemas para completar mis tareas a tiempo hasta que descubrí Knowunity, que no solo facilita subir mi propio contenido sino que también proporciona excelentes resúmenes que hacen mi trabajo más rápido y eficiente.
Thomas R
usuario de iOS
Siempre era un desafío encontrar toda la información importante para mis tareas – desde que comencé a usar Knowunity, puedo simplemente subir mi contenido y beneficiarme de los resúmenes de otros, lo que me ayuda mucho con la organización.
Lisa M
usuaria de Android
A menudo sentía que no tenía suficiente visión general al estudiar, pero desde que comencé a usar Knowunity, eso ya no es un problema – subo mi contenido y siempre encuentro resúmenes útiles en la plataforma, lo que hace mi aprendizaje mucho más fácil.
David K
usuario de iOS
¡La app es buenísima! Sólo tengo que introducir el tema en la barra de búsqueda y recibo la respuesta muy rápido. No tengo que ver 10 vídeos de YouTube para entender algo, así que me ahorro tiempo. ¡Muy recomendable!
Sara
usuaria de Android
En el instituto era muy malo en matemáticas, pero gracias a la app, ahora saco mejores notas. Os agradezco mucho que hayáis creado la aplicación.
Roberto
usuario de Android
Solía ser realmente difícil recopilar toda la información para mis presentaciones. Pero desde que comencé a usar Knowunity, solo subo mis apuntes y encuentro increíbles resúmenes de otros – ¡hace mi estudio mucho más eficiente!
Julia S
usuaria de Android
Estaba constantemente estresado con todo el material de estudio, pero desde que comencé a usar Knowunity, subo mis cosas y reviso los geniales resúmenes de otros – realmente me ayuda a gestionar todo mejor y es mucho menos estresante.
Marco B
usuario de iOS
LOS QUIZ Y FLASHCARDS SON SÚPER ÚTILES Y ME ENCANTA Knowunity IA. ADEMÁS ES LITERALMENTE COMO CHATGPT PERO MÁS LISTO!! ME AYUDÓ TAMBIÉN CON MIS PROBLEMAS DE MÁSCARA!! Y CON MIS ASIGNATURAS DE VERDAD! OBVIO 😍😁😲🤑💗✨🎀😮
Sarah L
usuaria de Android
Antes pasaba horas buscando en Google materiales escolares, pero ahora solo subo mis cosas a Knowunity y reviso los útiles resúmenes de otros - me siento mucho más seguro al prepararme para los exámenes.
Paul T
usuario de iOS
La app es muy fácil de usar y está muy bien diseñada. Hasta ahora he encontrado todo lo que estaba buscando y he podido aprender mucho de las presentaciones. Definitivamente utilizaré la aplicación para un examen de clase. Y, por supuesto, también me sirve mucho de inspiración.
Pablo
usuario de iOS
Esta app es realmente genial. Hay tantos apuntes de clase y ayuda [...]. Tengo problemas con matemáticas, por ejemplo, y la aplicación tiene muchas opciones de ayuda. Gracias a Knowunity, he mejorado en mates. Se la recomiendo a todo el mundo.
Elena
usuaria de Android
Vaya, estoy realmente sorprendida. Acabo de probar la app porque la he visto anunciada muchas veces y me he quedado absolutamente alucinada. Esta app es LA AYUDA que quieres para el insti y, sobre todo, ofrece muchísimas cosas, como ejercicios y hojas informativas, que a mí personalmente me han sido MUY útiles.
Ana
usuaria de iOS
Solía tener problemas para completar mis tareas a tiempo hasta que descubrí Knowunity, que no solo facilita subir mi propio contenido sino que también proporciona excelentes resúmenes que hacen mi trabajo más rápido y eficiente.
Thomas R
usuario de iOS
Siempre era un desafío encontrar toda la información importante para mis tareas – desde que comencé a usar Knowunity, puedo simplemente subir mi contenido y beneficiarme de los resúmenes de otros, lo que me ayuda mucho con la organización.
Lisa M
usuaria de Android
A menudo sentía que no tenía suficiente visión general al estudiar, pero desde que comencé a usar Knowunity, eso ya no es un problema – subo mi contenido y siempre encuentro resúmenes útiles en la plataforma, lo que hace mi aprendizaje mucho más fácil.
David K
usuario de iOS
¡La app es buenísima! Sólo tengo que introducir el tema en la barra de búsqueda y recibo la respuesta muy rápido. No tengo que ver 10 vídeos de YouTube para entender algo, así que me ahorro tiempo. ¡Muy recomendable!
Sara
usuaria de Android
En el instituto era muy malo en matemáticas, pero gracias a la app, ahora saco mejores notas. Os agradezco mucho que hayáis creado la aplicación.
Roberto
usuario de Android
Solía ser realmente difícil recopilar toda la información para mis presentaciones. Pero desde que comencé a usar Knowunity, solo subo mis apuntes y encuentro increíbles resúmenes de otros – ¡hace mi estudio mucho más eficiente!
Julia S
usuaria de Android
Estaba constantemente estresado con todo el material de estudio, pero desde que comencé a usar Knowunity, subo mis cosas y reviso los geniales resúmenes de otros – realmente me ayuda a gestionar todo mejor y es mucho menos estresante.
Marco B
usuario de iOS
LOS QUIZ Y FLASHCARDS SON SÚPER ÚTILES Y ME ENCANTA Knowunity IA. ADEMÁS ES LITERALMENTE COMO CHATGPT PERO MÁS LISTO!! ME AYUDÓ TAMBIÉN CON MIS PROBLEMAS DE MÁSCARA!! Y CON MIS ASIGNATURAS DE VERDAD! OBVIO 😍😁😲🤑💗✨🎀😮
Sarah L
usuaria de Android
Antes pasaba horas buscando en Google materiales escolares, pero ahora solo subo mis cosas a Knowunity y reviso los útiles resúmenes de otros - me siento mucho más seguro al prepararme para los exámenes.
Paul T
usuario de iOS